The Office of the Federal Register publishes documents on behalf of Federal agencies but does not have any authority over their programs. We recommend you directly contact the agency responsible for the content in question.
If you have comments or suggestions on how to improve the www.ecfr.gov website or have questions about using www.ecfr.gov, please choose the 'Website Feedback' button below.
If you would like to comment on the current content, please use the 'Content Feedback' button below for instructions on contacting the issuing agency
Enhanced content is provided to the user to provide additional context.
To search for information within Part 324, use your browser's built-in "find on page" functionality. You can access this using ctrl+F on Windows or ⌘+F on macOS.
Subscribe to: Changes in Title 12 :: Chapter III :: Subchapter B :: Part 324
View the most recent official publication:
These links go to the official, published CFR, which is updated annually. As a result, it may not include the most recent changes applied to the CFR. You can learn more about the process here.
By default, the eCFR is displayed with paragraphs split and indented to follow the hierarchy of the document (“Enhanced Display”). This is an automated process for user convenience only and is not intended to alter agency intent or existing codification.
The eCFR also offers a “Drafting Display”, where the paragraphs shown match the original CFR text. If you work for a Federal Agency, you should use the “Drafting Mode” when authoring amendatory language for inclusion in the Federal Register.
This document is available in the following developer friendly formats:
Information and documentation can be found in our developer resources.
The Code of Federal Regulations (CFR) is the official legal print publication containing the codification of the general and permanent rules published in the Federal Register by the departments and agencies of the Federal Government. The Electronic Code of Federal Regulations (eCFR) is a continuously updated online version of the CFR. It is not an official legal edition of the CFR.
Learn more about the eCFR, its status, and the editorial process.
12 U.S.C. 1815(a), 1815(b), 1816, 1818(a), 1818(b), 1818(c), 1818(t), 1819(Tenth), 1828(c), 1828(d), 1828(i), 1828(n), 1828(o), 1831o, 1835, 3907, 3909, 4808; 5371; 5412; Pub. L. 102-233, 105 Stat. 1761, 1789, 1790 (12 U.S.C. 1831n note); Pub. L. 102-242, 105 Stat. 2236, 2355, as amended by Pub. L. 103-325, 108 Stat. 2160, 2233 (12 U.S.C. 1828 note); Pub. L. 102-242, 105 Stat. 2236, 2386, as amended by Pub. L. 102-550, 106 Stat. 3672, 4089 (12 U.S.C. 1828 note); Pub. L. 111-203, 124 Stat. 1376, 1887 (15 U.S.C. 78o-7 note), Pub. L. 115-174; section 4014 § 201, Pub. L. 116-136, 134 Stat. 281 (15 U.S.C. 9052).
78 FR 55471, Sept. 10, 2013, unless otherwise noted.
(a) Purpose. This part 324 establishes minimum capital requirements and overall capital adequacy standards for FDIC-supervised institutions. This part 324 includes methodologies for calculating minimum capital requirements, public disclosure requirements related to the capital requirements, and transition provisions for the application of this part 324.
(b) Limitation of authority. Nothing in this part 324 shall be read to limit the authority of the FDIC to take action under other provisions of law, including action to address unsafe or unsound practices or conditions, deficient capital levels, or violations of law or regulation, under section 8 of the Federal Deposit Insurance Act.
(c) Applicability. Subject to the requirements in paragraphs (d) and (f) of this section:
(1) Minimum capital requirements and overall capital adequacy standards. Each FDIC-supervised institution must calculate its minimum capital requirements and meet the overall capital adequacy standards in subpart B of this part.
(2) Regulatory capital. Each FDIC-supervised institution must calculate its regulatory capital in accordance with subpart C of this part.
(3) Risk-weighted assets.
(i) Each FDIC-supervised institution must use the methodologies in subpart D of this part (and subpart F of this part for a market risk FDIC-supervised institution) to calculate standardized total risk-weighted assets.
(ii) Each advanced approaches FDIC-supervised institution must use the methodologies in subpart E (and subpart F of this part for a market risk FDIC-supervised institution) to calculate advanced approaches total risk-weighted assets.
(4) Disclosures.
(i) Except for an advanced approaches FDIC-supervised institution that is making public disclosures pursuant to the requirements in subpart E of this part, each FDIC-supervised institution with total consolidated assets of $50 billion or more must make the public disclosures described in subpart D of this part.
(ii) Each market risk FDIC-supervised institution must make the public disclosures described in subpart F of this part.
(iii) Each advanced approaches FDIC-supervised institution must make the public disclosures described in subpart E of this part.
(d) Reservation of authority -
(1) Additional capital in the aggregate. The FDIC may require an FDIC-supervised institution to hold an amount of regulatory capital greater than otherwise required under this part if the FDIC determines that the FDIC-supervised institution's capital requirements under this part are not commensurate with the FDIC-supervised institution's credit, market, operational, or other risks.
(2) Regulatory capital elements.
(i) If the FDIC determines that a particular common equity tier 1, additional tier 1, or tier 2 capital element has characteristics or terms that diminish its ability to absorb losses, or otherwise present safety and soundness concerns, the FDIC may require the FDIC-supervised institution to exclude all or a portion of such element from common equity tier 1 capital, additional tier 1 capital, or tier 2 capital, as appropriate.
(ii) Notwithstanding the criteria for regulatory capital instruments set forth in subpart C of this part, the FDIC may find that a capital element may be included in an FDIC-supervised institution's common equity tier 1 capital, additional tier 1 capital, or tier 2 capital on a permanent or temporary basis consistent with the loss absorption capacity of the element and in accordance with § 324.20(e).
(3) Risk-weighted asset amounts. If the FDIC determines that the risk-weighted asset amount calculated under this part by the FDIC-supervised institution for one or more exposures is not commensurate with the risks associated with those exposures, the FDIC may require the FDIC-supervised institution to assign a different risk-weighted asset amount to the exposure(s) or to deduct the amount of the exposure(s) from its regulatory capital.
(4) Total leverage. If the FDIC determines that the total leverage exposure, or the amount reflected in the FDIC-supervised institution's reported average total consolidated assets, for an on- or off-balance sheet exposure calculated by an FDIC-supervised institution under § 324.10 is inappropriate for the exposure(s) or the circumstances of the FDIC-supervised institution, the FDIC may require the FDIC-supervised institution to adjust this exposure amount in the numerator and the denominator for purposes of the leverage ratio calculations.
(5) Consolidation of certain exposures. The FDIC may determine that the risk-based capital treatment for an exposure or the treatment provided to an entity that is not consolidated on the FDIC-supervised institution's balance sheet is not commensurate with the risk of the exposure or the relationship of the FDIC-supervised institution to the entity. Upon making this determination, the FDIC may require the FDIC-supervised institution to treat the exposure or entity as if it were consolidated on the balance sheet of the FDIC-supervised institution for purposes of determining the FDIC-supervised institution's risk-based capital requirements and calculating the FDIC-supervised institution's risk-based capital ratios accordingly. The FDIC will look to the substance of, and risk associated with, the transaction, as well as other relevant factors the FDIC deems appropriate in determining whether to require such treatment.
(6) Other reservation of authority. With respect to any deduction or limitation required under this part, the FDIC may require a different deduction or limitation, provided that such alternative deduction or limitation is commensurate with the FDIC-supervised institution's risk and consistent with safety and soundness.
(e) Notice and response procedures. In making a determination under this section, the FDIC will apply notice and response procedures in the same manner as the notice and response procedures in § 324.5(c).
(f) Timing.
(1) Subject to the transition provisions in subpart G of this part, an advanced approaches FDIC-supervised institution that is not a savings and loan holding company must:
(i) Except as described in paragraph (f)(1)(ii) of this section, beginning on January 1, 2014, calculate advanced approaches total risk-weighted assets in accordance with subpart E and, if applicable, subpart F of this part and, beginning on January 1, 2015, calculate standardized total risk-weighted assets in accordance with subpart D and, if applicable, subpart F of this part;
(ii) From January 1, 2014 to December 31, 2014:
(A) Calculate risk-weighted assets in accordance with the general risk-based capital rules under 12 CFR part 325, appendix A, and, if applicable appendix C (state nonmember banks), or 12 CFR part 390, subpart Z and, if applicable, 12 CFR part 325, appendix C (state savings associations)[1] and substitute such risk-weighted assets for standardized total risk-weighted assets for purposes of § 324.10;
(B) If applicable, calculate general market risk equivalent assets in accordance with 12 CFR part 325, appendix C, section 4(a)(3) and substitute such general market risk equivalent assets for standardized market risk-weighted assets for purposes of § 324.20(d)(3); and
(C) Substitute the corresponding provision or provisions of 12 CFR part 325, appendix A, and, if applicable, appendix C (state nonmember banks), and 12 CFR part 390, subpart Z and, if applicable, 12 CFR part 325, appendix C (state savings associations) for any reference to subpart D of this part in: § 324.121(c); § 324.124(a) and (b); § 324.144(b); § 324.154(c) and (d); § 324.202(b) (definition of covered position in paragraph (b)(3)(iv)); and § 324.211(b);[2]
(iii) Beginning on January 1, 2014, calculate and maintain minimum capital ratios in accordance with subparts A, B, and C of this part, provided, however, that such FDIC-supervised institution must:
(A) From January 1, 2014 to December 31, 2014, maintain a minimum common equity tier 1 capital ratio of 4 percent, a minimum tier 1 capital ratio of 5.5 percent, a minimum total capital ratio of 8 percent, and a minimum leverage ratio of 4 percent; and
(B) From January 1, 2015 to December 31, 2017, an advanced approaches FDIC-supervised institution:
(1) Is not required to maintain a supplementary leverage ratio; and
(2) Must calculate a supplementary leverage ratio in accordance with § 324.10(c), and must report the calculated supplementary leverage ratio on any applicable regulatory reports.
(2) Subject to the transition provisions in subpart G of this part, an FDIC-supervised institution that is not an advanced approaches FDIC-supervised institution or a savings and loan holding company that is an advanced approaches FDIC-supervised institution must:
(i) Beginning on January 1, 2015, calculate standardized total risk-weighted assets in accordance with subpart D, and if applicable, subpart F of this part; and
(ii) Beginning on January 1, 2015, calculate and maintain minimum capital ratios in accordance with subparts A, B and C of this part, provided, however, that from January 1, 2015, to December 31, 2017, a savings and loan holding company that is an advanced approaches FDIC-supervised institution:
(A) Is not required to maintain a supplementary leverage ratio; and
(B) Must calculate a supplementary leverage ratio in accordance with § 324.10(c), and must report the calculated supplementary leverage ratio on any applicable regulatory reports.
(3) Beginning on January 1, 2016, and subject to the transition provisions in subpart G of this part, an FDIC-supervised institution is subject to limitations on distributions and discretionary bonus payments with respect to its capital conservation buffer and any applicable countercyclical capital buffer amount, in accordance with subpart B of this part.
(4) An FDIC-supervised institution that changes from one category of FDIC-supervised institution to another of such categories must comply with the requirements of its category in this part, including applicable transition provisions of the requirements in this part, no later than on the first day of the second quarter following the change in the FDIC-supervised institution's category.
[78 FR 55471, Sept. 10, 2013, as amended at 79 FR 57448, Sept. 26, 2014; 84 FR 59277, Nov. 1, 2019]
[1] For the purpose of calculating its general risk-based capital ratios from January 1, 2014 to December 31, 2014, an advanced approaches FDIC-supervised institution shall adjust, as appropriate, its risk-weighted asset measure (as that amount is calculated under 12 CFR part 325, appendix A, (state nonmember banks), and 12 CFR part 390, subpart Z (state savings associations) in the general risk-based capital rules) by excluding those assets that are deducted from its regulatory capital under § 324.22.
[2] In addition, for purposes of § 324.201(c)(3), from January 1, 2014 to December 31, 2014, for any circumstance in which the FDIC may require an FDIC-supervised institution to calculate risk-based capital requirements for specific positions or portfolios under subpart D of this part, the FDIC will instead require the FDIC-supervised institution to make such calculations according to 12 CFR part 325, appendix A, and, if applicable, appendix C (state nonmember banks), or 12 CFR part 390, subpart Z and, if applicable, 12 CFR part 325, appendix C (state savings associations).
As used in this part:
Additional tier 1 capital is defined in § 324.20(c).
Adjusted allowances for credit losses (AACL) means, with respect to an FDIC-supervised institution that has adopted CECL, valuation allowances that have been established through a charge against earnings or retained earnings for expected credit losses on financial assets measured at amortized cost and a lessor's net investment in leases that have been established to reduce the amortized cost basis of the assets to amounts expected to be collected as determined in accordance with GAAP. For purposes of this part, adjusted allowances for credit losses include allowances for expected credit losses on off-balance sheet credit exposures not accounted for as insurance as determined in accordance with GAAP. Adjusted allowances for credit losses exclude “allocated transfer risk reserves” and allowances created that reflect credit losses on purchased credit deteriorated assets and available-for-sale debt securities.
Advanced approaches FDIC-supervised institution means an FDIC-supervised institution that is described in § 324.100(b)(1).
Advanced approaches total risk-weighted assets means:
(1) The sum of:
(i) Credit-risk-weighted assets;
(ii) Credit valuation adjustment (CVA) risk-weighted assets;
(iii) Risk-weighted assets for operational risk; and
(iv) For a market risk FDIC-supervised institution only, advanced market risk-weighted assets; minus
(2) Excess eligible credit reserves not included in the FDIC-supervised institution's tier 2 capital.
Advanced market risk-weighted assets means the advanced measure for market risk calculated under § 324.204 multiplied by 12.5.
Affiliate with respect to a company, means any company that controls, is controlled by, or is under common control with, the company.
Allocated transfer risk reserves means reserves that have been established in accordance with section 905(a) of the International Lending Supervision Act, against certain assets whose value U.S. supervisory authorities have found to be significantly impaired by protracted transfer risk problems.
Allowances for loan and lease losses (ALLL) means valuation allowances that have been established through a charge against earnings to cover estimated credit losses on loans, lease financing receivables or other extensions of credit as determined in accordance with GAAP. ALLL excludes “allocated transfer risk reserves.” For purposes of this part, ALLL includes allowances that have been established through a charge against earnings to cover estimated credit losses associated with off-balance sheet credit exposures as determined in accordance with GAAP.
Asset-backed commercial paper (ABCP) program means a program established primarily for the purpose of issuing commercial paper that is investment grade and backed by underlying exposures held in a bankruptcy-remote special purpose entity (SPE).
Asset-backed commercial paper (ABCP) program sponsor means an FDIC-supervised institution that:
(1) Establishes an ABCP program;
(2) Approves the sellers permitted to participate in an ABCP program;
(3) Approves the exposures to be purchased by an ABCP program; or
(4) Administers the ABCP program by monitoring the underlying exposures, underwriting or otherwise arranging for the placement of debt or other obligations issued by the program, compiling monthly reports, or ensuring compliance with the program documents and with the program's credit and investment policy.
Assets classified loss means:
(1) When measured as of the date of examination of an FDIC-supervised institution, those assets that have been determined by an evaluation made by a state or Federal examiner as of that date to be a loss; and
(2) When measured as of any other date, those assets:
(i) That have been determined -
(A) By an evaluation made by a state or Federal examiner at the most recent examination of an FDIC-supervised institution to be a loss; or
(B) By evaluations made by the FDIC-supervised institution since its most recent examination to be a loss; and
(ii) That have not been charged off from the FDIC-supervised institution's books or collected.
Bank means an FDIC-insured, state-chartered commercial or savings bank that is not a member of the Federal Reserve System and for which the FDIC is the appropriate Federal banking agency pursuant to section 3(q) of the Federal Deposit Insurance Act (12 U.S.C. 1813(q)).
Bank holding company means a bank holding company as defined in section 2 of the Bank Holding Company Act.
Bank Holding Company Act means the Bank Holding Company Act of 1956, as amended (12 U.S.C. 1841 et seq.).
Bankruptcy remote means, with respect to an entity or asset, that the entity or asset would be excluded from an insolvent entity's estate in receivership, insolvency, liquidation, or similar proceeding.
Basis derivative contract means a non-foreign-exchange derivative contract (i.e., the contract is denominated in a single currency) in which the cash flows of the derivative contract depend on the difference between two risk factors that are attributable solely to one of the following derivative asset classes: Interest rate, credit, equity, or commodity.
Call Report means Consolidated Reports of Condition and Income.
Carrying value means, with respect to an asset, the value of the asset on the balance sheet of the FDIC-supervised institution as determined in accordance with GAAP. For all assets other than available-for-sale debt securities or purchased credit deteriorated assets, the carrying value is not reduced by any associated credit loss allowance that is determined in accordance with GAAP.
Category II FDIC-supervised institution means:
(1) An FDIC-supervised institution that is a consolidated subsidiary of a company that is identified as a Category II banking organization, as defined pursuant to 12 CFR 252.5 or 12 CFR 238.10, as applicable; or
(2) An FDIC-supervised institution that:
(i) Is not a subsidiary of a depository institution holding company;
(ii)
(A) Has total consolidated assets, calculated based on the average of the FDIC-supervised institution's total consolidated assets for the four most recent calendar quarters as reported on the Call Report, equal to $700 billion or more. If the FDIC-supervised institution has not filed the Call Report for each of the four most recent calendar quarters, total consolidated assets is calculated based on its total consolidated assets, as reported on the Call Report, for the most recent quarter or the average of the four most recent quarters, as applicable; or
(B) Has:
(1) Total consolidated assets, calculated based on the average of the FDIC-supervised institution's total consolidated assets for the four most recent calendar quarters as reported on the Call Report, of $100 billion or more but less than $700 billion. If the FDIC-supervised institution has not filed the Call Report for each of the four most recent quarters, total consolidated assets is based on its total consolidated assets, as reported on the Call Report, for the most recent quarter or the average of the four most recent quarters, as applicable; and
(2) Cross-jurisdictional activity, calculated based on the average of its cross-jurisdictional activity for the four most recent calendar quarters, of $75 billion or more. Cross-jurisdictional activity is the sum of cross-jurisdictional claims and cross-jurisdictional liabilities, calculated in accordance with the instructions to the FR Y-15 or equivalent reporting form.
(iii) After meeting the criteria in paragraph (2)(ii) of this definition, an FDIC-supervised institution continues to be a Category II FDIC-supervised institution until the FDIC-supervised institution has:
(A)
(1) Less than $700 billion in total consolidated assets, as reported on the Call Report, for each of the four most recent calendar quarters; and
(2) Less than $75 billion in cross-jurisdictional activity for each of the four most recent calendar quarters. Cross-jurisdictional activity is the sum of cross-jurisdictional claims and cross-jurisdictional liabilities, calculated in accordance with the instructions to the FR Y-15 or equivalent reporting form; or
(B) Less than $100 billion in total consolidated assets, as reported on the Call Report, for each of the four most recent calendar quarters.
Category III FDIC-supervised institution means:
(1) An FDIC-supervised institution that is a subsidiary of a Category III banking organization, as defined pursuant to 12 CFR 252.5 or 12 CFR 238.10, as applicable;
(2) An FDIC-supervised institution that is a subsidiary of a depository institution that meets the criteria in paragraph (3)(iii)(A) or (B) of this definition; or
(3) A depository institution that:
(i) Is an FDIC-supervised institution;
(ii) Is not a subsidiary of a depository institution holding company; and
(iii)
(A) Has total consolidated assets, calculated based on the average of the depository institution's total consolidated assets for the four most recent calendar quarters as reported on the Call Report, equal to $250 billion or more. If the depository institution has not filed the Call Report for each of the four most recent calendar quarters, total consolidated assets is calculated based on its total consolidated assets, as reported on the Call Report, for the most recent quarter or the average of the four most recent quarters, as applicable; or
(B) Has:
(1) Total consolidated assets, calculated based on the average of the depository institution's total consolidated assets for the four most recent calendar quarters as reported on the Call Report, of $100 billion or more but less than $250 billion. If the depository institution has not filed the Call Report for each of the four most recent calendar quarters, total consolidated assets is calculated based on its total consolidated assets, as reported on the Call Report, for the most recent quarter or the average of the four most recent quarters, as applicable; and
(2) At least one of the following in paragraphs (3)(iii)(B)(2)(i) through (iii) of this definition, each calculated as the average of the four most recent calendar quarters, or if the depository institution has not filed each applicable reporting form for each of the four most recent calendar quarters, for the most recent quarter or quarters, as applicable:
(i) Total nonbank assets, calculated in accordance with the instructions to the FR Y-9LP or equivalent reporting form, equal to $75 billion or more;
(ii) Off-balance sheet exposure equal to $75 billion or more. Off-balance sheet exposure is a depository institution's total exposure, calculated in accordance with the instructions to the FR Y-15 or equivalent reporting form, minus the total consolidated assets of the depository institution, as reported on the Call Report; or
(iii) Weighted short-term wholesale funding, calculated in accordance with the instructions to the FR Y-15 or equivalent reporting form, equal to $75 billion or more.
(iv) After meeting the criteria in paragraph (3)(iii) of this definition, an FDIC-supervised institution continues to be a Category III FDIC-supervised institution until the FDIC-supervised institution:
(A) Has:
(1) Less than $250 billion in total consolidated assets, as reported on the Call Report, for each of the four most recent calendar quarters;
(2) Less than $75 billion in total nonbank assets, calculated in accordance with the instructions to the FR Y-9LP or equivalent reporting form, for each of the four most recent calendar quarters;
(3) Less than $75 billion in weighted short-term wholesale funding, calculated in accordance with the instructions to the FR Y-15 or equivalent reporting form, for each of the four most recent calendar quarters; and
(4) Less than $75 billion in off-balance sheet exposure for each of the four most recent calendar quarters. Off-balance sheet exposure is an FDIC-supervised institution's total exposure, calculated in accordance with the instructions to the FR Y-15 or equivalent reporting form, minus the total consolidated assets of the FDIC-supervised institution, as reported on the Call Report; or
(B) Has less than $100 billion in total consolidated assets, as reported on the Call Report, for each of the four most recent calendar quarters; or
(C) Is a Category II FDIC-supervised institution.
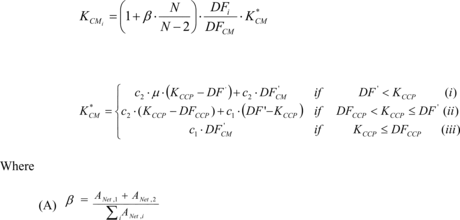
Central counterparty (CCP) means a counterparty (for example, a clearing house) that facilitates trades between counterparties in one or more financial markets by either guaranteeing trades or novating contracts.
CFTC means the U.S. Commodity Futures Trading Commission.
Clean-up call means a contractual provision that permits an originating FDIC-supervised institution or servicer to call securitization exposures before their stated maturity or call date.
Cleared transaction means an exposure associated with an outstanding derivative contract or repo-style transaction that an FDIC-supervised institution or clearing member has entered into with a central counterparty (that is, a transaction that a central counterparty has accepted).
(1) The following transactions are cleared transactions:
(i) A transaction between a CCP and an FDIC-supervised institution that is a clearing member of the CCP where the FDIC-supervised institution enters into the transaction with the CCP for the FDIC-supervised institution's own account;
(ii) A transaction between a CCP and an FDIC-supervised institution that is a clearing member of the CCP where the FDIC-supervised institution is acting as a financial intermediary on behalf of a clearing member client and the transaction offsets another transaction that satisfies the requirements set forth in § 324.3(a);
(iii) A transaction between a clearing member client FDIC-supervised institution and a clearing member where the clearing member acts as a financial intermediary on behalf of the clearing member client and enters into an offsetting transaction with a CCP, provided that the requirements set forth in § 324.3(a) are met; or
(iv) A transaction between a clearing member client FDIC-supervised institution and a CCP where a clearing member guarantees the performance of the clearing member client FDIC-supervised institution to the CCP and the transaction meets the requirements of § 324.3(a)(2) and (3).
(2) The exposure of an FDIC-supervised institution that is a clearing member to its clearing member client is not a cleared transaction where the FDIC-supervised institution is either acting as a financial intermediary and enters into an offsetting transaction with a CCP or where the FDIC-supervised institution provides a guarantee to the CCP on the performance of the client.[3]
Clearing member means a member of, or direct participant in, a CCP that is entitled to enter into transactions with the CCP.
Clearing member client means a party to a cleared transaction associated with a CCP in which a clearing member acts either as a financial intermediary with respect to the party or guarantees the performance of the party to the CCP.
Client-facing derivative transaction means a derivative contract that is not a cleared transaction where the FDIC-supervised institution is either acting as a financial intermediary and enters into an offsetting transaction with a qualifying central counterparty (QCCP) or where the FDIC-supervised institution provides a guarantee to the QCCP on the performance of a client on a transaction between the client and a QCCP.
Collateral agreement means a legal contract that specifies the time when, and circumstances under which, a counterparty is required to pledge collateral to an FDIC-supervised institution for a single financial contract or for all financial contracts in a netting set and confers upon the FDIC-supervised institution a perfected, first-priority security interest (notwithstanding the prior security interest of any custodial agent), or the legal equivalent thereof, in the collateral posted by the counterparty under the agreement. This security interest must provide the FDIC-supervised institution with a right to close-out the financial positions and liquidate the collateral upon an event of default of, or failure to perform by, the counterparty under the collateral agreement. A contract would not satisfy this requirement if the FDIC-supervised institution's exercise of rights under the agreement may be stayed or avoided.
(1) Under applicable law in the relevant jurisdictions, other than:
(i) In receivership, conservatorship, or resolution under the Federal Deposit Insurance Act, Title II of the Dodd-Frank Act, or under any similar insolvency law applicable to GSEs, or laws of foreign jurisdictions that are substantially similar[4] to the U.S. laws referenced in this paragraph (1)(i) in order to facilitate the orderly resolution of the defaulting counterparty;
(ii) Where the agreement is subject by its terms to, or incorporates, any of the laws referenced in paragraph (1)(i) of this definition; or
(2) Other than to the extent necessary for the counterparty to comply with the requirements of part 382 of this title, subpart I of part 252 of this title or part 47 of this title, as applicable.
Commercial end-user means an entity that:
(1)
(i) Is using derivative contracts to hedge or mitigate commercial risk; and
(ii)
(A) Is not an entity described in section 2(h)(7)(C)(i)(I) through (VIII) of the Commodity Exchange Act (7 U.S.C. 2(h)(7)(C)(i)(I) through (VIII)); or
(B) Is not a “financial entity” for purposes of section 2(h)(7) of the Commodity Exchange Act (7 U.S.C. 2(h)) by virtue of section 2(h)(7)(C)(iii) of the Act (7 U.S.C. 2(h)(7)(C)(iii)); or
(2)
(i) Is using derivative contracts to hedge or mitigate commercial risk; and
(ii) Is not an entity described in section 3C(g)(3)(A)(i) through (viii) of the Securities Exchange Act of 1934 (15 U.S.C. 78c-3(g)(3)(A)(i) through (viii)); or
(3) Qualifies for the exemption in section 2(h)(7)(A) of the Commodity Exchange Act (7 U.S.C. 2(h)(7)(A)) by virtue of section 2(h)(7)(D) of the Act (7 U.S.C. 2(h)(7)(D)); or
(4) Qualifies for an exemption in section 3C(g)(1) of the Securities Exchange Act of 1934 (15 U.S.C. 78c-3(g)(1)) by virtue of section 3C(g)(4) of the Act (15 U.S.C. 78c-3(g)(4)).
Commitment means any legally binding arrangement that obligates an FDIC-supervised institution to extend credit or to purchase assets.
Commodity derivative contract means a commodity-linked swap, purchased commodity-linked option, forward commodity-linked contract, or any other instrument linked to commodities that gives rise to similar counterparty credit risks.
Commodity Exchange Act means the Commodity Exchange Act of 1936 (7 U.S.C. 1 et seq.)
Common equity tier 1 capital is defined in § 324.20(b).
Common equity tier 1 minority interest means the common equity tier 1 capital of a depository institution or foreign bank that is:
(1) A consolidated subsidiary of an FDIC-supervised institution; and
(2) Not owned by the FDIC-supervised institution.
Company means a corporation, partnership, limited liability company, depository institution, business trust, special purpose entity, association, or similar organization.
Control. A person or company controls a company if it:
(1) Owns, controls, or holds with power to vote 25 percent or more of a class of voting securities of the company; or
(2) Consolidates the company for financial reporting purposes.
Core capital means Tier 1 capital, as defined in § 324.2 of subpart A of this part.
Corporate exposure means an exposure to a company that is not:
(1) An exposure to a sovereign, the Bank for International Settlements, the European Central Bank, the European Commission, the International Monetary Fund, the European Stability Mechanism, the European Financial Stability Facility, a multi-lateral development bank (MDB), a depository institution, a foreign bank, a credit union, or a public sector entity (PSE);
(2) An exposure to a GSE;
(3) A residential mortgage exposure;
(4) A pre-sold construction loan;
(5) A statutory multifamily mortgage;
(6) A high volatility commercial real estate (HVCRE) exposure;
(7) A cleared transaction;
(8) A default fund contribution;
(9) A securitization exposure;
(10) An equity exposure;
(11) An unsettled transaction;
(12) A policy loan;
(13) A separate account; or
(14) A Paycheck Protection Program covered loan as defined in section 7(a)(36) of the Small Business Act (15 U.S.C. 636(a)(36)).
Country risk classification (CRC) with respect to a sovereign, means the most recent consensus CRC published by the Organization for Economic Cooperation and Development (OECD) as of December 31st of the prior calendar year that provides a view of the likelihood that the sovereign will service its external debt.
Covered debt instrument means an unsecured debt instrument that is:
(1) Issued by a global systemically important BHC, as defined in 12 CFR 217.2, and that is an eligible debt security, as defined in 12 CFR 252.61, or that is pari passu or subordinated to any eligible debt security issued by the global systemically important BHC; or
(2) Issued by a Covered IHC, as defined in 12 CFR 252.161, and that is an eligible Covered IHC debt security, as defined in 12 CFR 252.161, or that is pari passu or subordinated to any eligible Covered IHC debt security issued by the Covered IHC; or
(3) Issued by a global systemically important banking organization, as defined in 12 CFR 252.2 other than a global systemically important BHC, as defined in 12 CFR 217.2; or issued by a subsidiary of a global systemically important banking organization that is not a global systemically important BHC, other than a Covered IHC, as defined in 12 CFR 252.161; and where,
(i) The instrument is eligible for use to comply with an applicable law or regulation requiring the issuance of a minimum amount of instruments to absorb losses or recapitalize the issuer or any of its subsidiaries in connection with a resolution, receivership, insolvency, or similar proceeding of the issuer or any of its subsidiaries; or
(ii) The instrument is pari passu or subordinated to any instrument described in paragraph (3)(i) of this definition; for purposes of this paragraph (3)(ii) of this definition, if the issuer may be subject to a special resolution regime, in its jurisdiction of incorporation or organization, that addresses the failure or potential failure of a financial company and any instrument described in paragraph (3)(i) of this definition is eligible under that special resolution regime to be written down or converted into equity or any other capital instrument, then an instrument is pari passu or subordinated to any instrument described in paragraph (3)(i) of this definition if that instrument is eligible under that special resolution regime to be written down or converted into equity or any other capital instrument ahead of or proportionally with any instrument described in paragraph (3)(i) of this definition; and
(4) Provided that, for purposes of this definition, covered debt instrument does not include a debt instrument that qualifies as tier 2 capital pursuant to 12 CFR 324.20(d) or that is otherwise treated as regulatory capital by the primary supervisor of the issuer.
Covered savings and loan holding company means a top-tier savings and loan holding company other than:
(1) A top-tier savings and loan holding company that is:
(i) A grandfathered unitary savings and loan holding company as defined in section 10(c)(9)(A) of HOLA; and
(ii) As of June 30 of the previous calendar year, derived 50 percent or more of its total consolidated assets or 50 percent of its total revenues on an enterprise-wide basis (as calculated under GAAP) from activities that are not financial in nature under section 4(k) of the Bank Holding Company Act (12 U.S.C. 1842(k));
(2) A top-tier savings and loan holding company that is an insurance underwriting company; or
(3)
(i) A top-tier savings and loan holding company that, as of June 30 of the previous calendar year, held 25 percent or more of its total consolidated assets in subsidiaries that are insurance underwriting companies (other than assets associated with insurance for credit risk); and
(ii) For purposes of paragraph 3(i) of this definition, the company must calculate its total consolidated assets in accordance with GAAP, or if the company does not calculate its total consolidated assets under GAAP for any regulatory purpose (including compliance with applicable securities laws), the company may estimate its total consolidated assets, subject to review and adjustment by the Federal Reserve.
Credit derivative means a financial contract executed under standard industry credit derivative documentation that allows one party (the protection purchaser) to transfer the credit risk of one or more exposures (reference exposure(s)) to another party (the protection provider) for a certain period of time.
Credit-enhancing interest-only strip (CEIO) means an on-balance sheet asset that, in form or in substance:
(1) Represents a contractual right to receive some or all of the interest and no more than a minimal amount of principal due on the underlying exposures of a securitization; and
(2) Exposes the holder of the CEIO to credit risk directly or indirectly associated with the underlying exposures that exceeds a pro rata share of the holder's claim on the underlying exposures, whether through subordination provisions or other credit-enhancement techniques.
Credit-enhancing representations and warranties means representations and warranties that are made or assumed in connection with a transfer of underlying exposures (including loan servicing assets) and that obligate an FDIC-supervised institution to protect another party from losses arising from the credit risk of the underlying exposures. Credit-enhancing representations and warranties include provisions to protect a party from losses resulting from the default or nonperformance of the counterparties of the underlying exposures or from an insufficiency in the value of the collateral backing the underlying exposures. Credit-enhancing representations and warranties do not include:
(1) Early default clauses and similar warranties that permit the return of, or premium refund clauses covering, 1-4 family residential first mortgage loans that qualify for a 50 percent risk weight for a period not to exceed 120 days from the date of transfer. These warranties may cover only those loans that were originated within 1 year of the date of transfer;
(2) Premium refund clauses that cover assets guaranteed, in whole or in part, by the U.S. Government, a U.S. Government agency or a GSE, provided the premium refund clauses are for a period not to exceed 120 days from the date of transfer; or
(3) Warranties that permit the return of underlying exposures in instances of misrepresentation, fraud, or incomplete documentation.
Credit risk mitigant means collateral, a credit derivative, or a guarantee.
Credit-risk-weighted assets means 1.06 multiplied by the sum of:
(1) Total wholesale and retail risk-weighted assets as calculated under § 324.131;
(2) Risk-weighted assets for securitization exposures as calculated under § 324.142; and
(3) Risk-weighted assets for equity exposures as calculated under § 324.151.
Credit union means an insured credit union as defined under the Federal Credit Union Act (12 U.S.C. 1751 et seq.).
Current Expected Credit Losses (CECL) means the current expected credit losses methodology under GAAP.
Current exposure means, with respect to a netting set, the larger of zero or the fair value of a transaction or portfolio of transactions within the netting set that would be lost upon default of the counterparty, assuming no recovery on the value of the transactions.
Current exposure methodology means the method of calculating the exposure amount for over-the-counter derivative contracts in § 324.34(b).
Custodian means a financial institution that has legal custody of collateral provided to a CCP.
Custody bank means an FDIC-supervised institution that is a subsidiary of a depository institution holding company that is a custodial banking organization under 12 CFR 217.2.
Default fund contribution means the funds contributed or commitments made by a clearing member to a CCP's mutualized loss sharing arrangement.
Depository institution means a depository institution as defined in section 3 of the Federal Deposit Insurance Act.
Depository institution holding company means a bank holding company or savings and loan holding company.
Derivative contract means a financial contract whose value is derived from the values of one or more underlying assets, reference rates, or indices of asset values or reference rates. Derivative contracts include interest rate derivative contracts, exchange rate derivative contracts, equity derivative contracts, commodity derivative contracts, credit derivative contracts, and any other instrument that poses similar counterparty credit risks. Derivative contracts also include unsettled securities, commodities, and foreign exchange transactions with a contractual settlement or delivery lag that is longer than the lesser of the market standard for the particular instrument or five business days.
Discretionary bonus payment means a payment made to an executive officer of an FDIC-supervised institution, where:
(1) The FDIC-supervised institution retains discretion as to whether to make, and the amount of, the payment until the payment is awarded to the executive officer;
(2) The amount paid is determined by the FDIC-supervised institution without prior promise to, or agreement with, the executive officer; and
(3) The executive officer has no contractual right, whether express or implied, to the bonus payment.
Distribution means:
(1) A reduction of tier 1 capital through the repurchase of a tier 1 capital instrument or by other means, except when an FDIC-supervised institution, within the same quarter when the repurchase is announced, fully replaces a tier 1 capital instrument it has repurchased by issuing another capital instrument that meets the eligibility criteria for:
(i) A common equity tier 1 capital instrument if the instrument being repurchased was part of the FDIC-supervised institution's common equity tier 1 capital, or
(ii) A common equity tier 1 or additional tier 1 capital instrument if the instrument being repurchased was part of the FDIC-supervised institution's tier 1 capital;
(2) A reduction of tier 2 capital through the repurchase, or redemption prior to maturity, of a tier 2 capital instrument or by other means, except when an FDIC-supervised institution, within the same quarter when the repurchase or redemption is announced, fully replaces a tier 2 capital instrument it has repurchased by issuing another capital instrument that meets the eligibility criteria for a tier 1 or tier 2 capital instrument;
(3) A dividend declaration or payment on any tier 1 capital instrument;
(4) A dividend declaration or interest payment on any tier 2 capital instrument if the FDIC-supervised institution has full discretion to permanently or temporarily suspend such payments without triggering an event of default; or
(5) Any similar transaction that the FDIC determines to be in substance a distribution of capital.
Dodd-Frank Act means the Dodd-Frank Wall Street Reform and Consumer Protection Act of 2010 (Pub. L. 111-203, 124 Stat. 1376).
Early amortization provision means a provision in the documentation governing a securitization that, when triggered, causes investors in the securitization exposures to be repaid before the original stated maturity of the securitization exposures, unless the provision:
(1) Is triggered solely by events not directly related to the performance of the underlying exposures or the originating FDIC-supervised institution (such as material changes in tax laws or regulations); or
(2) Leaves investors fully exposed to future draws by borrowers on the underlying exposures even after the provision is triggered.
Effective notional amount means for an eligible guarantee or eligible credit derivative, the lesser of the contractual notional amount of the credit risk mitigant and the exposure amount (or EAD for purposes of subpart E of this part) of the hedged exposure, multiplied by the percentage coverage of the credit risk mitigant.
Eligible ABCP liquidity facility means a liquidity facility supporting ABCP, in form or in substance, that is subject to an asset quality test at the time of draw that precludes funding against assets that are 90 days or more past due or in default. Notwithstanding the preceding sentence, a liquidity facility is an eligible ABCP liquidity facility if the assets or exposures funded under the liquidity facility that do not meet the eligibility requirements are guaranteed by a sovereign that qualifies for a 20 percent risk weight or lower.
Eligible clean-up call means a clean-up call that:
(1) Is exercisable solely at the discretion of the originating FDIC-supervised institution or servicer;
(2) Is not structured to avoid allocating losses to securitization exposures held by investors or otherwise structured to provide credit enhancement to the securitization; and
(3)
(i) For a traditional securitization, is only exercisable when 10 percent or less of the principal amount of the underlying exposures or securitization exposures (determined as of the inception of the securitization) is outstanding; or
(ii) For a synthetic securitization, is only exercisable when 10 percent or less of the principal amount of the reference portfolio of underlying exposures (determined as of the inception of the securitization) is outstanding.
Eligible credit derivative means a credit derivative in the form of a credit default swap, nth-to-default swap, total return swap, or any other form of credit derivative approved by the FDIC, provided that:
(1) The contract meets the requirements of an eligible guarantee and has been confirmed by the protection purchaser and the protection provider;
(2) Any assignment of the contract has been confirmed by all relevant parties;
(3) If the credit derivative is a credit default swap or nth-to-default swap, the contract includes the following credit events:
(i) Failure to pay any amount due under the terms of the reference exposure, subject to any applicable minimal payment threshold that is consistent with standard market practice and with a grace period that is closely in line with the grace period of the reference exposure; and
(ii) Receivership, insolvency, liquidation, conservatorship or inability of the reference exposure issuer to pay its debts, or its failure or admission in writing of its inability generally to pay its debts as they become due, and similar events;
(4) The terms and conditions dictating the manner in which the contract is to be settled are incorporated into the contract;
(5) If the contract allows for cash settlement, the contract incorporates a robust valuation process to estimate loss reliably and specifies a reasonable period for obtaining post-credit event valuations of the reference exposure;
(6) If the contract requires the protection purchaser to transfer an exposure to the protection provider at settlement, the terms of at least one of the exposures that is permitted to be transferred under the contract provide that any required consent to transfer may not be unreasonably withheld;
(7) If the credit derivative is a credit default swap or nth-to-default swap, the contract clearly identifies the parties responsible for determining whether a credit event has occurred, specifies that this determination is not the sole responsibility of the protection provider, and gives the protection purchaser the right to notify the protection provider of the occurrence of a credit event; and
(8) If the credit derivative is a total return swap and the FDIC-supervised institution records net payments received on the swap as net income, the FDIC-supervised institution records offsetting deterioration in the value of the hedged exposure (either through reductions in fair value or by an addition to reserves).
Eligible credit reserves means:
(1) For an FDIC-supervised institution that has not adopted CECL, all general allowances that have been established through a charge against earnings to cover estimated credit losses associated with on- or off-balance sheet wholesale and retail exposures, including the ALLL associated with such exposures, but excluding allocated transfer risk reserves established pursuant to 12 U.S.C. 3904 and other specific reserves created against recognized losses; and
(2) For an FDIC-supervised institution that has adopted CECL, all general allowances that have been established through a charge against earnings or retained earnings to cover expected credit losses associated with on- or off-balance sheet wholesale and retail exposures, including AACL associated with such exposures. Eligible credit reserves exclude allocated transfer risk reserves established pursuant to 12 U.S.C. 3904, allowances that reflect credit losses on purchased credit deteriorated assets and available-for-sale debt securities, and other specific reserves created against recognized losses.
Eligible guarantee means a guarantee that:
(1) Is written;
(2) Is either:
(i) Unconditional, or
(ii) A contingent obligation of the U.S. government or its agencies, the enforceability of which is dependent upon some affirmative action on the part of the beneficiary of the guarantee or a third party (for example, meeting servicing requirements);
(3) Covers all or a pro rata portion of all contractual payments of the obligated party on the reference exposure;
(4) Gives the beneficiary a direct claim against the protection provider;
(5) Is not unilaterally cancelable by the protection provider for reasons other than the breach of the contract by the beneficiary;
(6) Except for a guarantee by a sovereign, is legally enforceable against the protection provider in a jurisdiction where the protection provider has sufficient assets against which a judgment may be attached and enforced;
(7) Requires the protection provider to make payment to the beneficiary on the occurrence of a default (as defined in the guarantee) of the obligated party on the reference exposure in a timely manner without the beneficiary first having to take legal actions to pursue the obligor for payment;
(8) Does not increase the beneficiary's cost of credit protection on the guarantee in response to deterioration in the credit quality of the reference exposure;
(9) Is not provided by an affiliate of the FDIC-supervised institution, unless the affiliate is an insured depository institution, foreign bank, securities broker or dealer, or insurance company that:
(i) Does not control the FDIC-supervised institution; and
(ii) Is subject to consolidated supervision and regulation comparable to that imposed on depository institutions, U.S. securities broker-dealers, or U.S. insurance companies (as the case may be); and
(10) For purposes of §§ 324.141 through 324.145 and subpart D of this part, is provided by an eligible guarantor.
Eligible guarantor means:
(1) A sovereign, the Bank for International Settlements, the International Monetary Fund, the European Central Bank, the European Commission, a Federal Home Loan Bank, Federal Agricultural Mortgage Corporation (Farmer Mac), the European Stability Mechanism, the European Financial Stability Facility, a multilateral development bank (MDB), a depository institution, a bank holding company, a savings and loan holding company, a credit union, a foreign bank, or a qualifying central counterparty; or
(2) An entity (other than a special purpose entity):
(i) That at the time the guarantee is issued or anytime thereafter, has issued and outstanding an unsecured debt security without credit enhancement that is investment grade;
(ii) Whose creditworthiness is not positively correlated with the credit risk of the exposures for which it has provided guarantees; and
(iii) That is not an insurance company engaged predominately in the business of providing credit protection (such as a monoline bond insurer or re-insurer).
Eligible margin loan means:
(1) An extension of credit where:
(i) The extension of credit is collateralized exclusively by liquid and readily marketable debt or equity securities, or gold;
(ii) The collateral is marked to fair value daily, and the transaction is subject to daily margin maintenance requirements; and
(iii) The extension of credit is conducted under an agreement that provides the FDIC-supervised institution the right to accelerate and terminate the extension of credit and to liquidate or set-off collateral promptly upon an event of default, including upon an event of receivership, insolvency, liquidation, conservatorship, or similar proceeding, of the counterparty, provided that, in any such case,
(A) Any exercise of rights under the agreement will not be stayed or avoided under applicable law in the relevant jurisdictions, other than
(1) In receivership, conservatorship, or resolution under the Federal Deposit Insurance Act, Title II of the Dodd-Frank Act, or under any similar insolvency law applicable to GSEs,[5] or laws of foreign jurisdictions that are substantially similar[6] to the U.S. laws referenced in this paragraph (1)(iii)(A)(1) in order to facilitate the orderly resolution of the defaulting counterparty; or
(2) Where the agreement is subject by its terms to, or incorporates, any of the laws referenced in paragraph (1)(iii)(A)(1) of this definition; and
(B) The agreement may limit the right to accelerate, terminate, and close-out on a net basis all transactions under the agreement and to liquidate or set-off collateral promptly upon an event of default of the counterparty to the extent necessary for the counterparty to comply with the requirements of part 382 of this title, subpart I of part 252 of this title or part 47 of this title, as applicable.
(2) In order to recognize an exposure as an eligible margin loan for purposes of this subpart, an FDIC-supervised institution must comply with the requirements of § 324.3(b) with respect to that exposure.
Eligible servicer cash advance facility means a servicer cash advance facility in which:
(1) The servicer is entitled to full reimbursement of advances, except that a servicer may be obligated to make non-reimbursable advances for a particular underlying exposure if any such advance is contractually limited to an insignificant amount of the outstanding principal balance of that exposure;
(2) The servicer's right to reimbursement is senior in right of payment to all other claims on the cash flows from the underlying exposures of the securitization; and
(3) The servicer has no legal obligation to, and does not make advances to the securitization if the servicer concludes the advances are unlikely to be repaid.
Employee stock ownership plan has the same meaning as in 29 CFR 2550.407d-6.
Equity derivative contract means an equity-linked swap, purchased equity-linked option, forward equity-linked contract, or any other instrument linked to equities that gives rise to similar counterparty credit risks.
Equity exposure means:
(1) A security or instrument (whether voting or non-voting) that represents a direct or an indirect ownership interest in, and is a residual claim on, the assets and income of a company, unless:
(i) The issuing company is consolidated with the FDIC-supervised institution under GAAP;
(ii) The FDIC-supervised institution is required to deduct the ownership interest from tier 1 or tier 2 capital under this part;
(iii) The ownership interest incorporates a payment or other similar obligation on the part of the issuing company (such as an obligation to make periodic payments); or
(iv) The ownership interest is a securitization exposure;
(2) A security or instrument that is mandatorily convertible into a security or instrument described in paragraph (1) of this definition;
(3) An option or warrant that is exercisable for a security or instrument described in paragraph (1) of this definition; or
(4) Any other security or instrument (other than a securitization exposure) to the extent the return on the security or instrument is based on the performance of a security or instrument described in paragraph (1) of this definition.
ERISA means the Employee Retirement Income and Security Act of 1974 (29 U.S.C. 1001 et seq.).
Exchange rate derivative contract means a cross-currency interest rate swap, forward foreign-exchange contract, currency option purchased, or any other instrument linked to exchange rates that gives rise to similar counterparty credit risks.
Excluded covered debt instrument means an investment in a covered debt instrument held by an FDIC-supervised institution that is a subsidiary of a global systemically important BHC, as defined in 12 CFR 252.2, that:
(1) Is held in connection with market making-related activities permitted under 12 CFR 351.4, provided that a direct exposure or an indirect exposure to a covered debt instrument is held for 30 business days or less; and
(2) Has been designated as an excluded covered debt instrument by the FDIC-supervised institution that is a subsidiary of a global systemically important BHC, as defined in 12 CFR 252.2, pursuant to 12 CFR 324.22(c)(5)(iv)(A).
Executive officer means a person who holds the title or, without regard to title, salary, or compensation, performs the function of one or more of the following positions: president, chief executive officer, executive chairman, chief operating officer, chief financial officer, chief investment officer, chief legal officer, chief lending officer, chief risk officer, or head of a major business line, and other staff that the board of directors of the FDIC-supervised institution deems to have equivalent responsibility.
Expected credit loss (ECL) means:
(1) For a wholesale exposure to a non-defaulted obligor or segment of non-defaulted retail exposures that is carried at fair value with gains and losses flowing through earnings or that is classified as held-for-sale and is carried at the lower of cost or fair value with losses flowing through earnings, zero.
(2) For all other wholesale exposures to non-defaulted obligors or segments of non-defaulted retail exposures, the product of the probability of default (PD) times the loss given default (LGD) times the exposure at default (EAD) for the exposure or segment.
(3) For a wholesale exposure to a defaulted obligor or segment of defaulted retail exposures, the FDIC-supervised institution's impairment estimate for allowance purposes for the exposure or segment.
(4) Total ECL is the sum of expected credit losses for all wholesale and retail exposures other than exposures for which the FDIC-supervised institution has applied the double default treatment in § 324.135.
Exposure amount means:
(1) For the on-balance sheet component of an exposure (other than an available-for-sale or held-to-maturity security, if the FDIC-supervised institution has made an AOCI opt-out election (as defined in § 324.22(b)(2)); an OTC derivative contract; a repo-style transaction or an eligible margin loan for which the FDIC-supervised institution determines the exposure amount under § 324.37; a cleared transaction; a default fund contribution; or a securitization exposure), the FDIC-supervised institution's carrying value of the exposure.
(2) For a security (that is not a securitization exposure, an equity exposure, or preferred stock classified as an equity security under GAAP) classified as available-for-sale or held-to-maturity if the FDIC-supervised institution has made an AOCI opt-out election (as defined in § 324.22(b)(2)), the FDIC-supervised institution's carrying value (including net accrued but unpaid interest and fees) for the exposure less any net unrealized gains on the exposure and plus any net unrealized losses on the exposure.
(3) For available-for-sale preferred stock classified as an equity security under GAAP if the FDIC-supervised institution has made an AOCI opt-out election (as defined in § 324.22(b)(2)), the FDIC-supervised institution's carrying value of the exposure less any net unrealized gains on the exposure that are reflected in such carrying value but excluded from the FDIC-supervised institution's regulatory capital components.
(4) For the off-balance sheet component of an exposure (other than an OTC derivative contract; a repo-style transaction or an eligible margin loan for which the FDIC-supervised institution calculates the exposure amount under § 324.37; a cleared transaction; a default fund contribution; or a securitization exposure), the notional amount of the off-balance sheet component multiplied by the appropriate credit conversion factor (CCF) in § 324.33.
(5) For an exposure that is an OTC derivative contract, the exposure amount determined under § 324.34;
(6) For an exposure that is a cleared transaction, the exposure amount determined under § 324.35.
(7) For an exposure that is an eligible margin loan or repo-style transaction for which the FDIC-supervised institution calculates the exposure amount as provided in § 324.37, the exposure amount determined under § 324.37.
(8) For an exposure that is a securitization exposure, the exposure amount determined under § 324.42.
FDIC-supervised institution means any bank or state savings association.
Federal Deposit Insurance Act means the Federal Deposit Insurance Act (12 U.S.C. 1811 et seq.).
Federal Deposit Insurance Corporation Improvement Act means the Federal Deposit Insurance Corporation Improvement Act of 1991 (Pub. L. 102-242, 105 Stat. 2236).
Federal Reserve means the Board of Governors of the Federal Reserve System.
Fiduciary or custodial and safekeeping account means, for purposes of § 324.10(c)(2)(x), an account administered by a custody bank for which the custody bank provides fiduciary or custodial and safekeeping services, as authorized by applicable Federal or state law.
Financial collateral means collateral:
(1) In the form of:
(i) Cash on deposit with the FDIC-supervised institution (including cash held for the FDIC-supervised institution by a third-party custodian or trustee);
(ii) Gold bullion;
(iii) Long-term debt securities that are not resecuritization exposures and that are investment grade;
(iv) Short-term debt instruments that are not resecuritization exposures and that are investment grade;
(v) Equity securities that are publicly traded;
(vi) Convertible bonds that are publicly traded; or
(vii) Money market fund shares and other mutual fund shares if a price for the shares is publicly quoted daily; and
(2) In which the FDIC-supervised institution has a perfected, first-priority security interest or, outside of the United States, the legal equivalent thereof (with the exception of cash on deposit; and notwithstanding the prior security interest of any custodial agent or any priority security interest granted to a CCP in connection with collateral posted to that CCP).
Financial institution means:
(1) A bank holding company; savings and loan holding company; nonbank financial institution supervised by the Federal Reserve under Title I of the Dodd-Frank Act; depository institution; foreign bank; credit union; industrial loan company, industrial bank, or other similar institution described in section 2 of the Bank Holding Company Act; national association, state member bank, or state non-member bank that is not a depository institution; insurance company; securities holding company as defined in section 618 of the Dodd-Frank Act; broker or dealer registered with the SEC under section 15 of the Securities Exchange Act; futures commission merchant as defined in section 1a of the Commodity Exchange Act; swap dealer as defined in section 1a of the Commodity Exchange Act; or security-based swap dealer as defined in section 3 of the Securities Exchange Act;
(2) Any designated financial market utility, as defined in section 803 of the Dodd-Frank Act;
(3) Any entity not domiciled in the United States (or a political subdivision thereof) that is supervised and regulated in a manner similar to entities described in paragraphs (1) or (2) of this definition; or
(4) Any other company:
(i) Of which the FDIC-supervised institution owns:
(A) An investment in GAAP equity instruments of the company with an adjusted carrying value or exposure amount equal to or greater than $10 million; or
(B) More than 10 percent of the company's issued and outstanding common shares (or similar equity interest), and
(ii) Which is predominantly engaged in the following activities:
(A) Lending money, securities or other financial instruments, including servicing loans;
(B) Insuring, guaranteeing, indemnifying against loss, harm, damage, illness, disability, or death, or issuing annuities;
(C) Underwriting, dealing in, making a market in, or investing as principal in securities or other financial instruments; or
(D) Asset management activities (not including investment or financial advisory activities).
(5) For the purposes of this definition, a company is “predominantly engaged” in an activity or activities if:
(i) 85 percent or more of the total consolidated annual gross revenues (as determined in accordance with applicable accounting standards) of the company is either of the two most recent calendar years were derived, directly or indirectly, by the company on a consolidated basis from the activities; or
(ii) 85 percent or more of the company's consolidated total assets (as determined in accordance with applicable accounting standards) as of the end of either of the two most recent calendar years were related to the activities.
(6) Any other company that the FDIC may determine is a financial institution based on activities similar in scope, nature, or operation to those of the entities included in paragraphs (1) through (4) of this definition.
(7) For purposes of this part, “financial institution” does not include the following entities:
(i) GSEs;
(ii) Small business investment companies, as defined in section 102 of the Small Business Investment Act of 1958 (15 U.S.C. 661 et seq.);
(iii) Entities designated as Community Development Financial Institutions (CDFIs) under 12 U.S.C. 4701 et seq. and 12 CFR part 1805;
(iv) Entities registered with the SEC under the Investment Company Act or foreign equivalents thereof;
(v) Entities to the extent that the FDIC-supervised institution's investment in such entities would qualify as a community development investment under section 24 (Eleventh) of the National Bank Act; and
(vi) An employee benefit plan as defined in paragraphs (3) and (32) of section 3 of ERISA, a “governmental plan” (as defined in 29 U.S.C. 1002(32)) that complies with the tax deferral qualification requirements provided in the Internal Revenue Code, or any similar employee benefit plan established under the laws of a foreign jurisdiction.
First-lien residential mortgage exposure means a residential mortgage exposure secured by a first lien.
Foreign bank means a foreign bank as defined in § 211.2 of the Federal Reserve's Regulation K (12 CFR 211.2) (other than a depository institution).
Forward agreement means a legally binding contractual obligation to purchase assets with certain drawdown at a specified future date, not including commitments to make residential mortgage loans or forward foreign exchange contracts.
FR Y-9LP means the Parent Company Only Financial Statements for Large Holding Companies.
FR Y-15 means the Systemic Risk Report.
GAAP means generally accepted accounting principles as used in the United States.
Gain-on-sale means an increase in the equity capital of an FDIC-supervised institution (as reported on Schedule RC of the Call Report) resulting from a traditional securitization (other than an increase in equity capital resulting from the FDIC-supervised institution's receipt of cash in connection with the securitization or reporting of a mortgage servicing asset on Schedule RC of the Call Report.
General obligation means a bond or similar obligation that is backed by the full faith and credit of a public sector entity (PSE).
Government-sponsored enterprise (GSE) means an entity established or chartered by the U.S. government to serve public purposes specified by the U.S. Congress but whose debt obligations are not explicitly guaranteed by the full faith and credit of the U.S. government.
Guarantee means a financial guarantee, letter of credit, insurance, or other similar financial instrument (other than a credit derivative) that allows one party (beneficiary) to transfer the credit risk of one or more specific exposures (reference exposure) to another party (protection provider).
High volatility commercial real estate (HVCRE) exposure means:
(1) A credit facility secured by land or improved real property that, prior to being reclassified by the FDIC-supervised institution as a non-HVCRE exposure pursuant to paragraph (6) of this definition -
(i) Primarily finances, has financed, or refinances the acquisition, development, or construction of real property;
(ii) Has the purpose of providing financing to acquire, develop, or improve such real property into income-producing real property; and
(iii) Is dependent upon future income or sales proceeds from, or refinancing of, such real property for the repayment of such credit facility.
(2) An HVCRE exposure does not include a credit facility financing -
(i) The acquisition, development, or construction of properties that are -
(A) One- to four-family residential properties. Credit facilities that do not finance the construction of one- to four-family residential structures, but instead solely finance improvements such as the laying of sewers, water pipes, and similar improvements to land, do not qualify for the one- to four-family residential properties exclusion;
(B) Real property that would qualify as an investment in community development; or
(C) Agricultural land;
(ii) The acquisition or refinance of existing income-producing real property secured by a mortgage on such property, if the cash flow being generated by the real property is sufficient to support the debt service and expenses of the real property, in accordance with the FDIC-supervised institution's applicable loan underwriting criteria for permanent financings;
(iii) Improvements to existing income-producing improved real property secured by a mortgage on such property, if the cash flow being generated by the real property is sufficient to support the debt service and expenses of the real property, in accordance with the FDIC-supervised institution's applicable loan underwriting criteria for permanent financings; or
(iv) Commercial real property projects in which -
(A) The loan-to-value ratio is less than or equal to the applicable maximum supervisory loan-to-value ratio as determined by the FDIC;
(B) The borrower has contributed capital of at least 15 percent of the real property's appraised, `as completed' value to the project in the form of -
(1) Cash;
(2) Unencumbered readily marketable assets;
(3) Paid development expenses out-of-pocket; or
(4) Contributed real property or improvements; and
(C) The borrower contributed the minimum amount of capital described under paragraph (2)(iv)(B) of this definition before the FDIC-supervised institution advances funds (other than the advance of a nominal sum made in order to secure the FDIC-supervised institution's lien against the real property) under the credit facility, and such minimum amount of capital contributed by the borrower is contractually required to remain in the project until the HVCRE exposure has been reclassified by the FDIC-supervised institution as a non-HVCRE exposure under paragraph (6) of this definition;
(3) An HVCRE exposure does not include any loan made prior to January 1, 2015;
(4) An HVCRE exposure does not include a credit facility reclassified as a non-HVCRE exposure under paragraph (6) of this definition.
(5) Value Of contributed real property: For the purposes of this HVCRE exposure definition, the value of any real property contributed by a borrower as a capital contribution is the appraised value of the property as determined under standards prescribed pursuant to section 1110 of the Financial Institutions Reform, Recovery, and Enforcement Act of 1989 (12 U.S.C. 3339), in connection with the extension of the credit facility or loan to such borrower.
(6) Reclassification as a non-HVCRE exposure: For purposes of this HVCRE exposure definition and with respect to a credit facility and an FDIC-supervised institution, an FDIC-supervised institution may reclassify an HVCRE exposure as a non-HVCRE exposure upon -
(i) The substantial completion of the development or construction of the real property being financed by the credit facility; and
(ii) Cash flow being generated by the real property being sufficient to support the debt service and expenses of the real property, in accordance with the FDIC-supervised institution's applicable loan underwriting criteria for permanent financings.
(7) For purposes of this definition, an FDIC-supervised institution is not required to reclassify a credit facility that was originated on or after January 1, 2015 and prior to April 1, 2020.
Home country means the country where an entity is incorporated, chartered, or similarly established.
Identified losses means:
(1) When measured as of the date of examination of an FDIC-supervised institution, those items that have been determined by an evaluation made by a state or Federal examiner as of that date to be chargeable against income, capital and/or general valuation allowances such as the allowances for loan and lease losses (examples of identified losses would be assets classified loss, off-balance sheet items classified loss, any provision expenses that are necessary for the FDIC-supervised institution to record in order to replenish its general valuation allowances to an adequate level, liabilities not shown on the FDIC-supervised institution's books, estimated losses in contingent liabilities, and differences in accounts which represent shortages) or the adjusted allowances for credit losses; and
(2) When measured as of any other date, those items:
(i) That have been determined -
(A) By an evaluation made by a state or Federal examiner at the most recent examination of an FDIC-supervised institution to be chargeable against income, capital and/or general valuation allowances; or
(B) By evaluations made by the FDIC-supervised institution since its most recent examination to be chargeable against income, capital and/or general valuation allowances; and
(ii) For which the appropriate accounting entries to recognize the loss have not yet been made on the FDIC-supervised institution's books nor has the item been collected or otherwise settled.
Independent collateral means financial collateral, other than variation margin, that is subject to a collateral agreement, or in which a FDIC-supervised institution has a perfected, first-priority security interest or, outside of the United States, the legal equivalent thereof (with the exception of cash on deposit; notwithstanding the prior security interest of any custodial agent or any prior security interest granted to a CCP in connection with collateral posted to that CCP), and the amount of which does not change directly in response to the value of the derivative contract or contracts that the financial collateral secures.
Indirect exposure means an exposure that arises from the FDIC-supervised institution's investment in an investment fund which holds an investment in the FDIC-supervised institution's own capital instrument or an investment in the capital of an unconsolidated financial institution. For an advanced approaches FDIC-supervised institution, indirect exposure also includes an investment in an investment fund that holds a covered debt instrument.
Insurance company means an insurance company as defined in section 201 of the Dodd-Frank Act (12 U.S.C. 5381).
Insurance underwriting company means an insurance company as defined in section 201 of the Dodd-Frank Act (12 U.S.C. 5381) that engages in insurance underwriting activities.
Insured depository institution means an insured depository institution as defined in section 3 of the Federal Deposit Insurance Act.
Interest rate derivative contract means a single-currency interest rate swap, basis swap, forward rate agreement, purchased interest rate option, when-issued securities, or any other instrument linked to interest rates that gives rise to similar counterparty credit risks.
International Lending Supervision Act means the International Lending Supervision Act of 1983 (12 U.S.C. 3901 et seq.).
Investing bank means, with respect to a securitization, an FDIC-supervised institution that assumes the credit risk of a securitization exposure (other than an originating FDIC-supervised institution of the securitization). In the typical synthetic securitization, the investing FDIC-supervised institution sells credit protection on a pool of underlying exposures to the originating FDIC-supervised institution.
Investment Company Act means the Investment Company Act of 1940 (15 U.S.C. 80 a-1 et seq.)
Investment fund means a company:
(1) Where all or substantially all of the assets of the company are financial assets; and
(2) That has no material liabilities.
Investment grade means that the entity to which the FDIC-supervised institution is exposed through a loan or security, or the reference entity with respect to a credit derivative, has adequate capacity to meet financial commitments for the projected life of the asset or exposure. Such an entity or reference entity has adequate capacity to meet financial commitments if the risk of its default is low and the full and timely repayment of principal and interest is expected.
Investment in a covered debt instrument means an FDIC-supervised institution's net long position calculated in accordance with § 324.22(h) in a covered debt instrument, including direct, indirect, and synthetic exposures to the debt instrument, excluding any underwriting positions held by the FDIC-supervised institution for five or fewer business days.
Investment in the capital of an unconsolidated financial institution means a net long position calculated in accordance with § 324.22(h) in an instrument that is recognized as capital for regulatory purposes by the primary supervisor of an unconsolidated regulated financial institution or is an instrument that is part of the GAAP equity of an unconsolidated unregulated financial institution, including direct, indirect, and synthetic exposures to capital instruments, excluding underwriting positions held by the FDIC-supervised institution for five or fewer business days.
Investment in the FDIC-supervised institution's own capital instrument means a net long position calculated in accordance with § 324.22(h) in the FDIC-supervised institution's own common stock instrument, own additional tier 1 capital instrument or own tier 2 capital instrument, including direct, indirect, or synthetic exposures to such capital instruments. An investment in the FDIC-supervised institution's own capital instrument includes any contractual obligation to purchase such capital instrument.
Junior-lien residential mortgage exposure means a residential mortgage exposure that is not a first-lien residential mortgage exposure.
Main index means the Standard & Poor's 500 Index, the FTSE All-World Index, and any other index for which the FDIC-supervised institution can demonstrate to the satisfaction of the FDIC that the equities represented in the index have comparable liquidity, depth of market, and size of bid-ask spreads as equities in the Standard & Poor's 500 Index and FTSE All-World Index.
Market risk FDIC-supervised institution means an FDIC-supervised institution that is described in § 324.201(b).
Minimum transfer amount means the smallest amount of variation margin that may be transferred between counterparties to a netting set pursuant to the variation margin agreement.
Money market fund means an investment fund that is subject to 17 CFR 270.2a-7 or any foreign equivalent thereof.
Mortgage servicing assets (MSAs) means the contractual rights owned by an FDIC-supervised institution to service for a fee mortgage loans that are owned by others.
Multilateral development bank (MDB) means the International Bank for Reconstruction and Development, the Multilateral Investment Guarantee Agency, the International Finance Corporation, the Inter-American Development Bank, the Asian Development Bank, the African Development Bank, the European Bank for Reconstruction and Development, the European Investment Bank, the European Investment Fund, the Nordic Investment Bank, the Caribbean Development Bank, the Islamic Development Bank, the Council of Europe Development Bank, and any other multilateral lending institution or regional development bank in which the U.S. government is a shareholder or contributing member or which the FDIC determines poses comparable credit risk.
National Bank Act means the National Bank Act (12 U.S.C. 1 et seq.).
Net independent collateral amount means the fair value amount of the independent collateral, as adjusted by the standard supervisory haircuts under § 324.132(b)(2)(ii), as applicable, that a counterparty to a netting set has posted to a FDIC-supervised institution less the fair value amount of the independent collateral, as adjusted by the standard supervisory haircuts under § 324.132(b)(2)(ii), as applicable, posted by the FDIC-supervised institution to the counterparty, excluding such amounts held in a bankruptcy remote manner or posted to a QCCP and held in conformance with the operational requirements in § 324.3.
Netting set means a group of transactions with a single counterparty that are subject to a qualifying master netting agreement. For derivative contracts, netting set also includes a single derivative contract between a FDIC-supervised institution and a single counterparty. For purposes of the internal model methodology under § 324.132(d), netting set also includes a group of transactions with a single counterparty that are subject to a qualifying cross-product master netting agreement and does not include a transaction:
(1) That is not subject to such a master netting agreement; or
(2) Where the FDIC-supervised institution has identified specific wrong-way risk.
Non-significant investment in the capital of an unconsolidated financial institution means an investment by an advanced approaches FDIC-supervised institution in the capital of an unconsolidated financial institution where the advanced approaches FDIC-supervised institution owns 10 percent or less of the issued and outstanding common stock of the unconsolidated financial institution.
Nth-to-default credit derivative means a credit derivative that provides credit protection only for the nth-defaulting reference exposure in a group of reference exposures.
OCC means the Office of the Comptroller of the Currency, U.S. Treasury.
Operating entity means a company established to conduct business with clients with the intention of earning a profit in its own right.
Original maturity with respect to an off-balance sheet commitment means the length of time between the date a commitment is issued and:
(1) For a commitment that is not subject to extension or renewal, the stated expiration date of the commitment; or
(2) For a commitment that is subject to extension or renewal, the earliest date on which the FDIC-supervised institution can, at its option, unconditionally cancel the commitment.
Originating FDIC-supervised institution, with respect to a securitization, means an FDIC-supervised institution that:
(1) Directly or indirectly originated or securitized the underlying exposures included in the securitization; or
(2) Serves as an ABCP program sponsor to the securitization.
Over-the-counter (OTC) derivative contract means a derivative contract that is not a cleared transaction. An OTC derivative includes a transaction:
(1) Between an FDIC-supervised institution that is a clearing member and a counterparty where the FDIC-supervised institution is acting as a financial intermediary and enters into a cleared transaction with a CCP that offsets the transaction with the counterparty; or
(2) In which an FDIC-supervised institution that is a clearing member provides a CCP a guarantee on the performance of the counterparty to the transaction.
Performance standby letter of credit (or performance bond) means an irrevocable obligation of an FDIC-supervised institution to pay a third-party beneficiary when a customer (account party) fails to perform on any contractual nonfinancial or commercial obligation. To the extent permitted by law or regulation, performance standby letters of credit include arrangements backing, among other things, subcontractors' and suppliers' performance, labor and materials contracts, and construction bids.
Pre-sold construction loan means any one-to-four family residential construction loan to a builder that meets the requirements of section 618(a)(1) or (2) of the Resolution Trust Corporation Refinancing, Restructuring, and Improvement Act of 1991 (Pub. L. 102-233, 105 Stat. 1761) and the following criteria:
(1) The loan is made in accordance with prudent underwriting standards, meaning that the FDIC-supervised institution has obtained sufficient documentation that the buyer of the home has a legally binding written sales contract and has a firm written commitment for permanent financing of the home upon completion;
(2) The purchaser is an individual(s) that intends to occupy the residence and is not a partnership, joint venture, trust, corporation, or any other entity (including an entity acting as a sole proprietorship) that is purchasing one or more of the residences for speculative purposes;
(3) The purchaser has entered into a legally binding written sales contract for the residence;
(4) The purchaser has not terminated the contract;
(5) The purchaser has made a substantial earnest money deposit of no less than 3 percent of the sales price, which is subject to forfeiture if the purchaser terminates the sales contract; provided that, the earnest money deposit shall not be subject to forfeiture by reason of breach or termination of the sales contract on the part of the builder;
(6) The earnest money deposit must be held in escrow by the FDIC-supervised institution or an independent party in a fiduciary capacity, and the escrow agreement must provide that in an event of default arising from the cancellation of the sales contract by the purchaser of the residence, the escrow funds shall be used to defray any cost incurred by the FDIC-supervised institution;
(7) The builder must incur at least the first 10 percent of the direct costs of construction of the residence (that is, actual costs of the land, labor, and material) before any drawdown is made under the loan;
(8) The loan may not exceed 80 percent of the sales price of the presold residence; and
(9) The loan is not more than 90 days past due, or on nonaccrual.
Protection amount (P) means, with respect to an exposure hedged by an eligible guarantee or eligible credit derivative, the effective notional amount of the guarantee or credit derivative, reduced to reflect any currency mismatch, maturity mismatch, or lack of restructuring coverage (as provided in § 324.36 or § 324.134, as appropriate).
Publicly-traded means traded on:
(1) Any exchange registered with the SEC as a national securities exchange under section 6 of the Securities Exchange Act; or
(2) Any non-U.S.-based securities exchange that:
(i) Is registered with, or approved by, a national securities regulatory authority; and
(ii) Provides a liquid, two-way market for the instrument in question.
Public sector entity (PSE) means a state, local authority, or other governmental subdivision below the sovereign level.
Qualifying central bank means:
(1) A Federal Reserve Bank;
(2) The European Central Bank; and
(3) The central bank of any member country of the Organisation for Economic Co-operation and Development, if:
(i) Sovereign exposures to the member country would receive a zero percent risk-weight under § 324.32; and
(ii) The sovereign debt of the member country is not in default or has not been in default during the previous 5 years.
Qualifying central counterparty (QCCP) means a central counterparty that:
(1)
(i) Is a designated financial market utility (FMU) under Title VIII of the Dodd-Frank Act;
(ii) If not located in the United States, is regulated and supervised in a manner equivalent to a designated FMU; or
(iii) Meets the following standards:
(A) The central counterparty requires all parties to contracts cleared by the counterparty to be fully collateralized on a daily basis;
(B) The FDIC-supervised institution demonstrates to the satisfaction of the FDIC that the central counterparty:
(1) Is in sound financial condition;
(2) Is subject to supervision by the Federal Reserve, the CFTC, or the Securities Exchange Commission (SEC), or, if the central counterparty is not located in the United States, is subject to effective oversight by a national supervisory authority in its home country; and
(3) Meets or exceeds the risk-management standards for central counterparties set forth in regulations established by the Federal Reserve, the CFTC, or the SEC under Title VII or Title VIII of the Dodd-Frank Act; or if the central counterparty is not located in the United States, meets or exceeds similar risk-management standards established under the law of its home country that are consistent with international standards for central counterparty risk management as established by the relevant standard setting body of the Bank of International Settlements; and
(2)
(i) Provides the FDIC-supervised institution with the central counterparty's hypothetical capital requirement or the information necessary to calculate such hypothetical capital requirement, and other information the FDIC-supervised institution is required to obtain under §§ 324.35(d)(3) and 324.133(d)(3);
(ii) Makes available to the FDIC and the CCP's regulator the information described in paragraph (2)(i) of this definition; and
(iii) Has not otherwise been determined by the FDIC to not be a QCCP due to its financial condition, risk profile, failure to meet supervisory risk management standards, or other weaknesses or supervisory concerns that are inconsistent with the risk weight assigned to qualifying central counterparties under §§ 324.35 and 324.133.
(3) Exception. A QCCP that fails to meet the requirements of a QCCP in the future may still be treated as a QCCP under the conditions specified in § 324.3(f).
Qualifying master netting agreement means a written, legally enforceable agreement provided that:
(1) The agreement creates a single legal obligation for all individual transactions covered by the agreement upon an event of default following any stay permitted by paragraph (2) of this definition, including upon an event of receivership, conservatorship, insolvency, liquidation, or similar proceeding, of the counterparty;
(2) The agreement provides the FDIC-supervised institution the right to accelerate, terminate, and close-out on a net basis all transactions under the agreement and to liquidate or set-off collateral promptly upon an event of default, including upon an event of receivership, conservatorship, insolvency, liquidation, or similar proceeding, of the counterparty, provided that, in any such case,
(i) Any exercise of rights under the agreement will not be stayed or avoided under applicable law in the relevant jurisdictions, other than:
(A) In receivership, conservatorship, or resolution under the Federal Deposit Insurance Act, Title II of the Dodd-Frank Act, or under any similar insolvency law applicable to GSEs, or laws of foreign jurisdictions that are substantially similar[7] to the U.S. laws referenced in this paragraph (2)(i)(A) in order to facilitate the orderly resolution of the defaulting counterparty; or
(B) Where the agreement is subject by its terms to, or incorporates, any of the laws referenced in paragraph (2)(i)(A) of this definition; and
(ii) The agreement may limit the right to accelerate, terminate, and close-out on a net basis all transactions under the agreement and to liquidate or set-off collateral promptly upon an event of default of the counterparty to the extent necessary for the counterparty to comply with the requirements of part 382 of this title, subpart I of part 252 of this title or part 47 of this title, as applicable;
(3) The agreement does not contain a walkaway clause (that is, a provision that permits a non-defaulting counterparty to make a lower payment than it otherwise would make under the agreement, or no payment at all, to a defaulter or the estate of a defaulter, even if the defaulter or the estate of the defaulter is a net creditor under the agreement); and
(4) In order to recognize an agreement as a qualifying master netting agreement for purposes of this subpart, an FDIC-supervised institution must comply with the requirements of § 324.3(d) with respect to that agreement.
Regulated financial institution means a financial institution subject to consolidated supervision and regulation comparable to that imposed on the following U.S. financial institutions: Depository institutions, depository institution holding companies, nonbank financial companies supervised by the Federal Reserve, designated financial market utilities, securities broker-dealers, credit unions, or insurance companies.
Repo-style transaction means a repurchase or reverse repurchase transaction, or a securities borrowing or securities lending transaction, including a transaction in which the FDIC-supervised institution acts as agent for a customer and indemnifies the customer against loss, provided that:
(1) The transaction is based solely on liquid and readily marketable securities, cash, or gold;
(2) The transaction is marked-to-fair value daily and subject to daily margin maintenance requirements;
(3)
(i) The transaction is a “securities contract” or “repurchase agreement” under section 555 or 559, respectively, of the Bankruptcy Code (11 U.S.C. 555 or 559), a qualified financial contract under section 11(e)(8) of the Federal Deposit Insurance Act, or a netting contract between or among financial institutions under sections 401-407 of the Federal Deposit Insurance Corporation Improvement Act or the Federal Reserve's Regulation EE (12 CFR part 231); or
(ii) If the transaction does not meet the criteria set forth in paragraph (3)(i) of this definition, then either:
(A) The transaction is executed under an agreement that provides the FDIC-supervised institution the right to accelerate, terminate, and close-out the transaction on a net basis and to liquidate or set-off collateral promptly upon an event of default, including upon an event of receivership, insolvency, liquidation, or similar proceeding, of the counterparty, provided that, in any such case,
(1) Any exercise of rights under the agreement will not be stayed or avoided under applicable law in the relevant jurisdictions, other than
(i) In receivership, conservatorship, or resolution under the Federal Deposit Insurance Act, Title II of the Dodd-Frank Act, or under any similar insolvency law applicable to GSEs, or laws of foreign jurisdictions that are substantially similar[8] to the U.S. laws referenced in this paragraph (3)(ii)(A)(1)(i) in order to facilitate the orderly resolution of the defaulting counterparty;
(ii) Where the agreement is subject by its terms to, or incorporates, any of the laws referenced in paragraph (3)(ii)(A)(1)(i) of this definition; and
(2) The agreement may limit the right to accelerate, terminate, and close-out on a net basis all transactions under the agreement and to liquidate or set-off collateral promptly upon an event of default of the counterparty to the extent necessary for the counterparty to comply with the requirements of part 382 of this title, subpart I of part 252 of this title or part 47 of this title, as applicable; or
(B) The transaction is:
(1) Either overnight or unconditionally cancelable at any time by the FDIC-supervised institution; and
(2) Executed under an agreement that provides the FDIC-supervised institution the right to accelerate, terminate, and close-out the transaction on a net basis and to liquidate or set off collateral promptly upon an event of counterparty default; and
(4) In order to recognize an exposure as a repo-style transaction for purposes of this subpart, an FDIC-supervised institution must comply with the requirements of § 324.3(e) of this part with respect to that exposure.
Resecuritization means a securitization which has more than one underlying exposure and in which one or more of the underlying exposures is a securitization exposure.
Resecuritization exposure means:
(1) An on- or off-balance sheet exposure to a resecuritization;
(2) An exposure that directly or indirectly references a resecuritization exposure.
(3) An exposure to an asset-backed commercial paper program is not a resecuritization exposure if either:
(i) The program-wide credit enhancement does not meet the definition of a resecuritization exposure; or
(ii) The entity sponsoring the program fully supports the commercial paper through the provision of liquidity so that the commercial paper holders effectively are exposed to the default risk of the sponsor instead of the underlying exposures.
Residential mortgage exposure means an exposure (other than a securitization exposure, equity exposure, statutory multifamily mortgage, or presold construction loan):
(1)
(i) That is primarily secured by a first or subsequent lien on one-to-four family residential property; or
(ii) With an original and outstanding amount of $1 million or less that is primarily secured by a first or subsequent lien on residential property that is not one-to-four family; and
(2) For purposes of calculating capital requirements under subpart E of this part, managed as part of a segment of exposures with homogeneous risk characteristics and not on an individual-exposure basis.
Revenue obligation means a bond or similar obligation that is an obligation of a PSE, but which the PSE is committed to repay with revenues from the specific project financed rather than general tax funds.
Savings and loan holding company means a savings and loan holding company as defined in section 10 of the Home Owners' Loan Act (12 U.S.C. 1467a).
Securities and Exchange Commission (SEC) means the U.S. Securities and Exchange Commission.
Securities Exchange Act means the Securities Exchange Act of 1934 (15 U.S.C. 78a et seq.).
Securitization exposure means:
(1) An on-balance sheet or off-balance sheet credit exposure (including credit-enhancing representations and warranties) that arises from a traditional securitization or synthetic securitization (including a resecuritization), or
(2) An exposure that directly or indirectly references a securitization exposure described in paragraph (1) of this definition.
Securitization special purpose entity (securitization SPE) means a corporation, trust, or other entity organized for the specific purpose of holding underlying exposures of a securitization, the activities of which are limited to those appropriate to accomplish this purpose, and the structure of which is intended to isolate the underlying exposures held by the entity from the credit risk of the seller of the underlying exposures to the entity.
Separate account means a legally segregated pool of assets owned and held by an insurance company and maintained separately from the insurance company's general account assets for the benefit of an individual contract holder. To be a separate account:
(1) The account must be legally recognized as a separate account under applicable law;
(2) The assets in the account must be insulated from general liabilities of the insurance company under applicable law in the event of the insurance company's insolvency;
(3) The insurance company must invest the funds within the account as directed by the contract holder in designated investment alternatives or in accordance with specific investment objectives or policies; and
(4) All investment gains and losses, net of contract fees and assessments, must be passed through to the contract holder, provided that the contract may specify conditions under which there may be a minimum guarantee but must not include contract terms that limit the maximum investment return available to the policyholder.
Servicer cash advance facility means a facility under which the servicer of the underlying exposures of a securitization may advance cash to ensure an uninterrupted flow of payments to investors in the securitization, including advances made to cover foreclosure costs or other expenses to facilitate the timely collection of the underlying exposures.
Significant investment in the capital of an unconsolidated financial institution means an investment by an advanced approaches FDIC-supervised institution in the capital of an unconsolidated financial institution where the advanced approaches FDIC-supervised institution owns more than 10 percent of the issued and outstanding common stock of the unconsolidated financial institution.
Small Business Act means the Small Business Act (15 U.S.C. 631 et seq.).
Small Business Investment Act means the Small Business Investment Act of 1958 (15 U.S.C. 681 et seq.).
Sovereign means a central government (including the U.S. government) or an agency, department, ministry, or central bank of a central government.
Sovereign default means noncompliance by a sovereign with its external debt service obligations or the inability or unwillingness of a sovereign government to service an existing loan according to its original terms, as evidenced by failure to pay principal and interest timely and fully, arrearages, or restructuring.
Sovereign exposure means:
(1) A direct exposure to a sovereign; or
(2) An exposure directly and unconditionally backed by the full faith and credit of a sovereign.
Specific wrong-way risk means wrong-way risk that arises when either:
(1) The counterparty and issuer of the collateral supporting the transaction; or
(2) The counterparty and the reference asset of the transaction, are affiliates or are the same entity.
Speculative grade means the reference entity has adequate capacity to meet financial commitments in the near term, but is vulnerable to adverse economic conditions, such that should economic conditions deteriorate, the reference entity would present an elevated default risk.
Standardized market risk-weighted assets means the standardized measure for market risk calculated under § 324.204 multiplied by 12.5.
Standardized total risk-weighted assets means:
(1) The sum of:
(i) Total risk-weighted assets for general credit risk as calculated under § 324.31;
(ii) Total risk-weighted assets for cleared transactions and default fund contributions as calculated under § 324.35;
(iii) Total risk-weighted assets for unsettled transactions as calculated under § 324.38;
(iv) Total risk-weighted assets for securitization exposures as calculated under § 324.42;
(v) Total risk-weighted assets for equity exposures as calculated under §§ 324.52 and 324.53; and
(vi) For a market risk FDIC-supervised institution only, standardized market risk-weighted assets; minus
(2) Any amount of the FDIC-supervised institution's allowance for loan and lease losses or adjusted allowance for credit losses, as applicable, that is not included in tier 2 capital and any amount of “allocated transfer risk reserves.”
State savings association means a State savings association as defined in section 3(b)(3) of the Federal Deposit Insurance Act (12 U.S.C. 1813(b)(3)), the deposits of which are insured by the Corporation. It includes a building and loan, savings and loan, or homestead association, or a cooperative bank (other than a cooperative bank which is a state bank as defined in section 3(a)(2) of the Federal Deposit Insurance Act) organized and operating according to the laws of the State in which it is chartered or organized, or a corporation (other than a bank as defined in section 3(a)(1) of the Federal Deposit Insurance Act) that the Board of Directors of the Federal Deposit Insurance Corporation determine to be operating substantially in the same manner as a state savings association.
Statutory multifamily mortgage means a loan secured by a multifamily residential property that meets the requirements under section 618(b)(1) of the Resolution Trust Corporation Refinancing, Restructuring, and Improvement Act of 1991, and that meets the following criteria:[9]
(1) The loan is made in accordance with prudent underwriting standards;
(2) The principal amount of the loan at origination does not exceed 80 percent of the value of the property (or 75 percent of the value of the property if the loan is based on an interest rate that changes over the term of the loan) where the value of the property is the lower of the acquisition cost of the property or the appraised (or, if appropriate, evaluated) value of the property;
(3) All principal and interest payments on the loan must have been made on a timely basis in accordance with the terms of the loan for at least one year prior to applying a 50 percent risk weight to the loan, or in the case where an existing owner is refinancing a loan on the property, all principal and interest payments on the loan being refinanced must have been made on a timely basis in accordance with the terms of the loan for at least one year prior to applying a 50 percent risk weight to the loan;
(4) Amortization of principal and interest on the loan must occur over a period of not more than 30 years and the minimum original maturity for repayment of principal must not be less than 7 years;
(5) Annual net operating income (before making any payment on the loan) generated by the property securing the loan during its most recent fiscal year must not be less than 120 percent of the loan's current annual debt service (or 115 percent of current annual debt service if the loan is based on an interest rate that changes over the term of the loan) or, in the case of a cooperative or other not-for-profit housing project, the property must generate sufficient cash flow to provide comparable protection to the FDIC-supervised institution; and
(6) The loan is not more than 90 days past due, or on nonaccrual.
Sub-speculative grade means the reference entity depends on favorable economic conditions to meet its financial commitments, such that should such economic conditions deteriorate the reference entity likely would default on its financial commitments.
Subsidiary means, with respect to a company, a company controlled by that company.
Synthetic exposure means an exposure whose value is linked to the value of an investment in the FDIC-supervised institution's own capital instrument or to the value of an investment in the capital of an unconsolidated financial institution. For an advanced approaches FDIC-supervised institution, synthetic exposure includes an exposure whose value is linked to the value of an investment in a covered debt instrument.
Synthetic securitization means a transaction in which:
(1) All or a portion of the credit risk of one or more underlying exposures is retained or transferred to one or more third parties through the use of one or more credit derivatives or guarantees (other than a guarantee that transfers only the credit risk of an individual retail exposure);
(2) The credit risk associated with the underlying exposures has been separated into at least two tranches reflecting different levels of seniority;
(3) Performance of the securitization exposures depends upon the performance of the underlying exposures; and
(4) All or substantially all of the underlying exposures are financial exposures (such as loans, commitments, credit derivatives, guarantees, receivables, asset-backed securities, mortgage-backed securities, other debt securities, or equity securities).
Tangible capital means the amount of core capital (Tier 1 capital), as defined in accordance with § 324.2, plus the amount of outstanding perpetual preferred stock (including related surplus) not included in Tier 1 capital.
Tangible equity means the amount of Tier 1 capital, as calculated in accordance with § 324.2, plus the amount of outstanding perpetual preferred stock (including related surplus) not included in Tier 1 capital.
Tier 1 capital means the sum of common equity tier 1 capital and additional tier 1 capital.
Tier 1 minority interest means the tier 1 capital of a consolidated subsidiary of an FDIC-supervised institution that is not owned by the FDIC-supervised institution.
Tier 2 capital is defined in § 324.20(d).
Total capital means the sum of tier 1 capital and tier 2 capital.
Total capital minority interest means the total capital of a consolidated subsidiary of an FDIC-supervised institution that is not owned by the FDIC-supervised institution.
Total leverage exposure is defined in § 324.10(c)(2).
Traditional securitization means a transaction in which:
(1) All or a portion of the credit risk of one or more underlying exposures is transferred to one or more third parties other than through the use of credit derivatives or guarantees;
(2) The credit risk associated with the underlying exposures has been separated into at least two tranches reflecting different levels of seniority;
(3) Performance of the securitization exposures depends upon the performance of the underlying exposures;
(4) All or substantially all of the underlying exposures are financial exposures (such as loans, commitments, credit derivatives, guarantees, receivables, asset-backed securities, mortgage-backed securities, other debt securities, or equity securities);
(5) The underlying exposures are not owned by an operating company;
(6) The underlying exposures are not owned by a small business investment company defined in section 302 of the Small Business Investment Act;
(7) The underlying exposures are not owned by a firm an investment in which qualifies as a community development investment under section 24 (Eleventh) of the National Bank Act;
(8) The FDIC may determine that a transaction in which the underlying exposures are owned by an investment firm that exercises substantially unfettered control over the size and composition of its assets, liabilities, and off-balance sheet exposures is not a traditional securitization based on the transaction's leverage, risk profile, or economic substance;
(9) The FDIC may deem a transaction that meets the definition of a traditional securitization, notwithstanding paragraph (5), (6), or (7) of this definition, to be a traditional securitization based on the transaction's leverage, risk profile, or economic substance; and
(10) The transaction is not:
(i) An investment fund;
(ii) A collective investment fund (as defined in 12 CFR 344.3 (state nonmember bank), and 12 CFR 390.203 (state savings association);
(iii) An employee benefit plan (as defined in paragraphs (3) and (32) of section 3 of ERISA), a “governmental plan” (as defined in 29 U.S.C. 1002(32)) that complies with the tax deferral qualification requirements provided in the Internal Revenue Code, or any similar employee benefit plan established under the laws of a foreign jurisdiction;
(iv) A synthetic exposure to the capital of a financial institution to the extent deducted from capital under § 324.22; or
(v) Registered with the SEC under the Investment Company Act or foreign equivalents thereof.
Tranche means all securitization exposures associated with a securitization that have the same seniority level.
Two-way market means a market where there are independent bona fide offers to buy and sell so that a price reasonably related to the last sales price or current bona fide competitive bid and offer quotations can be determined within one day and settled at that price within a relatively short time frame conforming to trade custom.
Unconditionally cancelable means with respect to a commitment, that an FDIC-supervised institution may, at any time, with or without cause, refuse to extend credit under the commitment (to the extent permitted under applicable law).
Underlying exposures means one or more exposures that have been securitized in a securitization transaction.
Unregulated financial institution means, for purposes of § 324.131, a financial institution that is not a regulated financial institution, including any financial institution that would meet the definition of “financial institution” under this section but for the ownership interest thresholds set forth in paragraph (4)(i) of that definition.
U.S. Government agency means an instrumentality of the U.S. Government whose obligations are fully and explicitly guaranteed as to the timely payment of principal and interest by the full faith and credit of the U.S. Government.
Value-at-Risk (VaR) means the estimate of the maximum amount that the value of one or more exposures could decline due to market price or rate movements during a fixed holding period within a stated confidence interval.
Variation margin means financial collateral that is subject to a collateral agreement provided by one party to its counterparty to meet the performance of the first party's obligations under one or more transactions between the parties as a result of a change in value of such obligations since the last time such financial collateral was provided.
Variation margin agreement means an agreement to collect or post variation margin.
Variation margin amount means the fair value amount of the variation margin, as adjusted by the standard supervisory haircuts under § 324.132(b)(2)(ii), as applicable, that a counterparty to a netting set has posted to a FDIC-supervised institution less the fair value amount of the variation margin, as adjusted by the standard supervisory haircuts under § 324.132(b)(2)(ii), as applicable, posted by the FDIC-supervised institution to the counterparty.
Variation margin threshold means the amount of credit exposure of a FDIC-supervised institution to its counterparty that, if exceeded, would require the counterparty to post variation margin to the FDIC-supervised institution pursuant to the variation margin agreement.
Volatility derivative contract means a derivative contract in which the payoff of the derivative contract explicitly depends on a measure of the volatility of an underlying risk factor to the derivative contract.
Wrong-way risk means the risk that arises when an exposure to a particular counterparty is positively correlated with the probability of default of such counterparty itself.
[78 FR 55471, Sept. 10, 2013, as amended at 79 FR 20758, Apr. 14, 2014; 79 FR 44124, July 30, 2014; 79 FR 57748, Sept. 26, 2014; 80 FR 41422, July 15, 2015; 81 FR 71354, Oct. 17, 2016; 82 FR 50260, Oct. 30, 2017; 84 FR 4246, Feb. 14, 2019; 84 FR 35270, July 22, 2019; 84 FR 59277, Nov. 1, 2019; 84 FR 68033, Dec. 13, 2019; 85 FR 4429, Jan. 24, 2020; 85 FR 4578, Jan. 27, 2020; 85 FR 20393, Apr. 13, 2020; 86 FR 739, Jan. 6, 2021]
[3] For the standardized approach treatment of these exposures, see § 324.34(e) (OTC derivative contracts) or § 324.37(c) (repo-style transactions). For the advanced approaches treatment of these exposures, see § 324.132(c)(8) and (d) (OTC derivative contracts) or § 324.132(b) and 324.132(d) (repo-style transactions) and for calculation of the margin period of risk, see § 324.132(d)(5)(iii)(C) (OTC derivative contracts) and § 324.132(d)(5)(iii)(A) (repo-style transactions).
[4] The FDIC expects to evaluate jointly with the Federal Reserve and the OCC whether foreign special resolution regimes meet the requirements of this paragraph.
[5] This requirement is met where all transactions under the agreement are (i) executed under U.S. law and (ii) constitute “securities contracts” under section 555 of the Bankruptcy Code (11 U.S.C. 555), qualified financial contracts under section 11(e)(8) of the Federal Deposit Insurance Act, or netting contracts between or among financial institutions under sections 401-407 of the Federal Deposit Insurance Corporation Improvement Act or the Federal Reserve Board's Regulation EE (12 CFR part 231).
[6] The FDIC expects to evaluate jointly with the Federal Reserve and the OCC whether foreign special resolution regimes meet the requirements of this paragraph.
[7] The FDIC expects to evaluate jointly with the Federal Reserve and the OCC whether foreign special resolution regimes meet the requirements of this paragraph.
[8] The FDIC expects to evaluate jointly with the Federal Reserve and the OCC whether foreign special resolution regimes meet the requirements of this paragraph.
[9] The types of loans that qualify as loans secured by multifamily residential properties are listed in the instructions for preparation of the Call Report.
For purposes of calculating risk-weighted assets under subparts D and E of this part:
(a) Cleared transaction. In order to recognize certain exposures as cleared transactions pursuant to paragraphs (1)(ii), (iii), or (iv) of the definition of “cleared transaction” in § 324.2, the exposures must meet the applicable requirements set forth in this paragraph (a).
(1) The offsetting transaction must be identified by the CCP as a transaction for the clearing member client.
(2) The collateral supporting the transaction must be held in a manner that prevents the FDIC-supervised institution from facing any loss due to an event of default, including from a liquidation, receivership, insolvency, or similar proceeding of either the clearing member or the clearing member's other clients. Omnibus accounts established under 17 CFR parts 190 and 300 satisfy the requirements of this paragraph (a).
(3) The FDIC-supervised institution must conduct sufficient legal review to conclude with a well-founded basis (and maintain sufficient written documentation of that legal review) that in the event of a legal challenge (including one resulting from a default or receivership, insolvency, liquidation, or similar proceeding) the relevant court and administrative authorities would find the arrangements of paragraph (a)(2) of this section to be legal, valid, binding and enforceable under the law of the relevant jurisdictions.
(4) The offsetting transaction with a clearing member must be transferable under the transaction documents and applicable laws in the relevant jurisdiction(s) to another clearing member should the clearing member default, become insolvent, or enter receivership, insolvency, liquidation, or similar proceedings.
(b) Eligible margin loan. In order to recognize an exposure as an eligible margin loan as defined in § 324.2, an FDIC-supervised institution must conduct sufficient legal review to conclude with a well-founded basis (and maintain sufficient written documentation of that legal review) that the agreement underlying the exposure:
(1) Meets the requirements of paragraph (1)(iii) of the definition of eligible margin loan in § 324.2, and
(2) Is legal, valid, binding, and enforceable under applicable law in the relevant jurisdictions.
(c) Qualifying cross-product master netting agreement. In order to recognize an agreement as a qualifying cross-product master netting agreement as defined in § 324.101, an FDIC-supervised institution must obtain a written legal opinion verifying the validity and enforceability of the agreement under applicable law of the relevant jurisdictions if the counterparty fails to perform upon an event of default, including upon receivership, insolvency, liquidation, or similar proceeding.
(d) Qualifying master netting agreement. In order to recognize an agreement as a qualifying master netting agreement as defined in § 324.2, an FDIC-supervised institution must:
(1) Conduct sufficient legal review to conclude with a well-founded basis (and maintain sufficient written documentation of that legal review) that:
(i) The agreement meets the requirements of paragraph (2) of the definition of qualifying master netting agreement in § 324.2; and
(ii) In the event of a legal challenge (including one resulting from default or from receivership, insolvency, liquidation, or similar proceeding) the relevant court and administrative authorities would find the agreement to be legal, valid, binding, and enforceable under the law of the relevant jurisdictions; and
(2) Establish and maintain written procedures to monitor possible changes in relevant law and to ensure that the agreement continues to satisfy the requirements of the definition of qualifying master netting agreement in § 324.2.
(e) Repo-style transaction. In order to recognize an exposure as a repo-style transaction as defined in § 324.2, an FDIC-supervised institution must conduct sufficient legal review to conclude with a well-founded basis (and maintain sufficient written documentation of that legal review) that the agreement underlying the exposure:
(1) Meets the requirements of paragraph (3) of the definition of repo-style transaction in § 324.2, and
(2) Is legal, valid, binding, and enforceable under applicable law in the relevant jurisdictions.
(f) Failure of a QCCP to satisfy the rule's requirements. If an FDIC-supervised institution determines that a CCP ceases to be a QCCP due to the failure of the CCP to satisfy one or more of the requirements set forth in paragraphs (2)(i) through (2)(iii) of the definition of a QCCP in § 324.2, the FDIC-supervised institution may continue to treat the CCP as a QCCP for up to three months following the determination. If the CCP fails to remedy the relevant deficiency within three months after the initial determination, or the CCP fails to satisfy the requirements set forth in paragraphs (2)(i) through (2)(iii) of the definition of a QCCP continuously for a three-month period after remedying the relevant deficiency, an FDIC-supervised institution may not treat the CCP as a QCCP for the purposes of this part until after the FDIC-supervised institution has determined that the CCP has satisfied the requirements in paragraphs (2)(i) through (2)(iii) of the definition of a QCCP for three continuous months.
[78 FR 55471, Sept. 10, 2013, as amended at 79 FR 20758, Apr. 14, 2014]
(a) General. As a condition of Federal deposit insurance, all insured depository institutions must remain in a safe and sound condition.
(b) Unsafe or unsound practice. Any insured depository institution which has less than its minimum leverage capital requirement is deemed to be engaged in an unsafe or unsound practice pursuant to section 8(b)(1) and/or 8(c) of the Federal Deposit Insurance Act (12 U.S.C. 1818(b)(1) and/or 1818(c)). Except that such an insured depository institution which has entered into and is in compliance with a written agreement with the FDIC or has submitted to the FDIC and is in compliance with a plan approved by the FDIC to increase its leverage capital ratio to such level as the FDIC deems appropriate and to take such other action as may be necessary for the insured depository institution to be operated so as not to be engaged in such an unsafe or unsound practice will not be deemed to be engaged in an unsafe or unsound practice pursuant to section 8(b)(1) and/or 8(c) of the Federal Deposit Insurance Act (12 U.S.C. 1818(b)(1) and/or 1818(c)) on account of its capital ratios. The FDIC is not precluded from taking action under section 8(b)(1), section 8(c) or any other enforcement action against an insured depository institution with capital above the minimum requirement if the specific circumstances deem such action to be appropriate.
(c) Unsafe or unsound condition. Any insured depository institution with a ratio of tier 1 capital to total assets[10] that is less than two percent is deemed to be operating in an unsafe or unsound condition pursuant to section 8(a) of the Federal Deposit Insurance Act (12 U.S.C. 1818(a)).
(1) An insured depository institution with a ratio of tier 1 capital to total assets of less than two percent which has entered into and is in compliance with a written agreement with the FDIC (or any other insured depository institution with a ratio of tier 1 capital to total assets of less than two percent which has entered into and is in compliance with a written agreement with its primary Federal regulator and to which agreement the FDIC is a party) to increase its tier 1 leverage capital ratio to such level as the FDIC deems appropriate and to take such other action as may be necessary for the insured depository institution to be operated in a safe and sound manner, will not be subject to a proceeding by the FDIC pursuant to 12 U.S.C. 1818(a) on account of its capital ratios.
(2) An insured depository institution with a ratio of tier 1 capital to total assets that is equal to or greater than two percent may be operating in an unsafe or unsound condition. The FDIC is not precluded from bringing an action pursuant to 12 U.S.C. 1818(a) where an insured depository institution has a ratio of tier 1 capital to total assets that is equal to or greater than two percent.
[78 FR 55471, Sept. 10, 2013, as amended at 81 FR 71354, Oct. 17, 2016]
[10] For purposes of this paragraph (c), until January 1, 2015, the term total assets shall have the same meaning as provided in 12 CFR 325.2(x). As of January 1, 2015, the term total assets shall have the same meaning as provided in 12 CFR 324.401(g).
(a) General. A directive is a final order issued to an FDIC-supervised institution that fails to maintain capital at or above the minimum leverage capital requirement as set forth in §§ 324.4 and 324.10. A directive issued pursuant to this section, including a plan submitted under a directive, is enforceable in the same manner and to the same extent as a final cease-and-desist order issued under section 8(b) of the Federal Deposit Insurance Act (12 U.S.C. 1818(b)).
(b) Issuance of directives. If an FDIC-supervised institution is operating with less than the minimum leverage capital requirement established by this regulation, the FDIC Board of Directors, or its designee(s), may issue and serve upon any FDIC-supervised institution a directive requiring the FDIC-supervised institution to restore its capital to the minimum leverage capital requirement within a specified time period. The directive may require the FDIC-supervised institution to submit to the appropriate FDIC regional director, or other specified official, for review and approval, a plan describing the means and timing by which the FDIC-supervised institution shall achieve the minimum leverage capital requirement. After the FDIC has approved the plan, the FDIC-supervised institution may be required under the terms of the directive to adhere to and monitor compliance with the plan. The directive may be issued during the course of an examination of the FDIC-supervised institution, or at any other time that the FDIC deems appropriate, if the FDIC-supervised institution is found to be operating with less than the minimum leverage capital requirement.
(c) Notice and opportunity to respond to issuance of a directive.
(1) If the FDIC makes an initial determination that a directive should be issued to an FDIC-supervised institution pursuant to paragraph (b) of this section, the FDIC, through the appropriate designated official(s), shall serve written notification upon the FDIC-supervised institution of its intent to issue a directive. The notice shall include the current leverage capital ratio, the basis upon which said ratio was calculated, the proposed capital injection, the proposed date for achieving the minimum leverage capital requirement and any other relevant information concerning the decision to issue a directive. When deemed appropriate, specific requirements of a proposed plan for meeting the minimum leverage capital requirement may be included in the notice.
(2) Within 14 days of receipt of notification, the FDIC-supervised institution may file with the appropriate designated FDIC official(s) a written response, explaining why the directive should not be issued, seeking modification of its terms, or other appropriate relief. The FDIC-supervised institution's response shall include any information, mitigating circumstances, documentation, or other relevant evidence which supports its position, and may include a plan for attaining the minimum leverage capital requirement.
(3)
(i) After considering the FDIC-supervised institution's response, the appropriate designated FDIC official(s) shall serve upon the FDIC-supervised institution a written determination addressing the FDIC-supervised institution's response and setting forth the FDIC's findings and conclusions in support of any decision to issue or not to issue a directive. The directive may be issued as originally proposed or in modified form. The directive may order the FDIC-supervised institution to:
(A) Achieve the minimum leverage capital requirement established by this regulation by a certain date;
(B) Submit for approval and adhere to a plan for achieving the minimum leverage capital requirement;
(C) Take other action as is necessary to achieve the minimum leverage capital requirement; or
(D) A combination of the above actions.
(ii) If a directive is to be issued, it may be served upon the FDIC-supervised institution along with the final determination.
(4) Any FDIC-supervised institution, upon a change in circumstances, may request the FDIC to reconsider the terms of a directive and may propose changes in the plan under which it is operating to meet the minimum leverage capital requirement. The directive and plan continue in effect while such request is pending before the FDIC.
(5) All papers filed with the FDIC must be postmarked or received by the appropriate designated FDIC official(s) within the prescribed time limit for filing.
(6) Failure by the FDIC-supervised institution to file a written response to notification of intent to issue a directive within the specified time period shall constitute consent to the issuance of such directive.
(d) Enforcement of a directive.
(1) Whenever an FDIC-supervised institution fails to follow the directive or to submit or adhere to its capital adequacy plan, the FDIC may seek enforcement of the directive in the appropriate United States district court, pursuant to 12 U.S.C. 3907(b)(2)(B)(ii), in the same manner and to the same extent as if the directive were a final cease-and-desist order. In addition to enforcement of the directive, the FDIC may seek assessment of civil money penalties for violation of the directive against any FDIC-supervised institution, any officer, director, employee, agent, or other person participating in the conduct of the affairs of the FDIC-supervised institution, pursuant to 12 U.S.C. 3909(d).
(2) The directive may be issued separately, in conjunction with, or in addition to, any other enforcement mechanisms available to the FDIC, including cease-and-desist orders, orders of correction, the approval or denial of applications, or any other actions authorized by law. In addition to addressing an FDIC-supervised institution's minimum leverage capital requirement, the capital directive may also address minimum risk-based capital requirements that are to be maintained and calculated in accordance with § 324.10, and, for state savings associations, the minimum tangible capital requirements set for in § 324.10.
(a) Minimum capital requirements.
(1) An FDIC-supervised institution must maintain the following minimum capital ratios:
(i) A common equity tier 1 capital ratio of 4.5 percent.
(ii) A tier 1 capital ratio of 6 percent.
(iii) A total capital ratio of 8 percent.
(iv) A leverage ratio of 4 percent.
(v) For advanced approaches FDIC-supervised institutions or for Category III FDIC-regulated institutions, a supplementary leverage ratio of 3 percent.
(vi) For state savings associations, a tangible capital ratio of 1.5 percent.
(2) A qualifying community banking organization (as defined in § 324.12), that is subject to the community bank leverage ratio framework (as defined in § 324.12), is considered to have met the minimum capital requirements in this paragraph (a).
(b) Standardized capital ratio calculations. Other than as provided in paragraph (c) of this section:
(1) Common equity tier 1 capital ratio. An FDIC-supervised institution's common equity tier 1 capital ratio is the ratio of the FDIC-supervised institution's common equity tier 1 capital to standardized total risk-weighted assets;
(2) Tier 1 capital ratio. An FDIC-supervised institution's tier 1 capital ratio is the ratio of the FDIC-supervised institution's tier 1 capital to standardized total risk-weighted assets;
(3) Total capital ratio. An FDIC-supervised institution's total capital ratio is the ratio of the FDIC-supervised institution's total capital to standardized total risk-weighted assets; and
(4) Leverage ratio. An FDIC-supervised institution's leverage ratio is the ratio of the FDIC-supervised institution's tier 1 capital to the FDIC-supervised institution's average total consolidated assets as reported on the FDIC-supervised institution's Call Report minus amounts deducted from tier 1 capital under § 324.22(a), (c), and (d).
(5) State savings association tangible capital ratio.
(i) Until January 1, 2015, a state savings association shall determine its tangible capital ratio in accordance with 12 CFR 390.468.
(ii) As of January 1, 2015, a state savings association's tangible capital ratio is the ratio of the state savings association's core capital (tier 1 capital) to total assets. For purposes of this paragraph, the term total assets shall have the meaning provided in § 324.401(g).
(c) Supplementary leverage ratio.
(1) A Category III FDIC-supervised institution or advanced approaches FDIC-supervised institution must determine its supplementary leverage ratio in accordance with this paragraph, beginning with the calendar quarter immediately following the quarter in which the FDIC-supervised institution is identified as a Category III FDIC-supervised institution. An advanced approaches FDIC-supervised institution's or a Category III FDIC-supervised institution's supplementary leverage ratio is the ratio of its tier 1 capital to total leverage exposure, the latter of which is calculated as the sum of:
(i) The mean of the on-balance sheet assets calculated as of each day of the reporting quarter; and
(ii) The mean of the off-balance sheet exposures calculated as of the last day of each of the most recent three months, minus the applicable deductions under § 324.22(a), (c), and (d).
(2) For purposes of this part, total leverage exposure means the sum of the items described in paragraphs (c)(2)(i) through (viii) of this section, as adjusted pursuant to paragraph (c)(2)(ix) of this section for a clearing member FDIC-supervised institution and paragraph (c)(2)(x) of this section for a custody bank:
(i) The balance sheet carrying value of all of the FDIC-supervised institution's on-balance sheet assets, plus the value of securities sold under a repurchase transaction or a securities lending transaction that qualifies for sales treatment under GAAP, less amounts deducted from tier 1 capital under § 324.22(a), (c), and (d), and less the value of securities received in security-for-security repo-style transactions, where the FDIC-supervised institution acts as a securities lender and includes the securities received in its on-balance sheet assets but has not sold or re-hypothecated the securities received, and, for an FDIC-supervised institution that uses the standardized approach for counterparty credit risk under § 324.132(c) for its standardized risk-weighted assets, less the fair value of any derivative contracts;
(ii)
(A) For an FDIC-supervised institution that uses the current exposure methodology under § 324.34(b) for its standardized risk-weighted assets, the potential future credit exposure (PFE) for each derivative contract or each single-product netting set of derivative contracts (including a cleared transaction except as provided in paragraph (c)(2)(ix) of this section and, at the discretion of the FDIC-supervised institution, excluding a forward agreement treated as a derivative contract that is part of a repurchase or reverse repurchase or a securities borrowing or lending transaction that qualifies for sales treatment under GAAP), to which the FDIC-supervised institution is a counterparty as determined under § 324.34, but without regard to § 324.34(c), provided that:
(1) An FDIC-supervised institution may choose to exclude the PFE of all credit derivatives or other similar instruments through which it provides credit protection when calculating the PFE under § 324.34, but without regard to § 324.34(c), provided that it does not adjust the net-to-gross ratio (NGR); and
(2) An FDIC-supervised institution that chooses to exclude the PFE of credit derivatives or other similar instruments through which it provides credit protection pursuant to this paragraph (c)(2)(ii)(A) must do so consistently over time for the calculation of the PFE for all such instruments; or
(B)
(1) For an FDIC-supervised institution that uses the standardized approach for counterparty credit risk under section § 324.132(c) for its standardized risk-weighted assets, the PFE for each netting set to which the FDIC-supervised institution is a counterparty (including cleared transactions except as provided in paragraph (c)(2)(ix) of this section and, at the discretion of the FDIC-supervised institution, excluding a forward agreement treated as a derivative contract that is part of a repurchase or reverse repurchase or a securities borrowing or lending transaction that qualifies for sales treatment under GAAP), as determined under § 324.132(c)(7), in which the term C in § 324.132(c)(7)(i) equals zero, and, for any counterparty that is not a commercial end-user, multiplied by 1.4. For purposes of this paragraph (c)(2)(ii)(B)(1), an FDIC-supervised institution may set the value of the term C in § 324.132(c)(7)(i) equal to the amount of collateral posted by a clearing member client of the FDIC-supervised institution in connection with the client-facing derivative transactions within the netting set; and
(2) An FDIC-supervised institution may choose to exclude the PFE of all credit derivatives or other similar instruments through which it provides credit protection when calculating the PFE under § 324.132(c), provided that it does so consistently over time for the calculation of the PFE for all such instruments;
(iii)
(A)
(1) For an FDIC-supervised institution that uses the current exposure methodology under § 324.34(b) for its standardized risk-weighted assets, the amount of cash collateral that is received from a counterparty to a derivative contract and that has offset the mark-to-fair value of the derivative asset, or cash collateral that is posted to a counterparty to a derivative contract and that has reduced the FDIC-supervised institution's on-balance sheet assets, unless such cash collateral is all or part of variation margin that satisfies the conditions in paragraphs (c)(2)(iii)(C) through (G) of this section; and
(2) The variation margin is used to reduce the current credit exposure of the derivative contract, calculated as described in § 324.34(b), and not the PFE; and
(3) For the purpose of the calculation of the NGR described in § 324.34(b)(2)(ii)(B), variation margin described in paragraph (c)(2)(iii)(A)(2) of this section may not reduce the net current credit exposure or the gross current credit exposure; or
(B)
(1) For an FDIC-supervised institution that uses the standardized approach for counterparty credit risk under § 324.132(c) for its standardized risk-weighted assets, the replacement cost of each derivative contract or single product netting set of derivative contracts to which the FDIC-supervised institution is a counterparty, calculated according to the following formula, and, for any counterparty that is not a commercial end-user, multiplied by 1.4:
Replacement Cost = max{V−CVMr + CVMp; 0}
Where:
V equals the fair value for each derivative contract or each single-product netting set of derivative contracts (including a cleared transaction except as provided in paragraph (c)(2)(ix) of this section and, at the discretion of the FDIC-supervised institution, excluding a forward agreement treated as a derivative contract that is part of a repurchase or reverse repurchase or a securities borrowing or lending transaction that qualifies for sales treatment under GAAP);
CVMr equals the amount of cash collateral received from a counterparty to a derivative contract and that satisfies the conditions in paragraphs (c)(2)(iii)(C) through (G) of this section, or, in the case of a client-facing derivative transaction on behalf of a clearing member client, the amount of collateral received from the clearing member client; and
CVMp equals the amount of cash collateral that is posted to a counterparty to a derivative contract and that has not offset the fair value of the derivative contract and that satisfies the conditions in paragraphs (c)(2)(iii)(C) through (G) of this section, or, in the case of a client-facing derivative transaction on behalf of a clearing member client, the amount of collateral posted to the clearing member client;
(2) Notwithstanding paragraph (c)(2)(iii)(B)(1) of this section, where multiple netting sets are subject to a single variation margin agreement, an FDIC-supervised institution must apply the formula for replacement cost provided in § 324.132(c)(10)(i), in which the term CMA may only include cash collateral that satisfies the conditions in paragraphs (c)(2)(iii)(C) through (G) of this section; and
(3) For purposes of paragraph (c)(2)(iii)(B)(1), an FDIC-supervised institution must treat a derivative contract that references an index as if it were multiple derivative contracts each referencing one component of the index if the FDIC-supervised institution elected to treat the derivative contract as multiple derivative contracts under § 324.132(c)(5)(vi);
(C) For derivative contracts that are not cleared through a QCCP, the cash collateral received by the recipient counterparty is not segregated (by law, regulation, or an agreement with the counterparty);
(D) Variation margin is calculated and transferred on a daily basis based on the mark-to-fair value of the derivative contract;
(E) The variation margin transferred under the derivative contract or the governing rules of the CCP or QCCP for a cleared transaction is the full amount that is necessary to fully extinguish the net current credit exposure to the counterparty of the derivative contracts, subject to the threshold and minimum transfer amounts applicable to the counterparty under the terms of the derivative contract or the governing rules for a cleared transaction;
(F) The variation margin is in the form of cash in the same currency as the currency of settlement set forth in the derivative contract, provided that for the purposes of this paragraph (c)(2)(iii)(F), currency of settlement means any currency for settlement specified in the governing qualifying master netting agreement and the credit support annex to the qualifying master netting agreement, or in the governing rules for a cleared transaction; and
(G) The derivative contract and the variation margin are governed by a qualifying master netting agreement between the legal entities that are the counterparties to the derivative contract or by the governing rules for a cleared transaction, and the qualifying master netting agreement or the governing rules for a cleared transaction must explicitly stipulate that the counterparties agree to settle any payment obligations on a net basis, taking into account any variation margin received or provided under the contract if a credit event involving either counterparty occurs;
(iv) The effective notional principal amount (that is, the apparent or stated notional principal amount multiplied by any multiplier in the derivative contract) of a credit derivative, or other similar instrument, through which the FDIC-supervised institution provides credit protection, provided that:
(A) The FDIC-supervised institution may reduce the effective notional principal amount of the credit derivative by the amount of any reduction in the mark-to-fair value of the credit derivative if the reduction is recognized in common equity tier 1 capital;
(B) The FDIC-supervised institution may reduce the effective notional principal amount of the credit derivative by the effective notional principal amount of a purchased credit derivative or other similar instrument, provided that the remaining maturity of the purchased credit derivative is equal to or greater than the remaining maturity of the credit derivative through which the FDIC-supervised institution provides credit protection and that:
(1) With respect to a credit derivative that references a single exposure, the reference exposure of the purchased credit derivative is to the same legal entity and ranks pari passu with, or is junior to, the reference exposure of the credit derivative through which the FDIC-supervised institution provides credit protection; or
(2) With respect to a credit derivative that references multiple exposures, the reference exposures of the purchased credit derivative are to the same legal entities and rank pari passu with the reference exposures of the credit derivative through which the FDIC-supervised institution provides credit protection, and the level of seniority of the purchased credit derivative ranks pari passu to the level of seniority of the credit derivative through which the FDIC-supervised institution provides credit protection;
(3) Where an FDIC-supervised institution has reduced the effective notional amount of a credit derivative through which the FDIC-supervised institution provides credit protection in accordance with paragraph (c)(2)(iv)(A) of this section, the FDIC-supervised institution must also reduce the effective notional principal amount of a purchased credit derivative used to offset the credit derivative through which the FDIC-supervised institution provides credit protection, by the amount of any increase in the mark-to-fair value of the purchased credit derivative that is recognized in common equity tier 1 capital; and
(4) Where the FDIC-supervised institution purchases credit protection through a total return swap and records the net payments received on a credit derivative through which the FDIC-supervised institution provides credit protection in net income, but does not record offsetting deterioration in the mark-to-fair value of the credit derivative through which the FDIC-supervised institution provides credit protection in net income (either through reductions in fair value or by additions to reserves), the FDIC-supervised institution may not use the purchased credit protection to offset the effective notional principal amount of the related credit derivative through which the FDIC-supervised institution provides credit protection;
(v) Where an FDIC-supervised institution acting as a principal has more than one repo-style transaction with the same counterparty and has offset the gross value of receivables due from a counterparty under reverse repurchase transactions by the gross value of payables under repurchase transactions due to the same counterparty, the gross value of receivables associated with the repo-style transactions less any on-balance sheet receivables amount associated with these repo-style transactions included under paragraph (c)(2)(i) of this section, unless the following criteria are met:
(A) The offsetting transactions have the same explicit final settlement date under their governing agreements;
(B) The right to offset the amount owed to the counterparty with the amount owed by the counterparty is legally enforceable in the normal course of business and in the event of receivership, insolvency, liquidation, or similar proceeding; and
(C) Under the governing agreements, the counterparties intend to settle net, settle simultaneously, or settle according to a process that is the functional equivalent of net settlement, (that is, the cash flows of the transactions are equivalent, in effect, to a single net amount on the settlement date), where both transactions are settled through the same settlement system, the settlement arrangements are supported by cash or intraday credit facilities intended to ensure that settlement of both transactions will occur by the end of the business day, and the settlement of the underlying securities does not interfere with the net cash settlement;
(vi) The counterparty credit risk of a repo-style transaction, including where the FDIC-supervised institution acts as an agent for a repo-style transaction and indemnifies the customer with respect to the performance of the customer's counterparty in an amount limited to the difference between the fair value of the security or cash its customer has lent and the fair value of the collateral the borrower has provided, calculated as follows:
(A) If the transaction is not subject to a qualifying master netting agreement, the counterparty credit risk (E*) for transactions with a counterparty must be calculated on a transaction by transaction basis, such that each transaction i is treated as its own netting set, in accordance with the following formula, where Ei is the fair value of the instruments, gold, or cash that the FDIC-supervised institution has lent, sold subject to repurchase, or provided as collateral to the counterparty, and Ci is the fair value of the instruments, gold, or cash that the FDIC-supervised institution has borrowed, purchased subject to resale, or received as collateral from the counterparty:
Ei* = max {0, [Ei − Ci]}; and
(B) If the transaction is subject to a qualifying master netting agreement, the counterparty credit risk (E*) must be calculated as the greater of zero and the total fair value of the instruments, gold, or cash that the FDIC-supervised institution has lent, sold subject to repurchase or provided as collateral to a counterparty for all transactions included in the qualifying master netting agreement (ΣEi), less the total fair value of the instruments, gold, or cash that the FDIC-supervised institution borrowed, purchased subject to resale or received as collateral from the counterparty for those transactions (ΣCi), in accordance with the following formula:
E* = max {0, [ΣEi − ΣCi]}
(vii) If an FDIC-supervised institution acting as an agent for a repo-style transaction provides a guarantee to a customer of the security or cash its customer has lent or borrowed with respect to the performance of the customer's counterparty and the guarantee is not limited to the difference between the fair value of the security or cash its customer has lent and the fair value of the collateral the borrower has provided, the amount of the guarantee that is greater than the difference between the fair value of the security or cash its customer has lent and the value of the collateral the borrower has provided;
(viii) The credit equivalent amount of all off-balance sheet exposures of the FDIC-supervised institution, excluding repo-style transactions, repurchase or reverse repurchase or securities borrowing or lending transactions that qualify for sales treatment under GAAP, and derivative transactions, determined using the applicable credit conversion factor under § 324.33(b), provided, however, that the minimum credit conversion factor that may be assigned to an off-balance sheet exposure under this paragraph is 10 percent; and
(ix) For an FDIC-supervised institution that is a clearing member:
(A) A clearing member FDIC-supervised institution that guarantees the performance of a clearing member client with respect to a cleared transaction must treat its exposure to the clearing member client as a derivative contract for purposes of determining its total leverage exposure;
(B) A clearing member FDIC-supervised institution that guarantees the performance of a CCP with respect to a transaction cleared on behalf of a clearing member client must treat its exposure to the CCP as a derivative contract for purposes of determining its total leverage exposure;
(C) A clearing member FDIC-supervised institution that does not guarantee the performance of a CCP with respect to a transaction cleared on behalf of a clearing member client may exclude its exposure to the CCP for purposes of determining its total leverage exposure;
(D) An FDIC-supervised institution that is a clearing member may exclude from its total leverage exposure the effective notional principal amount of credit protection sold through a credit derivative contract, or other similar instrument, that it clears on behalf of a clearing member client through a CCP as calculated in accordance with paragraph (c)(2)(iv) of this section; and
(E) Notwithstanding paragraphs (c)(2)(ix)(A) through (C) of this section, an FDIC-supervised institution may exclude from its total leverage exposure a clearing member's exposure to a clearing member client for a derivative contract, if the clearing member client and the clearing member are affiliates and consolidated for financial reporting purposes on the FDIC-supervised institution's balance sheet.
(x) A custody bank shall exclude from its total leverage exposure the lesser of:
(A) The amount of funds that the custody bank has on deposit at a qualifying central bank; and
(B) The amount of funds in deposit accounts at the custody bank that are linked to fiduciary or custodial and safekeeping accounts at the custody bank. For purposes of this paragraph (c)(2)(x), a deposit account is linked to a fiduciary or custodial and safekeeping account if the deposit account is provided to a client that maintains a fiduciary or custodial and safekeeping account with the custody bank, and the deposit account is used to facilitate the administration of the fiduciary or custodial and safekeeping account.
(d) Advanced approaches capital ratio calculations. An advanced approaches FDIC-supervised institution that has completed the parallel run process and received notification from the FDIC pursuant to § 324.121(d) must determine its regulatory capital ratios as described in paragraphs (d)(1) through (3) of this section.
(1) Common equity tier 1 capital ratio. The FDIC-supervised institution's common equity tier 1 capital ratio is the lower of:
(i) The ratio of the FDIC-supervised institution's common equity tier 1 capital to standardized total risk-weighted assets; and
(ii) The ratio of the FDIC-supervised institution's common equity tier 1 capital to advanced approaches total risk-weighted assets.
(2) Tier 1 capital ratio. The FDIC-supervised institution's tier 1 capital ratio is the lower of:
(i) The ratio of the FDIC-supervised institution's tier 1 capital to standardized total risk-weighted assets; and
(ii) The ratio of the FDIC-supervised institution's tier 1 capital to advanced approaches total risk-weighted assets.
(3) Total capital ratio. The FDIC-supervised institution's total capital ratio is the lower of:
(i) The ratio of the FDIC-supervised institution's total capital to standardized total risk-weighted assets; and
(ii) The ratio of the FDIC-supervised institution's advanced-approaches-adjusted total capital to advanced approaches total risk-weighted assets. An FDIC-supervised institution's advanced-approaches-adjusted total capital is the FDIC-supervised institution's total capital after being adjusted as follows:
(A) An advanced approaches FDIC-supervised institution must deduct from its total capital any allowance for loan and lease losses or adjusted allowance for credit losses, as applicable, included in its tier 2 capital in accordance with § 324.20(d)(3); and
(B) An advanced approaches FDIC-supervised institution must add to its total capital any eligible credit reserves that exceed the FDIC-supervised institution's total expected credit losses to the extent that the excess reserve amount does not exceed 0.6 percent of the FDIC-supervised institution's credit risk-weighted assets.
(4) State savings association tangible capital ratio.
(i) Until January 1, 2014, a state savings association shall determine its tangible capital ratio in accordance with 12 CFR 390.468.
(ii) As of January 1, 2014, a state savings association's tangible capital ratio is the ratio of the state savings association's core capital (tier 1 capital) to total assets. For purposes of this paragraph, the term total assets shall have the meaning provided in 12 CFR 324.401(g).
(e) Capital adequacy.
(1) Notwithstanding the minimum requirements in this part, An FDIC-supervised institution must maintain capital commensurate with the level and nature of all risks to which the FDIC-supervised institution is exposed.
(2) An FDIC-supervised institution must have a process for assessing its overall capital adequacy in relation to its risk profile and a comprehensive strategy for maintaining an appropriate level of capital.
(3) Insured depository institutions with less than the minimum leverage capital requirement.
(i) An insured depository institution making an application to the FDIC operating with less than the minimum leverage capital requirement does not have adequate capital and therefore has inadequate financial resources.
(ii) Any insured depository institution operating with an inadequate capital structure, and therefore inadequate financial resources, will not receive approval for an application requiring the FDIC to consider the adequacy of its capital structure or its financial resources.
(iii) In any merger, acquisition, or other type of business combination where the FDIC must give its approval, where it is required to consider the adequacy of the financial resources of the existing and proposed institutions, and where the resulting entity is either insured by the FDIC or not otherwise federally insured, approval will not be granted when the resulting entity does not meet the minimum leverage capital requirement.
(iv) Exceptions. Notwithstanding the provisions of paragraphs (d)(3)(i), (ii) and (iii) of this section:
(A) The FDIC, in its discretion, may approve an application pursuant to the Federal Deposit Insurance Act where it is required to consider the adequacy of capital if it finds that such approval must be taken to prevent the closing of a depository institution or to facilitate the acquisition of a closed depository institution, or, when severe financial conditions exist which threaten the stability of an insured depository institution or of a significant number of depository institutions insured by the FDIC or of insured depository institutions possessing significant financial resources, if such action is taken to lessen the risk to the FDIC posed by an insured depository institution under such threat of instability.
(B) The FDIC, in its discretion, may approve an application pursuant to the Federal Deposit Insurance Act where it is required to consider the adequacy of capital or the financial resources of the insured depository institution where it finds that the applicant has committed to and is in compliance with a reasonable plan to meet its minimum leverage capital requirements within a reasonable period of time.
[78 FR 55471, Sept. 10, 2013, as amended at 79 FR 20758, Apr. 14, 2014; 79 FR 57748, Sept. 26, 2014; 80 FR 41422, July 15, 2015; 84 FR 4247, Feb. 14, 2019; 84 FR 35270, July 22, 2019; 84 FR 59278, Nov. 1, 2019; 84 FR 61802, Nov. 13, 2019; 85 FR 4430, Jan. 24, 2020; 85 FR 4578, Jan. 27, 2020; 85 FR 57963, Sept. 17, 2020; 86 FR 740, Jan. 6, 2021]
(a) Capital conservation buffer -
(1) Composition of the capital conservation buffer. The capital conservation buffer is composed solely of common equity tier 1 capital.
(2) Definitions. For purposes of this section, the following definitions apply:
(i) Eligible retained income. The eligible retained income of an FDIC-supervised institution is the greater of:
(A) The FDIC-supervised institution's net income, calculated in accordance with the instructions to the Call Report, for the four calendar quarters preceding the current calendar quarter, net of any distributions and associated tax effects not already reflected in net income; and
(B) The average of the FDIC-supervised institution's net income, calculated in accordance with the instructions to Call Report, for the four calendar quarters preceding the current calendar quarter.
(ii) Maximum payout ratio. The maximum payout ratio is the percentage of eligible retained income that an FDIC-supervised institution can pay out in the form of distributions and discretionary bonus payments during the current calendar quarter. The maximum payout ratio is based on the FDIC-supervised institution's capital conservation buffer, calculated as of the last day of the previous calendar quarter, as set forth in Table 1 to § 324.11.
(iii) Maximum payout amount. An FDIC-supervised institution's maximum payout amount for the current calendar quarter is equal to the FDIC-supervised institution's eligible retained income, multiplied by the applicable maximum payout ratio, as set forth in Table 1 to § 324.11.
(iv) Private sector credit exposure. Private sector credit exposure means an exposure to a company or an individual that is not an exposure to a sovereign, the Bank for International Settlements, the European Central Bank, the European Commission, the European Stability Mechanism, the European Financial Stability Facility, the International Monetary Fund, a MDB, a PSE, or a GSE.
(3) Calculation of capital conservation buffer.
(i) An FDIC-supervised institution's capital conservation buffer is equal to the lowest of the following ratios, calculated as of the last day of the previous calendar quarter:
(A) The FDIC-supervised institution's common equity tier 1 capital ratio minus the FDIC-supervised institution's minimum common equity tier 1 capital ratio requirement under § 324.10;
(B) The FDIC-supervised institution's tier 1 capital ratio minus the FDIC-supervised institution's minimum tier 1 capital ratio requirement under § 324.10; and
(C) The FDIC-supervised institution's total capital ratio minus the FDIC-supervised institution's minimum total capital ratio requirement under § 324.10; or
(ii) Notwithstanding paragraphs (a)(3)(i)(A)-(C) of this section, if the FDIC-supervised institution's common equity tier 1, tier 1 or total capital ratio is less than or equal to the FDIC-supervised institution's minimum common equity tier 1, tier 1 or total capital ratio requirement under § 324.10, respectively, the FDIC-supervised institution's capital conservation buffer is zero.
(4) Limits on distributions and discretionary bonus payments.
(i) An FDIC-supervised institution shall not make distributions or discretionary bonus payments or create an obligation to make such distributions or payments during the current calendar quarter that, in the aggregate, exceed the maximum payout amount.
(ii) An FDIC-supervised institution with a capital conservation buffer that is greater than 2.5 percent plus 100 percent of its applicable countercyclical capital buffer, in accordance with paragraph (b) of this section, is not subject to a maximum payout amount under this section.
(iii) Negative eligible retained income. Except as provided in paragraph (a)(4)(iv) of this section, an FDIC-supervised institution may not make distributions or discretionary bonus payments during the current calendar quarter if the FDIC-supervised institution's:
(A) Eligible retained income is negative; and
(B) Capital conservation buffer was less than 2.5 percent as of the end of the previous calendar quarter.
(iv) Prior approval. Notwithstanding the limitations in paragraphs (a)(4)(i) through (iii) of this section, the FDIC may permit an FDIC-supervised institution to make a distribution or discretionary bonus payment upon a request of the FDIC-supervised institution, if the FDIC determines that the distribution or discretionary bonus payment would not be contrary to the purposes of this section, or to the safety and soundness of the FDIC-supervised institution. In making such a determination, the FDIC will consider the nature and extent of the request and the particular circumstances giving rise to the request.
Table 1 to § 324.11 - Calculation of Maximum Payout Amount
| Capital conservation buffer | Maximum payout ratio |
|---|---|
| Greater than 2.5 percent plus 100 percent of the FDIC-supervised institution's applicable countercyclical capital buffer amount | No payout ratio limitation applies. |
| Less than or equal to 2.5 percent plus 100 percent of the FDIC-supervised institution's applicable countercyclical capital buffer amount, and greater than 1.875 percent plus 75 percent of the FDIC-supervised institution's applicable countercyclical capital buffer amount | 60 percent. |
| Less than or equal to 1.875 percent plus 75 percent of the FDIC-supervised institution's applicable countercyclical capital buffer amount, and greater than 1.25 percent plus 50 percent of the FDIC-supervised institution's applicable countercyclical capital buffer amount | 40 percent. |
| Less than or equal to 1.25 percent plus 50 percent of the FDIC-supervised institution's applicable countercyclical capital buffer amount, and greater than 0.625 percent plus 25 percent of the FDIC-supervised institution's applicable countercyclical capital buffer amount | 20 percent. |
| Less than or equal to 0.625 percent plus 25 percent of the FDIC-supervised institution's applicable countercyclical capital buffer amount | 0 percent. |
(v) Other limitations on distributions. Additional limitations on distributions may apply to an FDIC-supervised institution under 12 CFR 303.241 and subpart H of this part.
(b) Countercyclical capital buffer amount -
(1) General. An advanced approaches FDIC-supervised institution or a Category III FDIC-supervised institution must calculate a countercyclical capital buffer amount in accordance with paragraph (b) of this section for purposes of determining its maximum payout ratio under Table 1 to this section.
(i) Extension of capital conservation buffer. The countercyclical capital buffer amount is an extension of the capital conservation buffer as described in paragraph (a) of this section.
(ii) Amount. An advanced approaches FDIC-supervised institution or a Category III FDIC-supervised institution has a countercyclical capital buffer amount determined by calculating the weighted average of the countercyclical capital buffer amounts established for the national jurisdictions where the FDIC-supervised institution's private sector credit exposures are located, as specified in paragraphs (b)(2) and (3) of this section.
(iii) Weighting. The weight assigned to a jurisdiction's countercyclical capital buffer amount is calculated by dividing the total risk-weighted assets for the FDIC-supervised institution's private sector credit exposures located in the jurisdiction by the total risk-weighted assets for all of the FDIC-supervised institution's private sector credit exposures. The methodology an FDIC-supervised institution uses for determining risk-weighted assets for purposes of this paragraph (b) must be the methodology that determines its risk-based capital ratios under § 324.10. Notwithstanding the previous sentence, the risk-weighted asset amount for a private sector credit exposure that is a covered position under subpart F of this part is its specific risk add-on as determined under § 324.210 multiplied by 12.5.
(iv) Location.
(A) Except as provided in paragraphs (b)(1)(iv)(B) and (b)(1)(iv)(C) of this section, the location of a private sector credit exposure is the national jurisdiction where the borrower is located (that is, where it is incorporated, chartered, or similarly established or, if the borrower is an individual, where the borrower resides).
(B) If, in accordance with subparts D or E of this part, the FDIC-supervised institution has assigned to a private sector credit exposure a risk weight associated with a protection provider on a guarantee or credit derivative, the location of the exposure is the national jurisdiction where the protection provider is located.
(C) The location of a securitization exposure is the location of the underlying exposures, or, if the underlying exposures are located in more than one national jurisdiction, the national jurisdiction where the underlying exposures with the largest aggregate unpaid principal balance are located. For purposes of this paragraph (b), the location of an underlying exposure shall be the location of the borrower, determined consistent with paragraph (b)(1)(iv)(A) of this section.
(2) Countercyclical capital buffer amount for credit exposures in the United States -
(i) Initial countercyclical capital buffer amount with respect to credit exposures in the United States. The initial countercyclical capital buffer amount in the United States is zero.
(ii) Adjustment of the countercyclical capital buffer amount. The FDIC will adjust the countercyclical capital buffer amount for credit exposures in the United States in accordance with applicable law.[11]
(iii) Range of countercyclical capital buffer amount. The FDIC will adjust the countercyclical capital buffer amount for credit exposures in the United States between zero percent and 2.5 percent of risk-weighted assets.
(iv) Adjustment determination. The FDIC will base its decision to adjust the countercyclical capital buffer amount under this section on a range of macroeconomic, financial, and supervisory information indicating an increase in systemic risk including, but not limited to, the ratio of credit to gross domestic product, a variety of asset prices, other factors indicative of relative credit and liquidity expansion or contraction, funding spreads, credit condition surveys, indices based on credit default swap spreads, options implied volatility, and measures of systemic risk.
(v) Effective date of adjusted countercyclical capital buffer amount -
(A) Increase adjustment. A determination by the FDIC under paragraph (b)(2)(ii) of this section to increase the countercyclical capital buffer amount will be effective 12 months from the date of announcement, unless the FDIC establishes an earlier effective date and includes a statement articulating the reasons for the earlier effective date.
(B) Decrease adjustment. A determination by the FDIC to decrease the established countercyclical capital buffer amount under paragraph (b)(2)(ii) of this section will be effective on the day following announcement of the final determination or the earliest date permissible under applicable law or regulation, whichever is later.
(vi) Twelve month sunset. The countercyclical capital buffer amount will return to zero percent 12 months after the effective date that the adjusted countercyclical capital buffer amount is announced, unless the FDIC announces a decision to maintain the adjusted countercyclical capital buffer amount or adjust it again before the expiration of the 12-month period.
(3) Countercyclical capital buffer amount for foreign jurisdictions. The FDIC will adjust the countercyclical capital buffer amount for private sector credit exposures to reflect decisions made by foreign jurisdictions consistent with due process requirements described in paragraph (b)(2) of this section.
[78 FR 55471, Sept. 10, 2013, as amended at 79 FR 20758, Apr. 14, 2014; 81 FR 71354, Oct. 17, 2016; 84 FR 35270, July 22, 2019; 84 FR 59278, Nov. 1, 2019; 85 FR 15916, Mar. 20, 2020]
(a) Community bank leverage ratio framework.
(1) Notwithstanding any other provision in this part, a qualifying community banking organization that has made an election to use the community bank leverage ratio framework under paragraph (a)(3) of this section shall be considered to have met the minimum capital requirements under § 324.10, the capital ratio requirements for the well capitalized capital category under § 324.403(b)(1) of this part, and any other capital or leverage requirements to which the qualifying community banking organization is subject, if it has a leverage ratio greater than 9 percent.
(2) For purposes of this section, a qualifying community banking organization means an FDIC-supervised institution that is not an advanced approaches FDIC-supervised institution and that satisfies all of the following criteria:
(i) Has a leverage ratio of greater than 9 percent;
(ii) Has total consolidated assets of less than $10 billion, calculated in accordance with the reporting instructions to the Call Report as of the end of the most recent calendar quarter;
(iii) Has off-balance sheet exposures of 25 percent or less of its total consolidated assets as of the end of the most recent calendar quarter, calculated as the sum of the notional amounts of the exposures listed in paragraphs (a)(2)(iii)(A) through (I) of this section, divided by total consolidated assets, each as of the end of the most recent calendar quarter:
(A) The unused portion of commitments (except for unconditionally cancellable commitments);
(B) Self-liquidating, trade-related contingent items that arise from the movement of goods;
(C) Transaction-related contingent items, including performance bonds, bid bonds, warranties, and performance standby letters of credit;
(D) Sold credit protection through guarantees and credit derivatives;
(E) Credit-enhancing representations and warranties;
(F) Securities lent and borrowed, calculated in accordance with the reporting instructions to the Call Report;
(G) Financial standby letters of credit;
(H) Forward agreements that are not derivative contracts; and
(I) Off-balance sheet securitization exposures; and
(iv) Has total trading assets and trading liabilities, calculated in accordance with the reporting instructions to the Call Report of 5 percent or less of the FDIC-supervised institution's total consolidated assets, each as of the end of the most recent calendar quarter.
(3)
(i) A qualifying community banking organization may elect to use the community bank leverage ratio framework if it makes an opt-in election under this paragraph (a)(3).
(ii) For purposes of this paragraph (a)(3), a qualifying community banking organization makes an election to use the community bank leverage ratio framework by completing the applicable reporting requirements of its Call Report.
(iii)
(A) A qualifying community banking organization that has elected to use the community bank leverage ratio framework may opt out of the community bank leverage ratio framework by completing the applicable risk-based and leverage ratio reporting requirements necessary to demonstrate compliance with § 324.10(a)(1) in its Call Report or by otherwise providing the information to the FDIC.
(B) A qualifying community banking organization that opts out of the community bank leverage ratio framework pursuant to paragraph (a)(3)(iii)(A) of this section must comply with § 324.10(a)(1) immediately.
(4)
(i) Temporary relief - From December 2, 2020 through December 31, 2021, for purposes of determining whether an FDIC-supervised institution satisfies the criterion in paragraph (a)(2)(ii) of this section, except as provided in paragraph (a)(4)(ii) of this section, the total consolidated assets of an FDIC-supervised institution for purposes of paragraph (a)(2)(ii) of this section shall be determined based on the lesser of:
(A) The total consolidated assets reported by the institution in the Call Report as of December 31, 2019; and
(B) The total consolidated assets calculated in accordance with the reporting instructions to the Call Report as of the end of the most recent calendar quarter.
(ii) Reservation of authority - The temporary relief provided under this paragraph (a)(4)(i) of this section does not apply to an FDIC-supervised institution if the FDIC determines that permitting the FDIC-supervised institution to determine its assets in accordance with that paragraph would not be commensurate with the risk posed by the institution. When making this determination, the FDIC will consider all relevant factors, including the extent of asset growth of the FDIC-supervised institution since December 31, 2019; the causes of such growth, including whether growth occurred as a result of mergers or acquisitions; whether such growth is likely to be temporary or permanent; whether the FDIC-supervised institution has become involved in any additional activities since December 31, 2019; and the type of assets held by the FDIC-supervised institution. The FDIC will notify an FDIC-supervised institution of a determination under this paragraph. An FDIC-supervised institution may, not later than 30 days after the date of a determination by the FDIC, inform the FDIC, in writing, of why the FDIC-supervised institution should be eligible for the temporary relief. The FDIC will make a final determination after reviewing any response.
(b) Calculation of the leverage ratio. A qualifying community banking organization's leverage ratio is calculated in accordance to § 324.10(b)(4), except that a qualifying community banking organization is not required to:
(1) Make adjustments and deductions from tier 2 capital for purposes of § 324.22(c); or
(2) Calculate and deduct from tier 1 capital an amount resulting from insufficient tier 2 capital under § 324.22(f).
(c) Treatment when ceasing to meet the qualifying community banking organization requirements.
(1) Except as provided in paragraphs (c)(5) and (6) of this section, if an FDIC-supervised institution ceases to meet the definition of a qualifying community banking organization, the FDIC-supervised institution has two reporting periods under its Call Report (grace period) either to satisfy the requirements to be a qualifying community banking organization or to comply with § 324.10(a)(1) and report the required capital measures under § 324.10(a)(1) on its Call Report.
(2) The grace period begins as of the end of the calendar quarter in which the FDIC-supervised institution ceases to satisfy the criteria to be a qualifying community banking organization provided in paragraph (a)(2) of this section. The grace period ends on the last day of the second consecutive calendar quarter following the beginning of the grace period.
(3) During the grace period, the FDIC-supervised institution continues to be treated as a qualifying community banking organization for the purpose of this part and must continue calculating and reporting its leverage ratio under this section unless the FDIC-supervised institution has opted out of using the community bank leverage ratio framework under paragraph (a)(3) of this section.
(4) During the grace period, the qualifying community banking organization continues to be considered to have met the minimum capital requirements under § 324.10(a)(1), the capital ratio requirements for the well capitalized capital category under § 324.403(b)(1)(i)(A) through (D) of this part, and any other capital or leverage requirements to which the qualifying community banking organization is subject and must continue calculating and reporting its leverage ratio under this section.
(5) Notwithstanding paragraphs (c)(1) through (4) of this section, an FDIC-supervised institution that no longer meets the definition of a qualifying community banking organization as a result of a merger or acquisition has no grace period and immediately ceases to be a qualifying community banking organization. Such an FDIC-supervised institution must comply with the minimum capital requirements under § 324.10(a)(1) and must report the required capital measures under § 324.10(a)(1) for the quarter in which it ceases to be a qualifying community banking organization.
(6) Notwithstanding paragraphs (c)(1) through (4) of this section, an FDIC-supervised institution that has a leverage ratio of 8 percent or less does not have a grace period and must comply with the minimum capital requirements under § 324.10(a)(1) and must report the required capital measures under § 324.10(a)(1) for the quarter in which it reports a leverage ratio of 8 percent or less.
[84 FR 61802, Nov. 13, 2019, as amended at 85 FR 77363, Dec. 2, 2020]
(a) Regulatory capital components. An FDIC-supervised institution's regulatory capital components are:
(1) Common equity tier 1 capital;
(2) Additional tier 1 capital; and
(3) Tier 2 capital.
(b) Common equity tier 1 capital. Common equity tier 1 capital is the sum of the common equity tier 1 capital elements in this paragraph (b), minus regulatory adjustments and deductions in § 324.22. The common equity tier 1 capital elements are:
(1) Any common stock instruments (plus any related surplus) issued by the FDIC-supervised institution, net of treasury stock, and any capital instruments issued by mutual banking organizations, that meet all the following criteria:
(i) The instrument is paid-in, issued directly by the FDIC-supervised institution, and represents the most subordinated claim in a receivership, insolvency, liquidation, or similar proceeding of the FDIC-supervised institution;
(ii) The holder of the instrument is entitled to a claim on the residual assets of the FDIC-supervised institution that is proportional with the holder's share of the FDIC-supervised institution's issued capital after all senior claims have been satisfied in a receivership, insolvency, liquidation, or similar proceeding;
(iii) The instrument has no maturity date, can only be redeemed via discretionary repurchases with the prior approval of the FDIC, and does not contain any term or feature that creates an incentive to redeem;
(iv) The FDIC-supervised institution did not create at issuance of the instrument through any action or communication an expectation that it will buy back, cancel, or redeem the instrument, and the instrument does not include any term or feature that might give rise to such an expectation;
(v) Any cash dividend payments on the instrument are paid out of the FDIC-supervised institution's net income and retained earnings and are not subject to a limit imposed by the contractual terms governing the instrument. An FDIC-supervised institution must obtain prior FDIC approval for any dividend payment involving a reduction or retirement of capital stock in accordance with 12 CFR 303.241;
(vi) The FDIC-supervised institution has full discretion at all times to refrain from paying any dividends and making any other distributions on the instrument without triggering an event of default, a requirement to make a payment-in-kind, or an imposition of any other restrictions on the FDIC-supervised institution;
(vii) Dividend payments and any other distributions on the instrument may be paid only after all legal and contractual obligations of the FDIC-supervised institution have been satisfied, including payments due on more senior claims;
(viii) The holders of the instrument bear losses as they occur equally, proportionately, and simultaneously with the holders of all other common stock instruments before any losses are borne by holders of claims on the FDIC-supervised institution with greater priority in a receivership, insolvency, liquidation, or similar proceeding;
(ix) The paid-in amount is classified as equity under GAAP;
(x) The FDIC-supervised institution, or an entity that the FDIC-supervised institution controls, did not purchase or directly or indirectly fund the purchase of the instrument;
(xi) The instrument is not secured, not covered by a guarantee of the FDIC-supervised institution or of an affiliate of the FDIC-supervised institution, and is not subject to any other arrangement that legally or economically enhances the seniority of the instrument;
(xii) The instrument has been issued in accordance with applicable laws and regulations; and
(xiii) The instrument is reported on the FDIC-supervised institution's regulatory financial statements separately from other capital instruments.
(2) Retained earnings.
(3) Accumulated other comprehensive income (AOCI) as reported under GAAP.[12]
(4) Any common equity tier 1 minority interest, subject to the limitations in § 324.21.
(5) Notwithstanding the criteria for common stock instruments referenced above, an FDIC-supervised institution's common stock issued and held in trust for the benefit of its employees as part of an employee stock ownership plan does not violate any of the criteria in paragraph (b)(1)(iii), paragraph (b)(1)(iv) or paragraph (b)(1)(xi) of this section, provided that any repurchase of the stock is required solely by virtue of ERISA for an instrument of an FDIC-supervised institution that is not publicly-traded. In addition, an instrument issued by an FDIC-supervised institution to its employee stock ownership plan does not violate the criterion in paragraph (b)(1)(x) of this section.
(c) Additional tier 1 capital. Additional tier 1 capital is the sum of additional tier 1 capital elements and any related surplus, minus the regulatory adjustments and deductions in § 324.22. Additional tier 1 capital elements are:
(1) Instruments (plus any related surplus) that meet the following criteria:
(i) The instrument is issued and paid-in;
(ii) The instrument is subordinated to depositors, general creditors, and subordinated debt holders of the FDIC-supervised institution in a receivership, insolvency, liquidation, or similar proceeding;
(iii) The instrument is not secured, not covered by a guarantee of the FDIC-supervised institution or of an affiliate of the FDIC-supervised institution, and not subject to any other arrangement that legally or economically enhances the seniority of the instrument;
(iv) The instrument has no maturity date and does not contain a dividend step-up or any other term or feature that creates an incentive to redeem; and
(v) If callable by its terms, the instrument may be called by the FDIC-supervised institution only after a minimum of five years following issuance, except that the terms of the instrument may allow it to be called earlier than five years upon the occurrence of a regulatory event that precludes the instrument from being included in additional tier 1 capital, a tax event, or if the issuing entity is required to register as an investment company pursuant to the Investment Company Act. In addition:
(A) The FDIC-supervised institution must receive prior approval from the FDIC to exercise a call option on the instrument.
(B) The FDIC-supervised institution does not create at issuance of the instrument, through any action or communication, an expectation that the call option will be exercised.
(C) Prior to exercising the call option, or immediately thereafter, the FDIC-supervised institution must either: Replace the instrument to be called with an equal amount of instruments that meet the criteria under paragraph (b) of this section or this paragraph (c);[13] or demonstrate to the satisfaction of the FDIC that following redemption, the FDIC-supervised institution will continue to hold capital commensurate with its risk.
(vi) Redemption or repurchase of the instrument requires prior approval from the FDIC.
(vii) The FDIC-supervised institution has full discretion at all times to cancel dividends or other distributions on the instrument without triggering an event of default, a requirement to make a payment-in-kind, or an imposition of other restrictions on the FDIC-supervised institution except in relation to any distributions to holders of common stock or instruments that are pari passu with the instrument.
(viii) Any cash dividend payments on the instrument are paid out of the FDIC-supervised institution's net income or retained earnings. An FDIC-supervised institution must obtain prior FDIC approval for any dividend payment involving a reduction or retirement of capital stock in accordance with 12 CFR 303.241.
(ix) The instrument does not have a credit-sensitive feature, such as a dividend rate that is reset periodically based in whole or in part on the FDIC-supervised institution's credit quality, but may have a dividend rate that is adjusted periodically independent of the FDIC-supervised institution's credit quality, in relation to general market interest rates or similar adjustments.
(x) The paid-in amount is classified as equity under GAAP.
(xi) The FDIC-supervised institution, or an entity that the FDIC-supervised institution controls, did not purchase or directly or indirectly fund the purchase of the instrument.
(xii) The instrument does not have any features that would limit or discourage additional issuance of capital by the FDIC-supervised institution, such as provisions that require the FDIC-supervised institution to compensate holders of the instrument if a new instrument is issued at a lower price during a specified time frame.
(xiii) If the instrument is not issued directly by the FDIC-supervised institution or by a subsidiary of the FDIC-supervised institution that is an operating entity, the only asset of the issuing entity is its investment in the capital of the FDIC-supervised institution, and proceeds must be immediately available without limitation to the FDIC-supervised institution or to the FDIC-supervised institution's top-tier holding company in a form which meets or exceeds all of the other criteria for additional tier 1 capital instruments.[14]
(xiv) For an advanced approaches FDIC-supervised institution, the governing agreement, offering circular, or prospectus of an instrument issued after the date upon which the FDIC-supervised institution becomes subject to this part as set forth in § 324.1(f) must disclose that the holders of the instrument may be fully subordinated to interests held by the U.S. government in the event that the FDIC-supervised institution enters into a receivership, insolvency, liquidation, or similar proceeding.
(2) Tier 1 minority interest, subject to the limitations in § 324.21, that is not included in the FDIC-supervised institution's common equity tier 1 capital.
(3)
(i) Any and all instruments that qualified as tier 1 capital under the FDIC's general risk-based capital rules under 12 CFR part 325, appendix A (state nonmember banks) and 12 CFR part 390, subpart Z (state savings associations) as then in effect, that were issued under the Small Business Jobs Act of 2010[15] or prior to October 4, 2010, under the Emergency Economic Stabilization Act of 2008.[16]
(ii) Any preferred stock instruments issued under the U.S. Department of the Treasury's Emergency Capital Investment Program pursuant to section 104A of the Community Development Banking and Financial Institutions Act of 1994, added by the Consolidated Appropriations Act, 2021.[17]
(4) Notwithstanding the criteria for additional tier 1 capital instruments referenced above:
(i) An instrument issued by an FDIC-supervised institution and held in trust for the benefit of its employees as part of an employee stock ownership plan does not violate any of the criteria in paragraph (c)(1)(iii) of this section, provided that any repurchase is required solely by virtue of ERISA for an instrument of an FDIC-supervised institution that is not publicly-traded. In addition, an instrument issued by an FDIC-supervised institution to its employee stock ownership plan does not violate the criteria in paragraph (c)(1)(v) or paragraph (c)(1)(xi) of this section; and
(ii) An instrument with terms that provide that the instrument may be called earlier than five years upon the occurrence of a rating agency event does not violate the criterion in paragraph (c)(1)(v) of this section provided that the instrument was issued and included in an FDIC-supervised institution's tier 1 capital prior to the January 1, 2014, and that such instrument satisfies all other criteria under this paragraph (c).
(d) Tier 2 Capital. Tier 2 capital is the sum of tier 2 capital elements and any related surplus, minus regulatory adjustments and deductions in § 324.22. Tier 2 capital elements are:
(1) Instruments (plus related surplus) that meet the following criteria:
(i) The instrument is issued and paid-in;
(ii) The instrument is subordinated to depositors and general creditors of the FDIC-supervised institution;
(iii) The instrument is not secured, not covered by a guarantee of the FDIC-supervised institution or of an affiliate of the FDIC-supervised institution, and not subject to any other arrangement that legally or economically enhances the seniority of the instrument in relation to more senior claims;
(iv) The instrument has a minimum original maturity of at least five years. At the beginning of each of the last five years of the life of the instrument, the amount that is eligible to be included in tier 2 capital is reduced by 20 percent of the original amount of the instrument (net of redemptions) and is excluded from regulatory capital when the remaining maturity is less than one year. In addition, the instrument must not have any terms or features that require, or create significant incentives for, the FDIC-supervised institution to redeem the instrument prior to maturity;[18] and
(v) The instrument, by its terms, may be called by the FDIC-supervised institution only after a minimum of five years following issuance, except that the terms of the instrument may allow it to be called sooner upon the occurrence of an event that would preclude the instrument from being included in tier 2 capital, a tax event, or if the issuing entity is required to register as an investment company pursuant to the Investment Company Act. In addition:
(A) The FDIC-supervised institution must receive the prior approval of the FDIC to exercise a call option on the instrument.
(B) The FDIC-supervised institution does not create at issuance, through action or communication, an expectation the call option will be exercised.
(C) Prior to exercising the call option, or immediately thereafter, the FDIC-supervised institution must either: Replace any amount called with an equivalent amount of an instrument that meets the criteria for regulatory capital under this section;[19] or demonstrate to the satisfaction of the FDIC that following redemption, the FDIC-supervised institution would continue to hold an amount of capital that is commensurate with its risk.
(vi) The holder of the instrument must have no contractual right to accelerate payment of principal or interest on the instrument, except in the event of a receivership, insolvency, liquidation, or similar proceeding of the FDIC-supervised institution.
(vii) The instrument has no credit-sensitive feature, such as a dividend or interest rate that is reset periodically based in whole or in part on the FDIC-supervised institution's credit standing, but may have a dividend rate that is adjusted periodically independent of the FDIC-supervised institution's credit standing, in relation to general market interest rates or similar adjustments.
(viii) The FDIC-supervised institution, or an entity that the FDIC-supervised institution controls, has not purchased and has not directly or indirectly funded the purchase of the instrument.
(ix) If the instrument is not issued directly by the FDIC-supervised institution or by a subsidiary of the FDIC-supervised institution that is an operating entity, the only asset of the issuing entity is its investment in the capital of the FDIC-supervised institution, and proceeds must be immediately available without limitation to the FDIC-supervised institution or the FDIC-supervised institution's top-tier holding company in a form that meets or exceeds all the other criteria for tier 2 capital instruments under this section.[20]
(x) Redemption of the instrument prior to maturity or repurchase requires the prior approval of the FDIC.
(xi) For an advanced approaches FDIC-supervised institution, the governing agreement, offering circular, or prospectus of an instrument issued after the date on which the advanced approaches FDIC-supervised institution becomes subject to this part under § 324.1(f) must disclose that the holders of the instrument may be fully subordinated to interests held by the U.S. government in the event that the FDIC-supervised institution enters into a receivership, insolvency, liquidation, or similar proceeding.
(2) Total capital minority interest, subject to the limitations set forth in § 324.21, that is not included in the FDIC-supervised institution's tier 1 capital.
(3) ALLL or AACL, as applicable, up to 1.25 percent of the FDIC-supervised institution's standardized total risk-weighted assets not including any amount of the ALLL or AACL, as applicable (and excluding in the case of a market risk FDIC-supervised institution, its standardized market risk-weighted assets).
(4)
(i) Any instrument that qualified as tier 2 capital under the FDIC's general risk-based capital rules under 12 CFR part 325, appendix A (state nonmember banks) and 12 CFR part 390, appendix Z (state saving associations) as then in effect, that were issued under the Small Business Jobs Act of 2010,[21] or prior to October 4, 2010, under the Emergency Economic Stabilization Act of 2008.[22]
(ii) Any debt instruments issued under the U.S. Department of the Treasury's Emergency Capital Investment Program pursuant to section 104A of the Community Development Banking and Financial Institutions Act of 1994, added by the Consolidated Appropriations Act, 2021.[23]
(5) For an FDIC-supervised institution that makes an AOCI opt-out election (as defined in § 324.22(b)(2), 45 percent of pretax net unrealized gains on available-for-sale preferred stock classified as an equity security under GAAP and available-for-sale equity exposures.
(6) Notwithstanding the criteria for tier 2 capital instruments referenced above, an instrument with terms that provide that the instrument may be called earlier than five years upon the occurrence of a rating agency event does not violate the criterion in paragraph (d)(1)(v) of this section provided that the instrument was issued and included in an FDIC-supervised institution's tier 1 or tier 2 capital prior to January 1, 2014, and that such instrument satisfies all other criteria under this paragraph (d).
(e) FDIC approval of a capital element.
(1) An FDIC-supervised institution must receive FDIC prior approval to include a capital element (as listed in this section) in its common equity tier 1 capital, additional tier 1 capital, or tier 2 capital unless the element:
(i) Was included in an FDIC-supervised institution's tier 1 capital or tier 2 capital prior to May 19, 2010, in accordance with the FDIC's risk-based capital rules that were effective as of that date and the underlying instrument may continue to be included under the criteria set forth in this section; or
(ii) Is equivalent, in terms of capital quality and ability to absorb losses with respect to all material terms, to a regulatory capital element the FDIC determined may be included in regulatory capital pursuant to paragraph (e)(3) of this section.
(2) When considering whether an FDIC-supervised institution may include a regulatory capital element in its common equity tier 1 capital, additional tier 1 capital, or tier 2 capital, the FDIC will consult with the OCC and the Federal Reserve.
(3) After determining that a regulatory capital element may be included in an FDIC-supervised institution's common equity tier 1 capital, additional tier 1 capital, or tier 2 capital, the FDIC will make its decision publicly available, including a brief description of the material terms of the regulatory capital element and the rationale for the determination.
[78 FR 55471, Sept. 10, 2013, as amended at 81 FR 71354, Oct. 17, 2016; 84 FR 4247, Feb. 14, 2019; 84 FR 35271, July 22, 2019; 86 FR 15081, Mar. 22, 2021]
[13] Replacement can be concurrent with redemption of existing additional tier 1 capital instruments.
[14] See 77 FR 52856 (August 30, 2012).
[15] Public Law 111-240; 124 Stat. 2504 (2010).
[16] Public Law 110-343, 122 Stat. 3765 (2008).
[18] An instrument that by its terms automatically converts into a tier 1 capital instrument prior to five years after issuance complies with the five-year maturity requirement of this criterion.
[19] A FDIC-supervised institution may replace tier 2 capital instruments concurrent with the redemption of existing tier 2 capital instruments.
[20] A FDIC-supervised institution may disregard de minimis assets related to the operation of the issuing entity for purposes of this criterion.
[21] Public Law 111-240; 124 Stat. 2504 (2010)
[22] Public Law 110-343, 122 Stat. 3765 (2008)
(a)
(1) Applicability. For purposes of § 324.20, an FDIC-supervised institution that is not an advanced approaches FDIC-supervised institution is subject to the minority interest limitations in this paragraph (a) if a consolidated subsidiary of the FDIC-supervised institution has issued regulatory capital that is not owned by the FDIC-supervised institution.
(2) Common equity tier 1 minority interest includable in the common equity tier 1 capital of the FDIC-supervised institution. The amount of common equity tier 1 minority interest that an FDIC-supervised institution may include in common equity tier 1 capital must be no greater than 10 percent of the sum of all common equity tier 1 capital elements of the FDIC-supervised institution (not including the common equity tier 1 minority interest itself), less any common equity tier 1 capital regulatory adjustments and deductions in accordance with § 324.22(a) and (b).
(3) Tier 1 minority interest includable in the tier 1 capital of the FDIC-supervised institution. The amount of tier 1 minority interest that an FDIC-supervised institution may include in tier 1 capital must be no greater than 10 percent of the sum of all tier 1 capital elements of the FDIC-supervised institution (not including the tier 1 minority interest itself), less any tier 1 capital regulatory adjustments and deductions in accordance with § 324.22(a) and (b).
(4) Total capital minority interest includable in the total capital of the FDIC-supervised institution. The amount of total capital minority interest that an FDIC-supervised institution may include in total capital must be no greater than 10 percent of the sum of all total capital elements of the FDIC-supervised institution (not including the total capital minority interest itself), less any total capital regulatory adjustments and deductions in accordance with § 324.22(a) and (b).
(b)
(1) Applicability. For purposes of § 324.20, an advanced approaches FDIC-supervised institution is subject to the minority interest limitations in this paragraph (b) if:
(i) A consolidated subsidiary of the advanced approaches FDIC-supervised institution has issued regulatory capital that is not owned by the FDIC-supervised institution; and
(ii) For each relevant regulatory capital ratio of the consolidated subsidiary, the ratio exceeds the sum of the subsidiary's minimum regulatory capital requirements plus its capital conservation buffer.
(2) Difference in capital adequacy standards at the subsidiary level. For purposes of the minority interest calculations in this section, if the consolidated subsidiary issuing the capital is not subject to capital adequacy standards similar to those of the advanced approaches FDIC-supervised institution, the advanced approaches FDIC-supervised institution must assume that the capital adequacy standards of the advanced approaches FDIC-supervised institution apply to the subsidiary.
(3) Common equity tier 1 minority interest includable in the common equity tier 1 capital of the FDIC-supervised institution. For each consolidated subsidiary of an advanced approaches FDIC-supervised institution, the amount of common equity tier 1 minority interest the advanced approaches FDIC-supervised institution may include in common equity tier 1 capital is equal to:
(i) The common equity tier 1 minority interest of the subsidiary; minus
(ii) The percentage of the subsidiary's common equity tier 1 capital that is not owned by the advanced approaches FDIC-supervised institution, multiplied by the difference between the common equity tier 1 capital of the subsidiary and the lower of:
(A) The amount of common equity tier 1 capital the subsidiary must hold, or would be required to hold pursuant to this paragraph (b), to avoid restrictions on distributions and discretionary bonus payments under § 324.11 or equivalent standards established by the subsidiary's home country supervisor; or
(B)
(1) The standardized total risk-weighted assets of the advanced approaches FDIC-supervised institution that relate to the subsidiary multiplied by
(2) The common equity tier 1 capital ratio the subsidiary must maintain to avoid restrictions on distributions and discretionary bonus payments under § 324.11 or equivalent standards established by the subsidiary's home country supervisor.
(4) Tier 1 minority interest includable in the tier 1 capital of the advanced approaches FDIC-supervised institution. For each consolidated subsidiary of the advanced approaches FDIC-supervised institution, the amount of tier 1 minority interest the advanced approaches FDIC-supervised institution may include in tier 1 capital is equal to:
(i) The tier 1 minority interest of the subsidiary; minus
(ii) The percentage of the subsidiary's tier 1 capital that is not owned by the advanced approaches FDIC-supervised institution multiplied by the difference between the tier 1 capital of the subsidiary and the lower of:
(A) The amount of tier 1 capital the subsidiary must hold, or would be required to hold pursuant to this paragraph (b), to avoid restrictions on distributions and discretionary bonus payments under § 324.11 or equivalent standards established by the subsidiary's home country supervisor, or
(B)
(1) The standardized total risk-weighted assets of the advanced approaches FDIC-supervised institution that relate to the subsidiary multiplied by
(2) The tier 1 capital ratio the subsidiary must maintain to avoid restrictions on distributions and discretionary bonus payments under § 324.11 or equivalent standards established by the subsidiary's home country supervisor.
(5) Total capital minority interest includable in the total capital of the FDIC-supervised institution. For each consolidated subsidiary of the advanced approaches FDIC-supervised institution, the amount of total capital minority interest the advanced approaches FDIC-supervised institution may include in total capital is equal to:
(i) The total capital minority interest of the subsidiary; minus
(ii) The percentage of the subsidiary's total capital that is not owned by the advanced approaches FDIC-supervised institution multiplied by the difference between the total capital of the subsidiary and the lower of:
(A) The amount of total capital the subsidiary must hold, or would be required to hold pursuant to this paragraph (b), to avoid restrictions on distributions and discretionary bonus payments under § 324.11 or equivalent standards established by the subsidiary's home country supervisor, or
(B)
(1) The standardized total risk-weighted assets of the advanced approaches FDIC-supervised institution that relate to the subsidiary multiplied by
(2) The total capital ratio the subsidiary must maintain to avoid restrictions on distributions and discretionary bonus payments under § 324.11 or equivalent standards established by the subsidiary's home country supervisor.
[84 FR 35271, July 22, 2019]
(a) Regulatory capital deductions from common equity tier 1 capital. An FDIC-supervised institution must deduct from the sum of its common equity tier 1 capital elements the items set forth in this paragraph (a):
(1)
(i) Goodwill, net of associated deferred tax liabilities (DTLs) in accordance with paragraph (e) of this section; and
(ii) For an advanced approaches FDIC-supervised institution, goodwill that is embedded in the valuation of a significant investment in the capital of an unconsolidated financial institution in the form of common stock (and that is reflected in the consolidated financial statements of the advanced approaches FDIC-supervised institution), in accordance with paragraph (d) of this section;
(2) Intangible assets, other than MSAs, net of associated DTLs in accordance with paragraph (e) of this section;
(3) Deferred tax assets (DTAs) that arise from net operating loss and tax credit carryforwards net of any related valuation allowances and net of DTLs in accordance with paragraph (e) of this section;
(4) Any gain-on-sale in connection with a securitization exposure;
(5)
(i) Any defined benefit pension fund net asset, net of any associated DTL in accordance with paragraph (e) of this section, held by a depository institution holding company. With the prior approval of the FDIC, this deduction is not required for any defined benefit pension fund net asset to the extent the depository institution holding company has unrestricted and unfettered access to the assets in that fund.
(ii) For an insured depository institution, no deduction is required.
(iii) An FDIC-supervised institution must risk weight any portion of the defined benefit pension fund asset that is not deducted under paragraphs (a)(5)(i) or (a)(5)(ii) of this section as if the FDIC-supervised institution directly holds a proportional ownership share of each exposure in the defined benefit pension fund.
(6) For an advanced approaches FDIC-supervised institution that has completed the parallel run process and that has received notification from the FDIC pursuant to § 324.121(d), the amount of expected credit loss that exceeds its eligible credit reserves; and
(7) With respect to a financial subsidiary, the aggregate amount of the FDIC-supervised institution's outstanding equity investment, including retained earnings, in its financial subsidiaries (as defined in 12 CFR 362.17). An FDIC-supervised institution must not consolidate the assets and liabilities of a financial subsidiary with those of the parent bank, and no other deduction is required under paragraph (c) of this section for investments in the capital instruments of financial subsidiaries.
(8)
(i) A state savings association must deduct the aggregate amount of its outstanding investments, (both equity and debt) in, and extensions of credit to, subsidiaries that are not includable subsidiaries as defined in paragraph (a)(8)(iv) of this section and may not consolidate the assets and liabilities of the subsidiary with those of the state savings association. Any such deductions shall be from assets and common equity tier 1 capital, except as provided in paragraphs (a)(8)(ii) and (iii) of this section.
(ii) If a state savings association has any investments (both debt and equity) in, or extensions of credit to, one or more subsidiaries engaged in any activity that would not fall within the scope of activities in which includable subsidiaries as defined in paragraph (a)(8)(iv) of this section may engage, it must deduct such investments and extensions of credit from assets and, thus, common equity tier 1 capital in accordance with paragraph (a)(8)(i) of this section.
(iii) If a state savings association holds a subsidiary (either directly or through a subsidiary) that is itself a domestic depository institution, the FDIC may, in its sole discretion upon determining that the amount of common equity tier 1 capital that would be required would be higher if the assets and liabilities of such subsidiary were consolidated with those of the parent state savings association than the amount that would be required if the parent state savings association's investment were deducted pursuant to paragraphs (a)(8)(i) and (ii) of this section, consolidate the assets and liabilities of that subsidiary with those of the parent state savings association in calculating the capital adequacy of the parent state savings association, regardless of whether the subsidiary would otherwise be an includable subsidiary as defined in paragraph (a)(8)(iv) of this section.
(iv) For purposes of this section, the term includable subsidiary means a subsidiary of a state savings association that is:
(A) Engaged solely in activities that are permissible for a national bank;
(B) Engaged in activities not permissible for a national bank, but only if acting solely as agent for its customers and such agency position is clearly documented in the state savings association's files;
(C) Engaged solely in mortgage-banking activities;
(D)
(1) Itself an insured depository institution or a company the sole investment of which is an insured depository institution, and
(2) Was acquired by the parent state savings association prior to May 1, 1989; or
(E) A subsidiary of any state savings association existing as a state savings association on August 9, 1989 that -
(1) Was chartered prior to October 15, 1982, as a savings bank or a cooperative bank under state law, or
(2) Acquired its principal assets from an association that was chartered prior to October 15, 1982, as a savings bank or a cooperative bank under state law.
(9) Identified losses. An FDIC-supervised institution must deduct identified losses (to the extent that common equity tier 1 capital would have been reduced if the appropriate accounting entries to reflect the identified losses had been recorded on the FDIC-supervised institution's books).
(b) Regulatory adjustments to common equity tier 1 capital.
(1) An FDIC-supervised institution must adjust the sum of common equity tier 1 capital elements pursuant to the requirements set forth in this paragraph (b). Such adjustments to common equity tier 1 capital must be made net of the associated deferred tax effects.
(i) An FDIC-supervised institution that makes an AOCI opt-out election (as defined in paragraph (b)(2) of this section) must make the adjustments required under § 324.22(b)(2)(i).
(ii) An FDIC-supervised institution that is an advanced approaches FDIC-supervised institution, and an FDIC-supervised institution that has not made an AOCI opt-out election (as defined in paragraph (b)(2) of this section), must deduct any accumulated net gains and add any accumulated net losses on cash flow hedges included in AOCI that relate to the hedging of items that are not recognized at fair value on the balance sheet.
(iii) An FDIC-supervised institution must deduct any net gain and add any net loss related to changes in the fair value of liabilities that are due to changes in the FDIC-supervised institution's own credit risk. An advanced approaches FDIC-supervised institution must deduct the difference between its credit spread premium and the risk-free rate for derivatives that are liabilities as part of this adjustment.
(2) AOCI opt-out election.
(i) An FDIC-supervised institution that is not an advanced approaches FDIC-supervised institution may make a one-time election to opt out of the requirement to include all components of AOCI (with the exception of accumulated net gains and losses on cash flow hedges related to items that are not fair-valued on the balance sheet) in common equity tier 1 capital (AOCI opt-out election). An FDIC-supervised institution that makes an AOCI opt-out election in accordance with this paragraph (b)(2) must adjust common equity tier 1 capital as follows:
(A) Subtract any net unrealized gains and add any net unrealized losses on available-for-sale securities;
(B) Subtract any net unrealized losses on available-for-sale preferred stock classified as an equity security under GAAP and available-for-sale equity exposures;
(C) Subtract any accumulated net gains and add any accumulated net losses on cash flow hedges;
(D) Subtract any amounts recorded in AOCI attributed to defined benefit postretirement plans resulting from the initial and subsequent application of the relevant GAAP standards that pertain to such plans (excluding, at the FDIC-supervised institution's option, the portion relating to pension assets deducted under paragraph (a)(5) of this section); and
(E) Subtract any net unrealized gains and add any net unrealized losses on held-to-maturity securities that are included in AOCI.
(ii) An FDIC-supervised institution that is not an advanced approaches FDIC-supervised institution must make its AOCI opt-out election in the Call Report:
(A) If the FDIC-supervised institution is a Category III FDIC-supervised institution or a Category IV FDIC-supervised institution, during the first reporting period after the FDIC-supervised institution meets the definition of a Category III FDIC-supervised institution or a Category IV FDIC-supervised institution in § 324.2; or
(B) If the FDIC-supervised institution is not a Category III FDIC-supervised institution or a Category IV FDIC-supervised institution, during the first reporting period after the FDIC-supervised institution is required to comply with subpart A of this part as set forth in § 324.1(f).
(iii) With respect to an FDIC-supervised institution that is not an advanced approaches FDIC-supervised institution, each of its subsidiary banking organizations that is subject to regulatory capital requirements issued by the Federal Reserve, the FDIC, or the OCC[22] must elect the same option as the FDIC-supervised institution pursuant to this paragraph (b)(2).
(iv) With prior notice to the FDIC, an FDIC-supervised institution resulting from a merger, acquisition, or purchase transaction and that is not an advanced approaches FDIC-supervised institution may change its AOCI opt-out election in its Call Report filed for the first reporting period after the date required for such FDIC-supervised institution to comply with subpart A of this part as set forth in § 324.1(f) if:
(A) Other than as set forth in paragraph (b)(2)(iv)(C) of this section, the merger, acquisition, or purchase transaction involved the acquisition or purchase of all or substantially all of either the assets or voting stock of another banking organization that is subject to regulatory capital requirements issued by the Federal Reserve, the FDIC, or the OCC;
(B) Prior to the merger, acquisition, or purchase transaction, only one of the banking organizations involved in the transaction made an AOCI opt-out election under this section; and
(C) An FDIC-supervised institution may, with the prior approval of the FDIC, change its AOCI opt-out election under this paragraph (b) in the case of a merger, acquisition, or purchase transaction that meets the requirements set forth at paragraph (b)(2)(iv)(B) of this section, but does not meet the requirements of paragraph (b)(2)(iv)(A). In making such a determination, the FDIC may consider the terms of the merger, acquisition, or purchase transaction, as well as the extent of any changes to the risk profile, complexity, and scope of operations of the FDIC-supervised institution resulting from the merger, acquisition, or purchase transaction.
(c) Deductions from regulatory capital related to investments in capital instruments or covered debt instruments[23] -
(1) Investment in the FDIC-supervised institution's own capital instruments. An FDIC-supervised institution must deduct an investment in its own capital instruments, as follows:
(i) An FDIC-supervised institution must deduct an investment in the FDIC-supervised institution's own common stock instruments from its common equity tier 1 capital elements to the extent such instruments are not excluded from regulatory capital under § 324.20(b)(1);
(ii) An FDIC-supervised institution must deduct an investment in the FDIC-supervised institution's own additional tier 1 capital instruments from its additional tier 1 capital elements; and
(iii) An FDIC-supervised institution must deduct an investment in the FDIC-supervised institution's own tier 2 capital instruments from its tier 2 capital elements.
(2) Corresponding deduction approach. For purposes of subpart C of this part, the corresponding deduction approach is the methodology used for the deductions from regulatory capital related to reciprocal cross holdings (as described in paragraph (c)(3) of this section), investments in the capital of unconsolidated financial institutions for an FDIC-supervised institution that is not an advanced approaches FDIC-supervised institution (as described in paragraph (c)(4) of this section), non-significant investments in the capital of unconsolidated financial institutions for an advanced approaches FDIC-supervised institution (as described in paragraph (c)(5) of this section), and non-common stock significant investments in the capital of unconsolidated financial institutions for an advanced approaches FDIC-supervised institution (as described in paragraph (c)(6) of this section). Under the corresponding deduction approach, an FDIC-supervised institution must make deductions from the component of capital for which the underlying instrument would qualify if it were issued by the FDIC-supervised institution itself, as described in paragraphs (c)(2)(i) through (iii) of this section. If the FDIC-supervised institution does not have a sufficient amount of a specific component of capital to effect the required deduction, the shortfall must be deducted according to paragraph (f) of this section.
(i) If an investment is in the form of an instrument issued by a financial institution that is not a regulated financial institution, the FDIC-supervised institution must treat the instrument as:
(A) A common equity tier 1 capital instrument if it is common stock or represents the most subordinated claim in a liquidation of the financial institution; and
(B) An additional tier 1 capital instrument if it is subordinated to all creditors of the financial institution and is senior in liquidation only to common shareholders.
(ii) If an investment is in the form of an instrument issued by a regulated financial institution and the instrument does not meet the criteria for common equity tier 1, additional tier 1 or tier 2 capital instruments under § 324.20, the FDIC-supervised institution must treat the instrument as:
(A) A common equity tier 1 capital instrument if it is common stock included in GAAP equity or represents the most subordinated claim in liquidation of the financial institution;
(B) An additional tier 1 capital instrument if it is included in GAAP equity, subordinated to all creditors of the financial institution, and senior in a receivership, insolvency, liquidation, or similar proceeding only to common shareholders;
(C) A tier 2 capital instrument if it is not included in GAAP equity but considered regulatory capital by the primary supervisor of the financial institution; and
(D) For an advanced approaches FDIC-supervised institution, a tier 2 capital instrument if it is a covered debt instrument.
(iii) If an investment is in the form of a non-qualifying capital instrument (as defined in § 324.300(c)), the FDIC-supervised institution must treat the instrument as:
(A) An additional tier 1 capital instrument if such instrument was included in the issuer's tier 1 capital prior to May 19, 2010; or
(B) A tier 2 capital instrument if such instrument was included in the issuer's tier 2 capital (but not includable in tier 1 capital) prior to May 19, 2010.
(3) Reciprocal cross holdings in the capital of financial institutions.
(i) An FDIC-supervised institution must deduct an investment in the capital of other financial institutions that it holds reciprocally, where such reciprocal cross holdings result from a formal or informal arrangement to swap, exchange, or otherwise intend to hold each other's capital instruments, by applying the corresponding deduction approach in paragraph (c)(2) of this section.
(ii) An advanced approaches FDIC-supervised institution must deduct an investment in any covered debt instrument that the institution holds reciprocally with another financial institution, where such reciprocal cross holdings result from a formal or informal arrangement to swap, exchange, or otherwise intend to hold each other's capital or covered debt instruments, by applying the corresponding deduction approach in paragraph (c)(2) of this section.
(4) Investments in the capital of unconsolidated financial institutions. An FDIC-supervised institution that is not an advanced approaches FDIC-supervised institution must deduct its investments in the capital of unconsolidated financial institutions (as defined in § 324.2) that exceed 25 percent of the sum of the FDIC-supervised institution's common equity tier 1 capital elements minus all deductions from and adjustments to common equity tier 1 capital elements required under paragraphs (a) through (c)(3) of this section by applying the corresponding deduction approach in paragraph (c)(2) of this section.[24] The deductions described in this section are net of associated DTLs in accordance with paragraph (e) of this section. In addition, with the prior written approval of the FDIC, an FDIC-supervised institution that underwrites a failed underwriting, for the period of time stipulated by the FDIC, is not required to deduct an investment in the capital of an unconsolidated financial institution pursuant to this paragraph (c) to the extent the investment is related to the failed underwriting.[25]
(5) Non-significant investments in the capital of unconsolidated financial institutions.
(i) An advanced approaches FDIC-supervised institution must deduct its non-significant investments in the capital of unconsolidated financial institutions (as defined in § 324.2) that, in the aggregate and together with any investment in a covered debt instrument (as defined in § 324.2) issued by a financial institution in which the FDIC-supervised institution does not have a significant investment in the capital of the unconsolidated financial institution (as defined in § 324.2), exceeds 10 percent of the sum of the advanced approaches FDIC-supervised institution's common equity tier 1 capital elements minus all deductions from and adjustments to common equity tier 1 capital elements required under paragraphs (a) through (c)(3) of this section (the 10 percent threshold for non-significant investments) by applying the corresponding deduction approach in paragraph (c)(2) of this section.[26] The deductions described in this paragraph are net of associated DTLs in accordance with paragraph (e) of this section. In addition, with the prior written approval of the FDIC, an advanced approaches FDIC-supervised institution that underwrites a failed underwriting, for the period of time stipulated by the FDIC, is not required to deduct from capital a non-significant investment in the capital of an unconsolidated financial institution or an investment in a covered debt instrument pursuant to this paragraph (c)(5) to the extent the investment is related to the failed underwriting.[27] For any calculation under this paragraph (c)(5)(i), an advanced approaches FDIC-supervised institution may exclude the amount of an investment in a covered debt instrument under paragraph (c)(5)(iii) or (iv) of this section, as applicable.
(ii) For an advanced approaches FDIC-supervised institution, the amount to be deducted under this paragraph (c)(5) from a specific capital component is equal to:
(A) The advanced approaches FDIC-supervised institution's aggregate non-significant investments in the capital of an unconsolidated financial institution and, if applicable, any investments in a covered debt instrument subject to deduction under this paragraph (c)(5), exceeding the 10 percent threshold for non-significant investments, multiplied by
(B) The ratio of the advanced approaches FDIC-supervised institution's aggregate non-significant investments in the capital of an unconsolidated financial institution (in the form of such capital component) to the advanced approaches FDIC-supervised institution's total non-significant investments in unconsolidated financial institutions, with an investment in a covered debt instrument being treated as tier 2 capital for this purpose.
(iii) For purposes of applying the deduction under paragraph (c)(5)(i) of this section, an advanced approaches FDIC-supervised institution that is not a subsidiary of a global systemically important banking organization, as defined in 12 CFR 252.2, may exclude from the deduction the amount of the FDIC-supervised institution's gross long position, in accordance with § 324.22(h)(2), in investments in covered debt instruments issued by financial institutions in which the FDIC-supervised institution does not have a significant investment in the capital of the unconsolidated financial institutions up to an amount equal to 5 percent of the sum of the FDIC-supervised institution's common equity tier 1 capital elements minus all deductions from and adjustments to common equity tier 1 capital elements required under paragraphs (a) through (c)(3) of this section, net of associated DTLs in accordance with paragraph (e) of this section.
(iv) Prior to applying the deduction under paragraph (c)(5)(i) of this section:
(A) An FDIC-supervised institution that is a subsidiary of a global systemically important BHC, as defined in 12 CFR 252.2, may designate any investment in a covered debt instrument as an excluded covered debt instrument, as defined in § 324.2.
(B) An FDIC-supervised institution that is a subsidiary of a global systemically important BHC, as defined in 12 CFR 252.2, must deduct, according to the corresponding deduction approach in paragraph (c)(2) of this section, its gross long position, calculated in accordance with paragraph (h)(2) of this section, in a covered debt instrument that was originally designated as an excluded covered debt instrument, in accordance with paragraph (c)(5)(iv)(A) of this section, but no longer qualifies as an excluded covered debt instrument.
(C) An FDIC-supervised institution that is a subsidiary of a global systemically important BHC, as defined in 12 CFR 252.2, must deduct according to the corresponding deduction approach in paragraph (c)(2) of this section the amount of its gross long position, calculated in accordance with paragraph (h)(2) of this section, in a direct or indirect investment in a covered debt instrument that was originally designated as an excluded covered debt instrument, in accordance with paragraph (c)(5)(iv)(A) of this section, and has been held for more than thirty business days.
(D) An FDIC-supervised institution that is a subsidiary of a global systemically important BHC, as defined in 12 CFR 252.2, must deduct according to the corresponding deduction approach in paragraph (c)(2) of this section its gross long position, calculated in accordance with paragraph (h)(2) of this section, of its aggregate position in excluded covered debt instruments that exceeds 5 percent of the sum of the FDIC-supervised institution's common equity tier 1 capital elements minus all deductions from and adjustments to common equity tier 1 capital elements required under paragraphs (a) through (c)(3) of this section, net of associated DTLs in accordance with paragraph (e) of this section.
(6) Significant investments in the capital of unconsolidated financial institutions that are not in the form of common stock. If an advanced approaches FDIC-supervised institution has a significant investment in the capital of an unconsolidated financial institution, the advanced approaches FDIC-supervised institution must deduct from capital any such investment issued by the unconsolidated financial institution that is held by the FDIC-supervised institution other than an investment in the form of common stock, as well as any investment in a covered debt instrument issued by the unconsolidated financial institution, by applying the corresponding deduction approach in paragraph (c)(2) of this section.[28] The deductions described in this section are net of associated DTLs in accordance with paragraph (e) of this section. In addition, with the prior written approval of the FDIC, for the period of time stipulated by the FDIC, an advanced approaches FDIC-supervised institution that underwrites a failed underwriting is not required to deduct the significant investment in the capital of an unconsolidated financial institution or an investment in a covered debt instrument pursuant to this paragraph (c)(6) if such investment is related to such failed underwriting.
(d) MSAs and certain DTAs subject to common equity tier 1 capital deduction thresholds.
(1) An FDIC-supervised institution that is not an advanced approaches FDIC-supervised institution must make deductions from regulatory capital as described in this paragraph (d)(1).
(i) The FDIC-supervised institution must deduct from common equity tier 1 capital elements the amount of each of the items set forth in this paragraph (d)(1) that, individually, exceeds 25 percent of the sum of the FDIC-supervised institution's common equity tier 1 capital elements, less adjustments to and deductions from common equity tier 1 capital required under paragraphs (a) through (c)(3) of this section (the 25 percent common equity tier 1 capital deduction threshold).[29]
(ii) The FDIC-supervised institution must deduct from common equity tier 1 capital elements the amount of DTAs arising from temporary differences that the FDIC-supervised institution could not realize through net operating loss carrybacks, net of any related valuation allowances and net of DTLs, in accordance with paragraph (e) of this section. An FDIC-supervised institution is not required to deduct from the sum of its common equity tier 1 capital elements DTAs (net of any related valuation allowances and net of DTLs, in accordance with § 324.22(e)) arising from timing differences that the FDIC-supervised institution could realize through net operating loss carrybacks. The FDIC-supervised institution must risk weight these assets at 100 percent. For an FDIC-supervised institution that is a member of a consolidated group for tax purposes, the amount of DTAs that could be realized through net operating loss carrybacks may not exceed the amount that the FDIC-supervised institution could reasonably expect to have refunded by its parent holding company.
(iii) The FDIC-supervised institution must deduct from common equity tier 1 capital elements the amount of MSAs net of associated DTLs, in accordance with paragraph (e) of this section.
(iv) For purposes of calculating the amount of DTAs subject to deduction pursuant to paragraph (d)(1) of this section, an FDIC-supervised institution may exclude DTAs and DTLs relating to adjustments made to common equity tier 1 capital under paragraph (b) of this section. An FDIC-supervised institution that elects to exclude DTAs relating to adjustments under paragraph (b) of this section also must exclude DTLs and must do so consistently in all future calculations. An FDIC-supervised institution may change its exclusion preference only after obtaining the prior approval of the FDIC.
(2) An advanced approaches FDIC-supervised institution must make deductions from regulatory capital as described in this paragraph (d)(2).
(i) An advanced approaches FDIC-supervised institution must deduct from common equity tier 1 capital elements the amount of each of the items set forth in this paragraph (d)(2) that, individually, exceeds 10 percent of the sum of the advanced approaches FDIC-supervised institution's common equity tier 1 capital elements, less adjustments to and deductions from common equity tier 1 capital required under paragraphs (a) through (c) of this section (the 10 percent common equity tier 1 capital deduction threshold).
(A) DTAs arising from temporary differences that the advanced approaches FDIC-supervised institution could not realize through net operating loss carrybacks, net of any related valuation allowances and net of DTLs, in accordance with paragraph (e) of this section. An advanced approaches FDIC-supervised institution is not required to deduct from the sum of its common equity tier 1 capital elements DTAs (net of any related valuation allowances and net of DTLs, in accordance with § 324.22(e)) arising from timing differences that the advanced approaches FDIC-supervised institution could realize through net operating loss carrybacks. The advanced approaches FDIC-supervised institution must risk weight these assets at 100 percent. For an FDIC-supervised institution that is a member of a consolidated group for tax purposes, the amount of DTAs that could be realized through net operating loss carrybacks may not exceed the amount that the FDIC-supervised institution could reasonably expect to have refunded by its parent holding company.
(B) MSAs net of associated DTLs, in accordance with paragraph (e) of this section.
(C) Significant investments in the capital of unconsolidated financial institutions in the form of common stock, net of associated DTLs in accordance with paragraph (e) of this section.[30] Significant investments in the capital of unconsolidated financial institutions in the form of common stock subject to the 10 percent common equity tier 1 capital deduction threshold may be reduced by any goodwill embedded in the valuation of such investments deducted by the advanced approaches FDIC-supervised institution pursuant to paragraph (a)(1) of this section. In addition, with the prior written approval of the FDIC, for the period of time stipulated by the FDIC, an advanced approaches FDIC-supervised institution that underwrites a failed underwriting is not required to deduct a significant investment in the capital of an unconsolidated financial institution in the form of common stock pursuant to this paragraph (d)(2) if such investment is related to such failed underwriting.
(ii) An advanced approaches FDIC-supervised institution must deduct from common equity tier 1 capital elements the items listed in paragraph (d)(2)(i) of this section that are not deducted as a result of the application of the 10 percent common equity tier 1 capital deduction threshold, and that, in aggregate, exceed 17.65 percent of the sum of the advanced approaches FDIC-supervised institution's common equity tier 1 capital elements, minus adjustments to and deductions from common equity tier 1 capital required under paragraphs (a) through (c) of this section, minus the items listed in paragraph (d)(2)(i) of this section (the 15 percent common equity tier 1 capital deduction threshold). Any goodwill that has been deducted under paragraph (a)(1) of this section can be excluded from the significant investments in the capital of unconsolidated financial institutions in the form of common stock.[31]
(iii) For purposes of calculating the amount of DTAs subject to the 10 and 15 percent common equity tier 1 capital deduction thresholds, an advanced approaches FDIC-supervised institution may exclude DTAs and DTLs relating to adjustments made to common equity tier 1 capital under paragraph (b) of this section. An advanced approaches FDIC-supervised institution that elects to exclude DTAs relating to adjustments under paragraph (b) of this section also must exclude DTLs and must do so consistently in all future calculations. An advanced approaches FDIC-supervised institution may change its exclusion preference only after obtaining the prior approval of the FDIC.
(e) Netting of DTLs against assets subject to deduction.
(1) Except as described in paragraph (e)(3) of this section, netting of DTLs against assets that are subject to deduction under this section is permitted, but not required, if the following conditions are met:
(i) The DTL is associated with the asset; and
(ii) The DTL would be extinguished if the associated asset becomes impaired or is derecognized under GAAP.
(2) A DTL may only be netted against a single asset.
(3) For purposes of calculating the amount of DTAs subject to the threshold deduction in paragraph (d) of this section, the amount of DTAs that arise from net operating loss and tax credit carryforwards, net of any related valuation allowances, and of DTAs arising from temporary differences that the FDIC-supervised institution could not realize through net operating loss carrybacks, net of any related valuation allowances, may be offset by DTLs (that have not been netted against assets subject to deduction pursuant to paragraph (e)(1) of this section) subject to the conditions set forth in this paragraph (e).
(i) Only the DTAs and DTLs that relate to taxes levied by the same taxation authority and that are eligible for offsetting by that authority may be offset for purposes of this deduction.
(ii) The amount of DTLs that the FDIC-supervised institution nets against DTAs that arise from net operating loss and tax credit carryforwards, net of any related valuation allowances, and against DTAs arising from temporary differences that the FDIC-supervised institution could not realize through net operating loss carrybacks, net of any related valuation allowances, must be allocated in proportion to the amount of DTAs that arise from net operating loss and tax credit carryforwards (net of any related valuation allowances, but before any offsetting of DTLs) and of DTAs arising from temporary differences that the FDIC-supervised institution could not realize through net operating loss carrybacks (net of any related valuation allowances, but before any offsetting of DTLs), respectively.
(4) An FDIC-supervised institution may offset DTLs embedded in the carrying value of a leveraged lease portfolio acquired in a business combination that are not recognized under GAAP against DTAs that are subject to paragraph (d) of this section in accordance with this paragraph (e).
(5) An FDIC-supervised institution must net DTLs against assets subject to deduction under this section in a consistent manner from reporting period to reporting period. An FDIC-supervised institution may change its preference regarding the manner in which it nets DTLs against specific assets subject to deduction under this section only after obtaining the prior approval of the FDIC.
(f) Insufficient amounts of a specific regulatory capital component to effect deductions. Under the corresponding deduction approach, if an FDIC-supervised institution does not have a sufficient amount of a specific component of capital to effect the full amount of any deduction from capital required under paragraph (d) of this section, the FDIC-supervised institution must deduct the shortfall amount from the next higher (that is, more subordinated) component of regulatory capital. Any investment by an advanced approaches FDIC-supervised institution in a covered debt instrument must be treated as an investment in the tier 2 capital for purposes of this paragraph (f). Notwithstanding any other provision of this section, a qualifying community banking organization (as defined in § 324.12) that has elected to use the community bank leverage ratio framework pursuant to § 324.12 is not required to deduct any shortfall of tier 2 capital from its additional tier 1 capital or common equity tier 1 capital.
(g) Treatment of assets that are deducted. An FDIC-supervised institution must exclude from standardized total risk-weighted assets and, as applicable, advanced approaches total risk-weighted assets any item that is required to be deducted from regulatory capital.
(h) Net long position -
(1) In general. For purposes of calculating the amount of an FDIC-supervised institution's investment in the FDIC-supervised institution's own capital instrument, investment in the capital of an unconsolidated financial institution, and investment in a covered debt instrument under this section, the institution's net long position is the gross long position in the underlying instrument determined in accordance with paragraph (h)(2) of this section, as adjusted to recognize any short position by the FDIC-supervised institution in the same instrument subject to paragraph (h)(3) of this section.
(2) Gross long position. A gross long position is determined as follows:
(i) For an equity exposure that is held directly by the FDIC-supervised institution, the adjusted carrying value of the exposure as that term is defined in § 324.51(b);
(ii) For an exposure that is held directly and that is not an equity exposure or a securitization exposure, the exposure amount as that term is defined in § 324.2;
(iii) For each indirect exposure, the FDIC-supervised institution's carrying value of its investment in an investment fund or, alternatively:
(A) An FDIC-supervised institution may, with the prior approval of the FDIC, use a conservative estimate of the amount of its indirect investment in the FDIC-supervised institution's own capital instruments, its indirect investment in the capital of an unconsolidated financial institution, or its indirect investment in a covered debt instrument held through a position in an index, as applicable; or
(B) An FDIC-supervised institution may calculate the gross long position for an indirect exposure to the FDIC-supervised institution's own capital instruments, the capital of an unconsolidated financial institution, or a covered debt instrument by multiplying the FDIC-supervised institution's carrying value of its investment in the investment fund by either:
(1) The highest stated investment limit (in percent) for an investment in the FDIC-supervised institution's own capital instruments, an investment in the capital of an unconsolidated financial institution, or an investment in a covered debt instrument, as applicable, as stated in the prospectus, partnership agreement, or similar contract defining permissible investments of the investment fund; or
(2) The investment fund's actual holdings (in percent) of the investment in the FDIC-supervised institution's own capital instruments, investment in the capital of an unconsolidated financial institution, or investment in a covered debt instrument, as applicable; and
(iv) For a synthetic exposure, the amount of the FDIC-supervised institution's loss on the exposure if the reference capital or covered debt instrument were to have a value of zero.
(3) Adjustments to reflect a short position. In order to adjust the gross long position to recognize a short position in the same instrument under paragraph (h)(1) of this section, the following criteria must be met:
(i) The maturity of the short position must match the maturity of the long position, or the short position must have a residual maturity of at least one year (maturity requirement); or
(ii) For a position that is a trading asset or trading liability (whether on- or off-balance sheet) as reported on the FDIC-supervised institution's Call Report, if the FDIC-supervised institution has a contractual right or obligation to sell the long position at a specific point in time and the counterparty to the contract has an obligation to purchase the long position if the FDIC-supervised institution exercises its right to sell, this point in time may be treated as the maturity of the long position such that the maturity of the long position and short position are deemed to match for purposes of the maturity requirement, even if the maturity of the short position is less than one year; and
(iii) For an investment in an FDIC-supervised institution's own capital instrument under paragraph (c)(1) of this section, an investment in the capital of an unconsolidated financial institution under paragraphs (c)(4) through (6) and (d) of this section (as applicable), and an investment in a covered debt instrument under paragraphs (c)(1), (5), and (6) of this section:
(A) The FDIC-supervised institution may only net a short position against a long position in an investment in the FDIC-supervised institution's own capital instrument under paragraph (c)(1) of this section if the short position involves no counterparty credit risk;
(B) A gross long position in an investment in the FDIC-supervised institution's own capital instrument, an investment in the capital of an unconsolidated financial institution, or an investment in a covered debt instrument due to a position in an index may be netted against a short position in the same index;
(C) Long and short positions in the same index without maturity dates are considered to have matching maturities; and
(D) A short position in an index that is hedging a long cash or synthetic position in an investment in the FDIC-supervised institution's own capital instrument, an investment in the capital instrument of an unconsolidated financial institution, or an investment in a covered debt instrument can be decomposed to provide recognition of the hedge. More specifically, the portion of the index that is composed of the same underlying instrument that is being hedged may be used to offset the long position if both the long position being hedged and the short position in the index are reported as a trading asset or trading liability (whether on- or off-balance sheet) on the FDIC-supervised institution's Call Report, and the hedge is deemed effective by the FDIC-supervised institution's internal control processes, which have not been found to be inadequate by the FDIC.
[78 FR 55471, Sept. 10, 2013, as amended at 79 FR 20759, Apr. 14, 2014; 80 FR 41422, July 15, 2015; 81 FR 71354, Oct. 17, 2016; 83 FR 17740, Apr. 24, 2018; 84 FR 4247, Feb. 14, 2019; 84 FR 35272, July 22, 2019; 84 FR 59279, Nov. 1, 2019; 84 FR 61803, Nov. 13, 2019; 86 FR 742, Jan. 6, 2021]
[22] These rules include the regulatory capital requirements set forth at 12 CFR part 3 (OCC); 12 CFR part 217 (Board); 12 CFR part 324 (FDIC).
[23] The FDIC-supervised institution must calculate amounts deducted under paragraphs (c) through (f) of this section after it calculates the amount of ALLL or AACL, as applicable, includable in tier 2 capital under § 324.20(d)(3).
[24] With the prior written approval of the FDIC, for the period of time stipulated by the FDIC, an FDIC-supervised institution that is not an advanced approaches FDIC-supervised institution, is not required to deduct an investment in the capital of an unconsolidated financial institution pursuant to this paragraph if the financial institution is in distress and if such investment is made for the purpose of providing financial support to the financial institution, as determined by the FDIC.
[25] Any investments in the capital of an unconsolidated financial institution that do not exceed the 25 percent threshold for investments in the capital of unconsolidated financial institutions under this section must be assigned the appropriate risk weight under subparts D or F of this part, as applicable.
[26] With the prior written approval of the FDIC, for the period of time stipulated by the FDIC, an advanced approaches FDIC-supervised institution is not required to deduct a non-significant investment in the capital of an unconsolidated financial institution or an investment in a covered debt instrument pursuant to this paragraph if the financial institution is in distress and if such investment is made for the purpose of providing financial support to the financial institution, as determined by the FDIC.
[27] Any non-significant investment in the capital of an unconsolidated financial institution or any investment in a covered debt instrument that is not required to be deducted under this paragraph (c)(5) or otherwise under this section must be assigned the appropriate risk weight under subparts D, E, or F of this part, as applicable.
[28] With prior written approval of the FDIC, for the period of time stipulated by the FDIC, an advanced approaches FDIC-supervised institution is not required to deduct a significant investment in the capital of an unconsolidated financial institution, including an investment in a covered debt instrument, under this paragraph (c)(6) or otherwise under this section if such investment is made for the purpose of providing financial support to the financial institution as determined by the FDIC.
[29] The amount of the items in paragraph (d)(1) of this section that is not deducted from common equity tier 1 capital must be included in the risk-weighted assets of the FDIC-supervised institution and assigned a 250 percent risk weight.
[30] With the prior written approval of the FDIC, for the period of time stipulated by the FDIC, an advanced approaches FDIC-supervised institution is not required to deduct a significant investment in the capital instrument of an unconsolidated financial institution in distress in the form of common stock pursuant to this section if such investment is made for the purpose of providing financial support to the financial institution as determined by the FDIC.
[31] The amount of the items in paragraph (d)(2) of this section that is not deducted from common equity tier 1 capital pursuant to this section must be included in the risk-weighted assets of the advanced approaches FDIC-supervised institution and assigned a 250 percent risk weight.
(a) This subpart sets forth methodologies for determining risk-weighted assets for purposes of the generally applicable risk-based capital requirements for all FDIC-supervised institutions.
(b) Notwithstanding paragraph (a) of this section, a market risk FDIC-supervised institution must exclude from its calculation of risk-weighted assets under this subpart the risk-weighted asset amounts of all covered positions, as defined in subpart F of this part (except foreign exchange positions that are not trading positions, OTC derivative positions, cleared transactions, and unsettled transactions).
(a) General risk-weighting requirements. An FDIC-supervised institution must apply risk weights to its exposures as follows:
(1) An FDIC-supervised institution must determine the exposure amount of each on-balance sheet exposure, each OTC derivative contract, and each off-balance sheet commitment, trade and transaction-related contingency, guarantee, repo-style transaction, financial standby letter of credit, forward agreement, or other similar transaction that is not:
(i) An unsettled transaction subject to § 324.38;
(ii) A cleared transaction subject to § 324.35;
(iii) A default fund contribution subject to § 324.35;
(2) The FDIC-supervised institution must multiply each exposure amount by the risk weight appropriate to the exposure based on the exposure type or counterparty, eligible guarantor, or financial collateral to determine the risk-weighted asset amount for each exposure.
(b) Total risk-weighted assets for general credit risk equals the sum of the risk-weighted asset amounts calculated under this section.
(a) Sovereign exposures -
(1) Exposures to the U.S. government.
(i) Notwithstanding any other requirement in this subpart, an FDIC-supervised institution must assign a zero percent risk weight to:
(A) An exposure to the U.S. government, its central bank, or a U.S. government agency; and
(B) The portion of an exposure that is directly and unconditionally guaranteed by the U.S. government, its central bank, or a U.S. government agency. This includes a deposit or other exposure, or the portion of a deposit or other exposure, that is insured or otherwise unconditionally guaranteed by the FDIC or National Credit Union Administration.
(ii) An FDIC-supervised institution must assign a 20 percent risk weight to the portion of an exposure that is conditionally guaranteed by the U.S. government, its central bank, or a U.S. government agency. This includes an exposure, or the portion of an exposure, that is conditionally guaranteed by the FDIC or National Credit Union Administration.
(iii) An FDIC-supervised institution must assign a zero percent risk weight to a Paycheck Protection Program covered loan as defined in section 7(a)(36) of the Small Business Act (15 U.S.C. 636(a)(36)).
(2) Other sovereign exposures. In accordance with Table 1 to § 324.32, an FDIC-supervised institution must assign a risk weight to a sovereign exposure based on the CRC applicable to the sovereign or the sovereign's OECD membership status if there is no CRC applicable to the sovereign.
Table 1 to § 324.32 - Risk Weights for Sovereign Exposures
| Risk Weight (in percent) |
||
| CRC | 0-1 | 0 |
| 2 | 20 | |
| 3 | 50 | |
| 4-6 | 100 | |
| 7 | 150 | |
| OECD Member with No CRC | 0 | |
| Non-OECD Member with No CRC | 100 | |
| Sovereign Default | 150 | |
(3) Certain sovereign exposures. Notwithstanding paragraph (a)(2) of this section, an FDIC-supervised institution may assign to a sovereign exposure a risk weight that is lower than the applicable risk weight in Table 1 to § 324.32 if:
(i) The exposure is denominated in the sovereign's currency;
(ii) The FDIC-supervised institution has at least an equivalent amount of liabilities in that currency; and
(iii) The risk weight is not lower than the risk weight that the home country supervisor allows FDIC-supervised institutions under its jurisdiction to assign to the same exposures to the sovereign.
(4) Exposures to a non-OECD member sovereign with no CRC. Except as provided in paragraphs (a)(3), (a)(5) and (a)(6) of this section, an FDIC-supervised institution must assign a 100 percent risk weight to an exposure to a sovereign if the sovereign does not have a CRC.
(5) Exposures to an OECD member sovereign with no CRC. Except as provided in paragraph (a)(6) of this section, an FDIC-supervised institution must assign a 0 percent risk weight to an exposure to a sovereign that is a member of the OECD if the sovereign does not have a CRC.
(6) Sovereign default. An FDIC-supervised institution must assign a 150 percent risk weight to a sovereign exposure immediately upon determining that an event of sovereign default has occurred, or if an event of sovereign default has occurred during the previous five years.
(b) Certain supranational entities and multilateral development banks (MDBs). An FDIC-supervised institution must assign a zero percent risk weight to an exposure to the Bank for International Settlements, the European Central Bank, the European Commission, the International Monetary Fund, the European Stability Mechanism, the European Financial Stability Facility, or an MDB.
(c) Exposures to GSEs.
(1) An FDIC-supervised institution must assign a 20 percent risk weight to an exposure to a GSE other than an equity exposure or preferred stock.
(2) An FDIC-supervised institution must assign a 100 percent risk weight to preferred stock issued by a GSE.
(d) Exposures to depository institutions, foreign banks, and credit unions -
(1) Exposures to U.S. depository institutions and credit unions. An FDIC-supervised institution must assign a 20 percent risk weight to an exposure to a depository institution or credit union that is organized under the laws of the United States or any state thereof, except as otherwise provided under paragraph (d)(3) of this section.
(2) Exposures to foreign banks.
(i) Except as otherwise provided under paragraphs (d)(2)(iii), (d)(2)(v), and (d)(3) of this section, an FDIC-supervised institution must assign a risk weight to an exposure to a foreign bank, in accordance with Table 2 to § 324.32, based on the CRC that corresponds to the foreign bank's home country or the OECD membership status of the foreign bank's home country if there is no CRC applicable to the foreign bank's home country.
Table 2 to § 324.32 - Risk Weights for Exposures to Foreign Banks
| Risk weight (in percent) |
|
|---|---|
| CRC: | |
| 0-1 | 20 |
| 2 | 50 |
| 3 | 100 |
| 4-7 | 150 |
| OECD Member with No CRC | 20 |
| Non-OECD Member with No CRC | 100 |
| Sovereign Default | 150 |
(ii) An FDIC-supervised institution must assign a 20 percent risk weight to an exposure to a foreign bank whose home country is a member of the OECD and does not have a CRC.
(iii) An FDIC-supervised institution must assign a 20 percent risk-weight to an exposure that is a self-liquidating, trade-related contingent item that arises from the movement of goods and that has a maturity of three months or less to a foreign bank whose home country has a CRC of 0, 1, 2, or 3, or is an OECD member with no CRC.
(iv) An FDIC-supervised institution must assign a 100 percent risk weight to an exposure to a foreign bank whose home country is not a member of the OECD and does not have a CRC, with the exception of self-liquidating, trade-related contingent items that arise from the movement of goods, and that have a maturity of three months or less, which may be assigned a 20 percent risk weight.
(v) An FDIC-supervised institution must assign a 150 percent risk weight to an exposure to a foreign bank immediately upon determining that an event of sovereign default has occurred in the bank's home country, or if an event of sovereign default has occurred in the foreign bank's home country during the previous five years.
(3) An FDIC-supervised institution must assign a 100 percent risk weight to an exposure to a financial institution if the exposure may be included in that financial institution's capital unless the exposure is:
(i) An equity exposure;
(ii) A significant investment in the capital of an unconsolidated financial institution in the form of common stock pursuant to § 324.22(d)(2)(i)(c);
(iii) Deducted from regulatory capital under § 324.22; or
(iv) Subject to a 150 percent risk weight under paragraph (d)(2)(iv) or Table 2 of paragraph (d)(2) of this section.
(e) Exposures to public sector entities (PSEs) -
(1) Exposures to U.S. PSEs.
(i) An FDIC-supervised institution must assign a 20 percent risk weight to a general obligation exposure to a PSE that is organized under the laws of the United States or any state or political subdivision thereof.
(ii) An FDIC-supervised institution must assign a 50 percent risk weight to a revenue obligation exposure to a PSE that is organized under the laws of the United States or any state or political subdivision thereof.
(2) Exposures to foreign PSEs.
(i) Except as provided in paragraphs (e)(1) and (e)(3) of this section, an FDIC-supervised institution must assign a risk weight to a general obligation exposure to a PSE, in accordance with Table 3 to § 324.32, based on the CRC that corresponds to the PSE's home country or the OECD membership status of the PSE's home country if there is no CRC applicable to the PSE's home country.
(ii) Except as provided in paragraphs (e)(1) and (e)(3) of this section, an FDIC-supervised institution must assign a risk weight to a revenue obligation exposure to a PSE, in accordance with Table 4 to § 324.32, based on the CRC that corresponds to the PSE's home country; or the OECD membership status of the PSE's home country if there is no CRC applicable to the PSE's home country.
(3) An FDIC-supervised institution may assign a lower risk weight than would otherwise apply under Tables 3 or 4 to § 324.32 to an exposure to a foreign PSE if:
(i) The PSE's home country supervisor allows banks under its jurisdiction to assign a lower risk weight to such exposures; and
(ii) The risk weight is not lower than the risk weight that corresponds to the PSE's home country in accordance with Table 1 to § 324.32.
Table 3 to § 324.32 - Risk Weights for non-U.S. PSE General Obligations
| Risk Weight (in percent) |
||
| CRC | 0-1 | 20 |
| 2 | 50 | |
| 3 | 100 | |
| 4-7 | 150 | |
| OECD Member with No CRC | 20 | |
| Non-OECD Member with No CRC | 100 | |
| Sovereign Default | 150 | |
Table 4 to § 324.32 - Risk Weights for non-U.S. PSE Revenue Obligations
| Risk Weight (in percent) |
||
| CRC | 0-1 | 50 |
| 2-3 | 50 | |
| 4-7 | 150 | |
| OECD Member with No CRC | 50 | |
| Non-OECD Member with No CRC | 100 | |
| Sovereign Default | 150 | |
(4) Exposures to PSEs from an OECD member sovereign with no CRC.
(i) An FDIC-supervised institution must assign a 20 percent risk weight to a general obligation exposure to a PSE whose home country is an OECD member sovereign with no CRC.
(ii) An FDIC-supervised institution must assign a 50 percent risk weight to a revenue obligation exposure to a PSE whose home country is an OECD member sovereign with no CRC.
(5) Exposures to PSEs whose home country is not an OECD member sovereign with no CRC. An FDIC-supervised institution must assign a 100 percent risk weight to an exposure to a PSE whose home country is not a member of the OECD and does not have a CRC.
(6) An FDIC-supervised institution must assign a 150 percent risk weight to a PSE exposure immediately upon determining that an event of sovereign default has occurred in a PSE's home country or if an event of sovereign default has occurred in the PSE's home country during the previous five years.
(f) Corporate exposures.
(1) An FDIC-supervised institution must assign a 100 percent risk weight to all its corporate exposures, except as provided in paragraphs (f)(2) and (f)(3) of this section.
(2) A FDIC-supervised institution must assign a 2 percent risk weight to an exposure to a QCCP arising from the FDIC-supervised institution posting cash collateral to the QCCP in connection with a cleared transaction that meets the requirements of § 324.35(b)(3)(i)(A) and a 4 percent risk weight to an exposure to a QCCP arising from the FDIC-supervised institution posting cash collateral to the QCCP in connection with a cleared transaction that meets the requirements of § 324.35(b)(3)(i)(B).
(3) A FDIC-supervised institution must assign a 2 percent risk weight to an exposure to a QCCP arising from the FDIC-supervised institution posting cash collateral to the QCCP in connection with a cleared transaction that meets the requirements of § 324.35(c)(3)(i).
(g) Residential mortgage exposures.
(1) An FDIC-supervised institution must assign a 50 percent risk weight to a first-lien residential mortgage exposure that:
(i) Is secured by a property that is either owner-occupied or rented;
(ii) Is made in accordance with prudent underwriting standards, including standards relating to the loan amount as a percent of the appraised value of the property;
(iii) Is not 90 days or more past due or carried in nonaccrual status; and
(iv) Is not restructured or modified.
(2) An FDIC-supervised institution must assign a 100 percent risk weight to a first-lien residential mortgage exposure that does not meet the criteria in paragraph (g)(1) of this section, and to junior-lien residential mortgage exposures.
(3) For the purpose of this paragraph (g), if an FDIC-supervised institution holds the first-lien and junior-lien(s) residential mortgage exposures, and no other party holds an intervening lien, the FDIC-supervised institution must combine the exposures and treat them as a single first-lien residential mortgage exposure.
(4) A loan modified or restructured solely pursuant to the U.S. Treasury's Home Affordable Mortgage Program is not modified or restructured for purposes of this section.
(h) Pre-sold construction loans. An FDIC-supervised institution must assign a 50 percent risk weight to a pre-sold construction loan unless the purchase contract is cancelled, in which case an FDIC-supervised institution must assign a 100 percent risk weight.
(i) Statutory multifamily mortgages. An FDIC-supervised institution must assign a 50 percent risk weight to a statutory multifamily mortgage.
(j) High-volatility commercial real estate (HVCRE) exposures. An FDIC-supervised institution must assign a 150 percent risk weight to an HVCRE exposure.
(k) Past due exposures. Except for an exposure to a sovereign entity or a residential mortgage exposure or a policy loan, if an exposure is 90 days or more past due or on nonaccrual:
(1) An FDIC-supervised institution must assign a 150 percent risk weight to the portion of the exposure that is not guaranteed or that is unsecured;
(2) An FDIC-supervised institution may assign a risk weight to the guaranteed portion of a past due exposure based on the risk weight that applies under § 324.36 if the guarantee or credit derivative meets the requirements of that section; and
(3) An FDIC-supervised institution may assign a risk weight to the collateralized portion of a past due exposure based on the risk weight that applies under § 324.37 if the collateral meets the requirements of that section.
(l) Other assets.
(1) An FDIC-supervised institution must assign a zero percent risk weight to cash owned and held in all offices of the FDIC-supervised institution or in transit; to gold bullion held in the FDIC-supervised institution's own vaults or held in another depository institution's vaults on an allocated basis, to the extent the gold bullion assets are offset by gold bullion liabilities; and to exposures that arise from the settlement of cash transactions (such as equities, fixed income, spot foreign exchange and spot commodities) with a central counterparty where there is no assumption of ongoing counterparty credit risk by the central counterparty after settlement of the trade and associated default fund contributions.
(2) An FDIC-supervised institution must assign a 20 percent risk weight to cash items in the process of collection.
(3) An FDIC-supervised institution must assign a 100 percent risk weight to DTAs arising from temporary differences that the FDIC-supervised institution could realize through net operating loss carrybacks.
(4) An FDIC-supervised institution must assign a 250 percent risk weight to the portion of each of the following items to the extent it is not deducted from common equity tier 1 capital pursuant to § 324.22(d):
(i) MSAs; and
(ii) DTAs arising from temporary differences that the FDIC-supervised institution could not realize through net operating loss carrybacks.
(5) An FDIC-supervised institution must assign a 100 percent risk weight to all assets not specifically assigned a different risk weight under this subpart and that are not deducted from tier 1 or tier 2 capital pursuant to § 324.22.
(6) Notwithstanding the requirements of this section, an FDIC-supervised institution may assign an asset that is not included in one of the categories provided in this section to the risk weight category applicable under the capital rules applicable to bank holding companies and savings and loan holding companies under 12 CFR part 217, provided that all of the following conditions apply:
(i) The FDIC-supervised institution is not authorized to hold the asset under applicable law other than debt previously contracted or similar authority; and
(ii) The risks associated with the asset are substantially similar to the risks of assets that are otherwise assigned to a risk weight category of less than 100 percent under this subpart.
[78 FR 55471, Sept. 10, 2013, as amended at 79 FR 20759, Apr. 14, 2014; 84 FR 35275, July 22, 2019; 85 FR 4431, Jan. 24, 2020; 85 FR 20394, Apr. 13, 2020; 85 FR 57963, Sept. 17, 2020]
(a) General.
(1) An FDIC-supervised institution must calculate the exposure amount of an off-balance sheet exposure using the credit conversion factors (CCFs) in paragraph (b) of this section.
(2) Where an FDIC-supervised institution commits to provide a commitment, the FDIC-supervised institution may apply the lower of the two applicable CCFs.
(3) Where an FDIC-supervised institution provides a commitment structured as a syndication or participation, the FDIC-supervised institution is only required to calculate the exposure amount for its pro rata share of the commitment.
(4) Where an FDIC-supervised institution provides a commitment, enters into a repurchase agreement, or provides a credit-enhancing representation and warranty, and such commitment, repurchase agreement, or credit-enhancing representation and warranty is not a securitization exposure, the exposure amount shall be no greater than the maximum contractual amount of the commitment, repurchase agreement, or credit-enhancing representation and warranty, as applicable.
(b) Credit conversion factors -
(1) Zero percent CCF. An FDIC-supervised institution must apply a zero percent CCF to the unused portion of a commitment that is unconditionally cancelable by the FDIC-supervised institution.
(2) 20 percent CCF. An FDIC-supervised institution must apply a 20 percent CCF to the amount of:
(i) Commitments with an original maturity of one year or less that are not unconditionally cancelable by the FDIC-supervised institution; and
(ii) Self-liquidating, trade-related contingent items that arise from the movement of goods, with an original maturity of one year or less.
(3) 50 percent CCF. An FDIC-supervised institution must apply a 50 percent CCF to the amount of:
(i) Commitments with an original maturity of more than one year that are not unconditionally cancelable by the FDIC-supervised institution; and
(ii) Transaction-related contingent items, including performance bonds, bid bonds, warranties, and performance standby letters of credit.
(4) 100 percent CCF. An FDIC-supervised institution must apply a 100 percent CCF to the amount of the following off-balance-sheet items and other similar transactions:
(i) Guarantees;
(ii) Repurchase agreements (the off-balance sheet component of which equals the sum of the current fair values of all positions the FDIC-supervised institution has sold subject to repurchase);
(iii) Credit-enhancing representations and warranties that are not securitization exposures;
(iv) Off-balance sheet securities lending transactions (the off-balance sheet component of which equals the sum of the current fair values of all positions the FDIC-supervised institution has lent under the transaction);
(v) Off-balance sheet securities borrowing transactions (the off-balance sheet component of which equals the sum of the current fair values of all non-cash positions the FDIC-supervised institution has posted as collateral under the transaction);
(vi) Financial standby letters of credit; and
(vii) Forward agreements.
(a) Exposure amount for derivative contracts -
(1) FDIC-supervised institution that is not an advanced approaches FDIC-supervised institution.
(i) A FDIC-supervised institution that is not an advanced approaches FDIC-supervised institution must use the current exposure methodology (CEM) described in paragraph (b) of this section to calculate the exposure amount for all its OTC derivative contracts, unless the FDIC-supervised institution makes the election provided in paragraph (a)(1)(ii) of this section.
(ii) A FDIC-supervised institution that is not an advanced approaches FDIC-supervised institution may elect to calculate the exposure amount for all its OTC derivative contracts under the standardized approach for counterparty credit risk (SA-CCR) in § 324.132(c) by notifying the FDIC, rather than calculating the exposure amount for all its derivative contracts using CEM. A FDIC-supervised institution that elects under this paragraph (a)(1)(ii) to calculate the exposure amount for its OTC derivative contracts under SA-CCR must apply the treatment of cleared transactions under § 324.133 to its derivative contracts that are cleared transactions and to all default fund contributions associated with such derivative contracts, rather than applying § 324.35. A FDIC-supervised institution that is not an advanced approaches FDIC-supervised institution must use the same methodology to calculate the exposure amount for all its derivative contracts and, if a FDIC-supervised institution has elected to use SA-CCR under this paragraph (a)(1)(ii), the FDIC-supervised institution may change its election only with prior approval of the FDIC.
(2) Advanced approaches FDIC-supervised institution. An advanced approaches FDIC-supervised institution must calculate the exposure amount for all its derivative contracts using SA-CCR in § 324.132(c) for purposes of standardized total risk-weighted assets. An advanced approaches FDIC-supervised institution must apply the treatment of cleared transactions under § 324.133 to its derivative contracts that are cleared transactions and to all default fund contributions associated with such derivative contracts for purposes of standardized total risk-weighted assets.
(b) Current exposure methodology exposure amount -
(1) Single OTC derivative contract. Except as modified by paragraph (c) of this section, the exposure amount for a single OTC derivative contract that is not subject to a qualifying master netting agreement is equal to the sum of the FDIC-supervised institution's current credit exposure and potential future credit exposure (PFE) on the OTC derivative contract.
(i) Current credit exposure. The current credit exposure for a single OTC derivative contract is the greater of the fair value of the OTC derivative contract or zero.
(ii) PFE.
(A) The PFE for a single OTC derivative contract, including an OTC derivative contract with a negative fair value, is calculated by multiplying the notional principal amount of the OTC derivative contract by the appropriate conversion factor in Table 1 to this section.
(B) For purposes of calculating either the PFE under this paragraph (b)(1)(ii) or the gross PFE under paragraph (b)(2)(ii)(A) of this section for exchange rate contracts and other similar contracts in which the notional principal amount is equivalent to the cash flows, notional principal amount is the net receipts to each party falling due on each value date in each currency.
(C) For an OTC derivative contract that does not fall within one of the specified categories in Table 1 to this section, the PFE must be calculated using the appropriate “other” conversion factor.
(D) A FDIC-supervised institution must use an OTC derivative contract's effective notional principal amount (that is, the apparent or stated notional principal amount multiplied by any multiplier in the OTC derivative contract) rather than the apparent or stated notional principal amount in calculating PFE.
(E) The PFE of the protection provider of a credit derivative is capped at the net present value of the amount of unpaid premiums.
Table 1 to § 324.34 - Conversion Factor Matrix for Derivative Contracts 1
| Remaining maturity 2 | Interest rate | Foreign exchange rate and gold |
Credit (investment grade reference asset) 3 |
Credit (non-investment- grade reference asset) |
Equity | Precious metals (except gold) |
Other |
|---|---|---|---|---|---|---|---|
| One year or less | 0.00 | 0.01 | 0.05 | 0.10 | 0.06 | 0.07 | 0.10 |
| Greater than one year and less than or equal to five years | 0.005 | 0.05 | 0.05 | 0.10 | 0.08 | 0.07 | 0.12 |
| Greater than five years | 0.015 | 0.075 | 0.05 | 0.10 | 0.10 | 0.08 | 0.15 |
1 For a derivative contract with multiple exchanges of principal, the conversion factor is multiplied by the number of remaining payments in the derivative contract.
2 For an OTC derivative contract that is structured such that on specified dates any outstanding exposure is settled and the terms are reset so that the fair value of the contract is zero, the remaining maturity equals the time until the next reset date. For an interest rate derivative contract with a remaining maturity of greater than one year that meets these criteria, the minimum conversion factor is 0.005.
3 A FDIC-supervised institution must use the column labeled “Credit (investment-grade reference asset)” for a credit derivative whose reference asset is an outstanding unsecured long-term debt security without credit enhancement that is investment grade. A FDIC-supervised institution must use the column labeled “Credit (non-investment-grade reference asset)” for all other credit derivatives.
(2) Multiple OTC derivative contracts subject to a qualifying master netting agreement. Except as modified by paragraph (c) of this section, the exposure amount for multiple OTC derivative contracts subject to a qualifying master netting agreement is equal to the sum of the net current credit exposure and the adjusted sum of the PFE amounts for all OTC derivative contracts subject to the qualifying master netting agreement.
(i) Net current credit exposure. The net current credit exposure is the greater of the net sum of all positive and negative fair values of the individual OTC derivative contracts subject to the qualifying master netting agreement or zero.
(ii) Adjusted sum of the PFE amounts. The adjusted sum of the PFE amounts, Anet, is calculated as Anet = (0.4 × Agross) + (0.6 × NGR × Agross), where:
(A) Agross = the gross PFE (that is, the sum of the PFE amounts as determined under paragraph (b)(1)(ii) of this section for each individual derivative contract subject to the qualifying master netting agreement); and
(B) Net-to-gross Ratio (NGR) = the ratio of the net current credit exposure to the gross current credit exposure. In calculating the NGR, the gross current credit exposure equals the sum of the positive current credit exposures (as determined under paragraph (b)(1)(i) of this section) of all individual derivative contracts subject to the qualifying master netting agreement.
(c) Recognition of credit risk mitigation of collateralized OTC derivative contracts.
(1) A FDIC-supervised institution using CEM under paragraph (b) of this section may recognize the credit risk mitigation benefits of financial collateral that secures an OTC derivative contract or multiple OTC derivative contracts subject to a qualifying master netting agreement (netting set) by using the simple approach in § 324.37(b).
(2) As an alternative to the simple approach, a FDIC-supervised institution using CEM under paragraph (b) of this section may recognize the credit risk mitigation benefits of financial collateral that secures such a contract or netting set if the financial collateral is marked-to-fair value on a daily basis and subject to a daily margin maintenance requirement by applying a risk weight to the uncollateralized portion of the exposure, after adjusting the exposure amount calculated under paragraph (b)(1) or (2) of this section using the collateral haircut approach in § 324.37(c). The FDIC-supervised institution must substitute the exposure amount calculated under paragraph (b)(1) or (2) of this section for ΣE in the equation in § 324.37(c)(2).
(d) Counterparty credit risk for credit derivatives -
(1) Protection purchasers. A FDIC-supervised institution that purchases a credit derivative that is recognized under § 324.36 as a credit risk mitigant for an exposure that is not a covered position under subpart F of this part is not required to compute a separate counterparty credit risk capital requirement under this subpart provided that the FDIC-supervised institution does so consistently for all such credit derivatives. The FDIC-supervised institution must either include all or exclude all such credit derivatives that are subject to a qualifying master netting agreement from any measure used to determine counterparty credit risk exposure to all relevant counterparties for risk-based capital purposes.
(2) Protection providers.
(i) A FDIC-supervised institution that is the protection provider under a credit derivative must treat the credit derivative as an exposure to the underlying reference asset. The FDIC-supervised institution is not required to compute a counterparty credit risk capital requirement for the credit derivative under this subpart, provided that this treatment is applied consistently for all such credit derivatives. The FDIC-supervised institution must either include all or exclude all such credit derivatives that are subject to a qualifying master netting agreement from any measure used to determine counterparty credit risk exposure.
(ii) The provisions of this paragraph (d)(2) apply to all relevant counterparties for risk-based capital purposes unless the FDIC-supervised institution is treating the credit derivative as a covered position under subpart F of this part, in which case the FDIC-supervised institution must compute a supplemental counterparty credit risk capital requirement under this section.
(e) Counterparty credit risk for equity derivatives.
(1) A FDIC-supervised institution must treat an equity derivative contract as an equity exposure and compute a risk-weighted asset amount for the equity derivative contract under §§ 324.51 through 324.53 (unless the FDIC-supervised institution is treating the contract as a covered position under subpart F of this part).
(2) In addition, the FDIC-supervised institution must also calculate a risk-based capital requirement for the counterparty credit risk of an equity derivative contract under this section if the FDIC-supervised institution is treating the contract as a covered position under subpart F of this part.
(3) If the FDIC-supervised institution risk weights the contract under the Simple Risk-Weight Approach (SRWA) in § 324.52, the FDIC-supervised institution may choose not to hold risk-based capital against the counterparty credit risk of the equity derivative contract, as long as it does so for all such contracts. Where the equity derivative contracts are subject to a qualified master netting agreement, a FDIC-supervised institution using the SRWA must either include all or exclude all of the contracts from any measure used to determine counterparty credit risk exposure.
(f) Clearing member FDIC-supervised institution's exposure amount. The exposure amount of a clearing member FDIC-supervised institution using CEM under paragraph (b) of this section for a client-facing derivative transaction or netting set of client-facing derivative transactions equals the exposure amount calculated according to paragraph (b)(1) or (2) of this section multiplied by the scaling factor the square root of1/2 (which equals 0.707107). If the FDIC-supervised institution determines that a longer period is appropriate, the FDIC-supervised institution must use a larger scaling factor to adjust for a longer holding period as follows:
Where H = the holding period greater than or equal to five days. Additionally, the FDIC may require the FDIC-supervised institution to set a longer holding period if the FDIC determines that a longer period is appropriate due to the nature, structure, or characteristics of the transaction or is commensurate with the risks associated with the transaction.
[85 FR 4431, Jan. 24, 2020]
(a) General requirements -
(1) Clearing member clients. An FDIC-supervised institution that is a clearing member client must use the methodologies described in paragraph (b) of this section to calculate risk-weighted assets for a cleared transaction.
(2) Clearing members. An FDIC-supervised institution that is a clearing member must use the methodologies described in paragraph (c) of this section to calculate its risk-weighted assets for a cleared transaction and paragraph (d) of this section to calculate its risk-weighted assets for its default fund contribution to a CCP.
(3) Alternate requirements. Notwithstanding any other provision of this section, an advanced approaches FDIC-supervised institution or a FDIC-supervised institution that is not an advanced approaches FDIC-supervised institution and that has elected to use SA-CCR under § 324.34(a)(1) must apply § 324.133 to its derivative contracts that are cleared transactions rather than this section.
(b) Clearing member client FDIC-supervised institutions -
(1) Risk-weighted assets for cleared transactions.
(i) To determine the risk-weighted asset amount for a cleared transaction, an FDIC-supervised institution that is a clearing member client must multiply the trade exposure amount for the cleared transaction, calculated in accordance with paragraph (b)(2) of this section, by the risk weight appropriate for the cleared transaction, determined in accordance with paragraph (b)(3) of this section.
(ii) A clearing member client FDIC-supervised institution's total risk-weighted assets for cleared transactions is the sum of the risk-weighted asset amounts for all its cleared transactions.
(2) Trade exposure amount.
(i) For a cleared transaction that is either a derivative contract or a netting set of derivative contracts, the trade exposure amount equals:
(A) The exposure amount for the derivative contract or netting set of derivative contracts, calculated using the methodology used to calculate exposure amount for OTC derivative contracts under § 324.34; plus
(B) The fair value of the collateral posted by the clearing member client FDIC-supervised institution and held by the CCP, clearing member, or custodian in a manner that is not bankruptcy remote.
(ii) For a cleared transaction that is a repo-style transaction or netting set of repo-style transactions, the trade exposure amount equals:
(A) The exposure amount for the repo-style transaction calculated using the methodologies under § 324.37(c); plus
(B) The fair value of the collateral posted by the clearing member client FDIC-supervised institution and held by the CCP, clearing member, or custodian in a manner that is not bankruptcy remote.
(3) Cleared transaction risk weights.
(i) For a cleared transaction with a QCCP, a clearing member client FDIC-supervised institution must apply a risk weight of:
(A) 2 percent if the collateral posted by the FDIC-supervised institution to the QCCP or clearing member is subject to an arrangement that prevents any losses to the clearing member client FDIC-supervised institution due to the joint default or a concurrent insolvency, liquidation, or receivership proceeding of the clearing member and any other clearing member clients of the clearing member; and the clearing member client FDIC-supervised institution has conducted sufficient legal review to conclude with a well-founded basis (and maintains sufficient written documentation of that legal review) that in the event of a legal challenge (including one resulting from an event of default or from liquidation, insolvency, or receivership proceedings) the relevant court and administrative authorities would find the arrangements to be legal, valid, binding and enforceable under the law of the relevant jurisdictions; or
(B) 4 percent if the requirements of § 324.35(b)(3)(A) are not met.
(ii) For a cleared transaction with a CCP that is not a QCCP, a clearing member client FDIC-supervised institution must apply the risk weight appropriate for the CCP according to this subpart D.
(4) Collateral.
(i) Notwithstanding any other requirements in this section, collateral posted by a clearing member client FDIC-supervised institution that is held by a custodian (in its capacity as custodian) in a manner that is bankruptcy remote from the CCP, clearing member, and other clearing member clients of the clearing member, is not subject to a capital requirement under this section.
(ii) A clearing member client FDIC-supervised institution must calculate a risk-weighted asset amount for any collateral provided to a CCP, clearing member, or custodian in connection with a cleared transaction in accordance with the requirements under this subpart D.
(c) Clearing member FDIC-supervised institutions -
(1) Risk-weighted assets for cleared transactions.
(i) To determine the risk-weighted asset amount for a cleared transaction, a clearing member FDIC-supervised institution must multiply the trade exposure amount for the cleared transaction, calculated in accordance with paragraph (c)(2) of this section, by the risk weight appropriate for the cleared transaction, determined in accordance with paragraph (c)(3) of this section.
(ii) A clearing member FDIC-supervised institution's total risk-weighted assets for cleared transactions is the sum of the risk-weighted asset amounts for all of its cleared transactions.
(2) Trade exposure amount. A clearing member FDIC-supervised institution must calculate its trade exposure amount for a cleared transaction as follows:
(i) For a cleared transaction that is either a derivative contract or a netting set of derivative contracts, the trade exposure amount equals:
(A) The exposure amount for the derivative contract, calculated using the methodology to calculate exposure amount for OTC derivative contracts under § 324.34; plus
(B) The fair value of the collateral posted by the clearing member FDIC-supervised institution and held by the CCP in a manner that is not bankruptcy remote.
(ii) For a cleared transaction that is a repo-style transaction or netting set of repo-style transactions, trade exposure amount equals:
(A) The exposure amount for repo-style transactions calculated using methodologies under § 324.37(c); plus
(B) The fair value of the collateral posted by the clearing member FDIC-supervised institution and held by the CCP in a manner that is not bankruptcy remote.
(3) Cleared transaction risk weight.
(i) A clearing member FDIC-supervised institution must apply a risk weight of 2 percent to the trade exposure amount for a cleared transaction with a QCCP.
(ii) For a cleared transaction with a CCP that is not a QCCP, a clearing member FDIC-supervised institution must apply the risk weight appropriate for the CCP according to this subpart D.
(iii) Notwithstanding paragraphs (c)(3)(i) and (ii) of this section, a clearing member FDIC-supervised institution may apply a risk weight of zero percent to the trade exposure amount for a cleared transaction with a CCP where the clearing member FDIC-supervised institution is acting as a financial intermediary on behalf of a clearing member client, the transaction offsets another transaction that satisfies the requirements set forth in § 324.3(a), and the clearing member FDIC-supervised institution is not obligated to reimburse the clearing member client in the event of the CCP default.
(4) Collateral.
(i) Notwithstanding any other requirement in this section, collateral posted by a clearing member FDIC-supervised institution that is held by a custodian in a manner that is bankruptcy remote from the CCP is not subject to a capital requirement under this section.
(ii) A clearing member FDIC-supervised institution must calculate a risk-weighted asset amount for any collateral provided to a CCP, clearing member, or a custodian in connection with a cleared transaction in accordance with requirements under this subpart D.
(d) Default fund contributions -
(1) General requirement. A clearing member FDIC-supervised institution must determine the risk-weighted asset amount for a default fund contribution to a CCP at least quarterly, or more frequently if, in the opinion of the FDIC-supervised institution or the FDIC, there is a material change in the financial condition of the CCP.
(2) Risk-weighted asset amount for default fund contributions to non-qualifying CCPs. A clearing member FDIC-supervised institution's risk-weighted asset amount for default fund contributions to CCPs that are not QCCPs equals the sum of such default fund contributions multiplied by 1,250 percent, or an amount determined by the FDIC, based on factors such as size, structure and membership characteristics of the CCP and riskiness of its transactions, in cases where such default fund contributions may be unlimited.
(3) Risk-weighted asset amount for default fund contributions to QCCP s. A clearing member FDIC-supervised institution's risk-weighted asset amount for default fund contributions to QCCPs equals the sum of its capital requirement, KCM for each QCCP, as calculated under the methodology set forth in paragraphs (d)(3)(i) through (iii) of this section (Method 1), multiplied by 1,250 percent or in paragraph (d)(3)(iv) of this section (Method 2).
(i) Method 1. The hypothetical capital requirement of a QCCP (KCCP) equals:

Where
(A) EBRMi equals the exposure amount for each transaction cleared through the QCCP by clearing member i, calculated in accordance with § 324.34 for OTC derivative contracts and § 324.37(c)(2) for repo-style transactions, provided that:
(1) For purposes of this section, in calculating the exposure amount the FDIC-supervised institution may replace the formula provided in § 324.34(a)(2)(ii) with the following: Anet = (0.15 × Agross) + (0.85 × NGR × Agross); and
(2) For option derivative contracts that are cleared transactions, the PFE described in § 324.34(a)(1)(ii) must be adjusted by multiplying the notional principal amount of the derivative contract by the appropriate conversion factor in Table 1 to § 324.34 and the absolute value of the option's delta, that is, the ratio of the change in the value of the derivative contract to the corresponding change in the price of the underlying asset.
(3) For repo-style transactions, when applying § 324.37(c)(2), the FDIC-supervised institution must use the methodology in § 324.37(c)(3);
(B) VMi equals any collateral posted by clearing member i to the QCCP that it is entitled to receive from the QCCP, but has not yet received, and any collateral that the QCCP has actually received from clearing member i;
(C) IMi equals the collateral posted as initial margin by clearing member i to the QCCP;
(D) DFi equals the funded portion of clearing member i's default fund contribution that will be applied to reduce the QCCP's loss upon a default by clearing member i;
(E) RW equals 20 percent, except when the FDIC has determined that a higher risk weight is more appropriate based on the specific characteristics of the QCCP and its clearing members; and
(F) Where a QCCP has provided its KCCP, an FDIC-supervised institution must rely on such disclosed figure instead of calculating KCCP under this paragraph (d), unless the FDIC-supervised institution determines that a more conservative figure is appropriate based on the nature, structure, or characteristics of the QCCP.
(ii) For an FDIC-supervised institution that is a clearing member of a QCCP with a default fund supported by funded commitments, KCM equals:

(A) Subscripts 1 and 2 denote the clearing members with the two largest ANet values. For purposes of this paragraph (d), for derivatives ANet is defined in § 324.34(a)(2)(ii) and for repo-style transactions, ANet means the exposure amount as defined in § 324.37(c)(2) using the methodology in § 324.37(c)(3);
(B) N equals the number of clearing members in the QCCP;
(C) DFCCP equals the QCCP's own funds and other financial resources that would be used to cover its losses before clearing members' default fund contributions are used to cover losses;
(D) DFCM equals funded default fund contributions from all clearing members and any other clearing member contributed financial resources that are available to absorb mutualized QCCP losses;
(E) DF = DFCCP + DFCM (that is, the total funded default fund contribution);

Where
(1) DFi equals the FDIC-supervised institution's unfunded commitment to the default fund;
(2) DFCM equals the total of all clearing members' unfunded commitment to the default fund; and
(3) K*CM as defined in paragraph (d)(3)(ii) of this section.
(B) For an FDIC-supervised institution that is a clearing member of a QCCP with a default fund supported by unfunded commitments and is unable to calculate KCM using the methodology described in paragraph (d)(3)(iii) of this section, KCM equals:

Where
(1) IMi = the FDIC-supervised institution's initial margin posted to the QCCP;
(2) IMCM equals the total of initial margin posted to the QCCP; and
(3) K*CM as defined in paragraph (d)(3)(ii) of this section.
(iv) Method 2. A clearing member FDIC-supervised institution's risk-weighted asset amount for its default fund contribution to a QCCP, RWADF, equals:
RWADF = Min {12.5 * DF; 0.18 * TE}
Where
(A) TE equals the FDIC-supervised institution's trade exposure amount to the QCCP, calculated according to § 324.35(c)(2);
(B) DF equals the funded portion of the FDIC-supervised institution's default fund contribution to the QCCP.
(4) Total risk-weighted assets for default fund contributions. Total risk-weighted assets for default fund contributions is the sum of a clearing member FDIC-supervised institution's risk-weighted assets for all of its default fund contributions to all CCPs of which the FDIC-supervised institution is a clearing member.
[78 FR 55471, Sept. 10, 2013, as amended at 79 FR 20760, Apr. 14, 2014; 84 FR 35277, July 22, 2019; 85 FR 4433, Jan. 24, 2020]
(a) Scope -
(1) General. An FDIC-supervised institution may recognize the credit risk mitigation benefits of an eligible guarantee or eligible credit derivative by substituting the risk weight associated with the protection provider for the risk weight assigned to an exposure, as provided under this section.
(2) This section applies to exposures for which:
(i) Credit risk is fully covered by an eligible guarantee or eligible credit derivative; or
(ii) Credit risk is covered on a pro rata basis (that is, on a basis in which the FDIC-supervised institution and the protection provider share losses proportionately) by an eligible guarantee or eligible credit derivative.
(3) Exposures on which there is a tranching of credit risk (reflecting at least two different levels of seniority) generally are securitization exposures subject to §§ 324.41 through 324.45.
(4) If multiple eligible guarantees or eligible credit derivatives cover a single exposure described in this section, an FDIC-supervised institution may treat the hedged exposure as multiple separate exposures each covered by a single eligible guarantee or eligible credit derivative and may calculate a separate risk-weighted asset amount for each separate exposure as described in paragraph (c) of this section.
(5) If a single eligible guarantee or eligible credit derivative covers multiple hedged exposures described in paragraph (a)(2) of this section, an FDIC-supervised institution must treat each hedged exposure as covered by a separate eligible guarantee or eligible credit derivative and must calculate a separate risk-weighted asset amount for each exposure as described in paragraph (c) of this section.
(b) Rules of recognition.
(1) An FDIC-supervised institution may only recognize the credit risk mitigation benefits of eligible guarantees and eligible credit derivatives.
(2) An FDIC-supervised institution may only recognize the credit risk mitigation benefits of an eligible credit derivative to hedge an exposure that is different from the credit derivative's reference exposure used for determining the derivative's cash settlement value, deliverable obligation, or occurrence of a credit event if:
(i) The reference exposure ranks pari passu with, or is subordinated to, the hedged exposure; and
(ii) The reference exposure and the hedged exposure are to the same legal entity, and legally enforceable cross-default or cross-acceleration clauses are in place to ensure payments under the credit derivative are triggered when the obligated party of the hedged exposure fails to pay under the terms of the hedged exposure.
(c) Substitution approach -
(1) Full coverage. If an eligible guarantee or eligible credit derivative meets the conditions in paragraphs (a) and (b) of this section and the protection amount (P) of the guarantee or credit derivative is greater than or equal to the exposure amount of the hedged exposure, an FDIC-supervised institution may recognize the guarantee or credit derivative in determining the risk-weighted asset amount for the hedged exposure by substituting the risk weight applicable to the guarantor or credit derivative protection provider under this subpart D for the risk weight assigned to the exposure.
(2) Partial coverage. If an eligible guarantee or eligible credit derivative meets the conditions in paragraphs (a) and (b) of this section and the protection amount (P) of the guarantee or credit derivative is less than the exposure amount of the hedged exposure, the FDIC-supervised institution must treat the hedged exposure as two separate exposures (protected and unprotected) in order to recognize the credit risk mitigation benefit of the guarantee or credit derivative.
(i) The FDIC-supervised institution may calculate the risk-weighted asset amount for the protected exposure under this subpart D, where the applicable risk weight is the risk weight applicable to the guarantor or credit derivative protection provider.
(ii) The FDIC-supervised institution must calculate the risk-weighted asset amount for the unprotected exposure under this subpart D, where the applicable risk weight is that of the unprotected portion of the hedged exposure.
(iii) The treatment provided in this section is applicable when the credit risk of an exposure is covered on a partial pro rata basis and may be applicable when an adjustment is made to the effective notional amount of the guarantee or credit derivative under paragraphs (d), (e), or (f) of this section.
(d) Maturity mismatch adjustment.
(1) An FDIC-supervised institution that recognizes an eligible guarantee or eligible credit derivative in determining the risk-weighted asset amount for a hedged exposure must adjust the effective notional amount of the credit risk mitigant to reflect any maturity mismatch between the hedged exposure and the credit risk mitigant.
(2) A maturity mismatch occurs when the residual maturity of a credit risk mitigant is less than that of the hedged exposure(s).
(3) The residual maturity of a hedged exposure is the longest possible remaining time before the obligated party of the hedged exposure is scheduled to fulfil its obligation on the hedged exposure. If a credit risk mitigant has embedded options that may reduce its term, the FDIC-supervised institution (protection purchaser) must use the shortest possible residual maturity for the credit risk mitigant. If a call is at the discretion of the protection provider, the residual maturity of the credit risk mitigant is at the first call date. If the call is at the discretion of the FDIC-supervised institution (protection purchaser), but the terms of the arrangement at origination of the credit risk mitigant contain a positive incentive for the FDIC-supervised institution to call the transaction before contractual maturity, the remaining time to the first call date is the residual maturity of the credit risk mitigant.
(4) A credit risk mitigant with a maturity mismatch may be recognized only if its original maturity is greater than or equal to one year and its residual maturity is greater than three months.
(5) When a maturity mismatch exists, the FDIC-supervised institution must apply the following adjustment to reduce the effective notional amount of the credit risk mitigant: Pm = E × (t-0.25)/(T-0.25), where:
(i) Pm equals effective notional amount of the credit risk mitigant, adjusted for maturity mismatch;
(ii) E equals effective notional amount of the credit risk mitigant;
(iii) t equals the lesser of T or the residual maturity of the credit risk mitigant, expressed in years; and
(iv) T equals the lesser of five or the residual maturity of the hedged exposure, expressed in years.
(e) Adjustment for credit derivatives without restructuring as a credit event. If an FDIC-supervised institution recognizes an eligible credit derivative that does not include as a credit event a restructuring of the hedged exposure involving forgiveness or postponement of principal, interest, or fees that results in a credit loss event (that is, a charge-off, specific provision, or other similar debit to the profit and loss account), the FDIC-supervised institution must apply the following adjustment to reduce the effective notional amount of the credit derivative: Pr = Pm × 0.60, where:
(1) Pr equals effective notional amount of the credit risk mitigant, adjusted for lack of restructuring event (and maturity mismatch, if applicable); and
(2) Pm equals effective notional amount of the credit risk mitigant (adjusted for maturity mismatch, if applicable).
(f) Currency mismatch adjustment.
(1) If an FDIC-supervised institution recognizes an eligible guarantee or eligible credit derivative that is denominated in a currency different from that in which the hedged exposure is denominated, the FDIC-supervised institution must apply the following formula to the effective notional amount of the guarantee or credit derivative: Pc = Pr × (1-HFX), where:
(i) Pc equals effective notional amount of the credit risk mitigant, adjusted for currency mismatch (and maturity mismatch and lack of restructuring event, if applicable);
(ii) Pr equals effective notional amount of the credit risk mitigant (adjusted for maturity mismatch and lack of restructuring event, if applicable); and
(iii) HFX equals haircut appropriate for the currency mismatch between the credit risk mitigant and the hedged exposure.
(2) An FDIC-supervised institution must set HFX equal to eight percent unless it qualifies for the use of and uses its own internal estimates of foreign exchange volatility based on a ten-business-day holding period. An FDIC-supervised institution qualifies for the use of its own internal estimates of foreign exchange volatility if it qualifies for the use of its own-estimates haircuts in § 324.37(c)(4).
(3) An FDIC-supervised institution must adjust HFX calculated in paragraph (f)(2) of this section upward if the FDIC-supervised institution revalues the guarantee or credit derivative less frequently than once every 10 business days using the following square root of time formula:
[78 FR 55471, Sept. 10, 2013, as amended at 84 FR 35277, July 22, 2019]
(a) General.
(1) To recognize the risk-mitigating effects of financial collateral, an FDIC-supervised institution may use:
(i) The simple approach in paragraph (b) of this section for any exposure; or
(ii) The collateral haircut approach in paragraph (c) of this section for repo-style transactions, eligible margin loans, collateralized derivative contracts, and single-product netting sets of such transactions.
(2) An FDIC-supervised institution may use any approach described in this section that is valid for a particular type of exposure or transaction; however, it must use the same approach for similar exposures or transactions.
(b) The simple approach -
(1) General requirements.
(i) An FDIC-supervised institution may recognize the credit risk mitigation benefits of financial collateral that secures any exposure.
(ii) To qualify for the simple approach, the financial collateral must meet the following requirements:
(A) The collateral must be subject to a collateral agreement for at least the life of the exposure;
(B) The collateral must be revalued at least every six months; and
(C) The collateral (other than gold) and the exposure must be denominated in the same currency.
(2) Risk weight substitution.
(i) An FDIC-supervised institution may apply a risk weight to the portion of an exposure that is secured by the fair value of financial collateral (that meets the requirements of paragraph (b)(1) of this section) based on the risk weight assigned to the collateral under this subpart D. For repurchase agreements, reverse repurchase agreements, and securities lending and borrowing transactions, the collateral is the instruments, gold, and cash the FDIC-supervised institution has borrowed, purchased subject to resale, or taken as collateral from the counterparty under the transaction. Except as provided in paragraph (b)(3) of this section, the risk weight assigned to the collateralized portion of the exposure may not be less than 20 percent.
(ii) An FDIC-supervised institution must apply a risk weight to the unsecured portion of the exposure based on the risk weight applicable to the exposure under this subpart.
(3) Exceptions to the 20 percent risk-weight floor and other requirements. Notwithstanding paragraph (b)(2)(i) of this section:
(i) An FDIC-supervised institution may assign a zero percent risk weight to an exposure to an OTC derivative contract that is marked-to-market on a daily basis and subject to a daily margin maintenance requirement, to the extent the contract is collateralized by cash on deposit.
(ii) An FDIC-supervised institution may assign a 10 percent risk weight to an exposure to an OTC derivative contract that is marked-to-market daily and subject to a daily margin maintenance requirement, to the extent that the contract is collateralized by an exposure to a sovereign that qualifies for a zero percent risk weight under § 324.32.
(iii) An FDIC-supervised institution may assign a zero percent risk weight to the collateralized portion of an exposure where:
(A) The financial collateral is cash on deposit; or
(B) The financial collateral is an exposure to a sovereign that qualifies for a zero percent risk weight under § 324.32, and the FDIC-supervised institution has discounted the fair value of the collateral by 20 percent.
(c) Collateral haircut approach -
(1) General. An FDIC-supervised institution may recognize the credit risk mitigation benefits of financial collateral that secures an eligible margin loan, repo-style transaction, collateralized derivative contract, or single-product netting set of such transactions, and of any collateral that secures a repo-style transaction that is included in the FDIC-supervised institution's VaR-based measure under subpart F of this part by using the collateral haircut approach in this section. An FDIC-supervised institution may use the standard supervisory haircuts in paragraph (c)(3) of this section or, with prior written approval of the FDIC, its own estimates of haircuts according to paragraph (c)(4) of this section.
(2) Exposure amount equation. An FDIC-supervised institution must determine the exposure amount for an eligible margin loan, repo-style transaction, collateralized derivative contract, or a single-product netting set of such transactions by setting the exposure amount equal to max {0, [(∑E − ∑C) + ∑(Es × Hs) + ∑(Efx × Hfx)]}, where:
(i)
(A) For eligible margin loans and repo-style transactions and netting sets thereof, ∑E equals the value of the exposure (the sum of the current fair values of all instruments, gold, and cash the FDIC-supervised institution has lent, sold subject to repurchase, or posted as collateral to the counterparty under the transaction (or netting set)); and
(B) For collateralized derivative contracts and netting sets thereof, ∑E equals the exposure amount of the OTC derivative contract (or netting set) calculated under § 324.34(b)(1) or (2).
(ii) ∑C equals the value of the collateral (the sum of the current fair values of all instruments, gold and cash the FDIC-supervised institution has borrowed, purchased subject to resale, or taken as collateral from the counterparty under the transaction (or netting set));
(iii) Es equals the absolute value of the net position in a given instrument or in gold (where the net position in the instrument or gold equals the sum of the current fair values of the instrument or gold the FDIC-supervised institution has lent, sold subject to repurchase, or posted as collateral to the counterparty minus the sum of the current fair values of that same instrument or gold the FDIC-supervised institution has borrowed, purchased subject to resale, or taken as collateral from the counterparty);
(iv) Hs equals the market price volatility haircut appropriate to the instrument or gold referenced in Es;
(v) Efx equals the absolute value of the net position of instruments and cash in a currency that is different from the settlement currency (where the net position in a given currency equals the sum of the current fair values of any instruments or cash in the currency the FDIC-supervised institution has lent, sold subject to repurchase, or posted as collateral to the counterparty minus the sum of the current fair values of any instruments or cash in the currency the FDIC-supervised institution has borrowed, purchased subject to resale, or taken as collateral from the counterparty); and
(vi) Hfx equals the haircut appropriate to the mismatch between the currency referenced in Efx and the settlement currency.
(3) Standard supervisory haircuts.
(i) An FDIC-supervised institution must use the haircuts for market price volatility (Hs) provided in Table 1 to § 324.37, as adjusted in certain circumstances in accordance with the requirements of paragraphs (c)(3)(iii) and (iv) of this section.
Table 1 to § 324.37 - Standard Supervisory Market Price Volatility Haircuts1
| Residual maturity | Haircut (in percent) assigned based on: | Investment grade securitization exposures (in percent) |
|||||
|---|---|---|---|---|---|---|---|
| Sovereign issuers risk weight under § 324.32 (in percent)2 |
Non-sovereign issuers risk weight under § 324.32 (in percent) |
||||||
| Zero | 20 or 50 | 100 | 20 | ||||
| Less than or equal to 1 year | 0.5 | 1.0 | 15.0 | 1.0 | 2.0 | 4.0 | 4.0 |
| Greater than 1 year and less than or equal to 5 years | 2.0 | 3.0 | 15.0 | 4.0 | 6.0 | 8.0 | 12.0 |
| Greater than 5 years | 4.0 | 6.0 | 15.0 | 8.0 | 12.0 | 16.0 | 24.0 |
| Main index equities (including convertible bonds) and gold | 15.0 | ||||||
| Other publicly traded equities (including convertible bonds) | 25.0 | ||||||
| Mutual funds | Highest haircut applicable to any security in which the fund can invest. | ||||||
| Cash collateral held | Zero | ||||||
| Other exposure types | 25.0 | ||||||
1 The market price volatility haircuts in Table 1 to § 324.37 are based on a 10 business-day holding period.
2 Includes a foreign PSE that receives a zero percent risk weight.
(ii) For currency mismatches, an FDIC-supervised institution must use a haircut for foreign exchange rate volatility (Hfx) of 8.0 percent, as adjusted in certain circumstances under paragraphs (c)(3)(iii) and (iv) of this section.
(iii) For repo-style transactions and client-facing derivative transactions, a FDIC-supervised institution may multiply the standard supervisory haircuts provided in paragraphs (c)(3)(i) and (ii) of this section by the square root of1/2 (which equals 0.707107). For client-facing derivative transactions, if a larger scaling factor is applied under § 324.34(f), the same factor must be used to adjust the supervisory haircuts.
(iv) If the number of trades in a netting set exceeds 5,000 at any time during a quarter, an FDIC-supervised institution must adjust the supervisory haircuts provided in paragraphs (c)(3)(i) and (ii) of this section upward on the basis of a holding period of twenty business days for the following quarter except in the calculation of the exposure amount for purposes of § 324.35. If a netting set contains one or more trades involving illiquid collateral or an OTC derivative that cannot be easily replaced, an FDIC-supervised institution must adjust the supervisory haircuts upward on the basis of a holding period of twenty business days. If over the two previous quarters more than two margin disputes on a netting set have occurred that lasted more than the holding period, then the FDIC-supervised institution must adjust the supervisory haircuts upward for that netting set on the basis of a holding period that is at least two times the minimum holding period for that netting set. An FDIC-supervised institution must adjust the standard supervisory haircuts upward using the following formula:

(A) TM equals a holding period of longer than 10 business days for eligible margin loans and derivative contracts other than client-facing derivative transactions or longer than 5 business days for repo-style transactions and client-facing derivative transactions;
(B) HS equals the standard supervisory haircut; and
(C) TS equals 10 business days for eligible margin loans and derivative contracts other than client-facing derivative transactions or 5 business days for repo-style transactions and client-facing derivative transactions.
(v) If the instrument an FDIC-supervised institution has lent, sold subject to repurchase, or posted as collateral does not meet the definition of financial collateral, the FDIC-supervised institution must use a 25.0 percent haircut for market price volatility (Hs).
(4) Own internal estimates for haircuts. With the prior written approval of the FDIC, an FDIC-supervised institution may calculate haircuts (Hs and Hfx) using its own internal estimates of the volatilities of market prices and foreign exchange rates:
(i) To receive FDIC approval to use its own internal estimates, an FDIC-supervised institution must satisfy the following minimum standards:
(A) An FDIC-supervised institution must use a 99th percentile one-tailed confidence interval.
(B) The minimum holding period for a repo-style transaction and client-facing derivative transaction is five business days and for an eligible margin loan and a derivative contract other than a client-facing derivative transaction is ten business days except for transactions or netting sets for which paragraph (c)(4)(i)(C) of this section applies. When a FDIC-supervised institution calculates an own-estimates haircut on a TN-day holding period, which is different from the minimum holding period for the transaction type, the applicable haircut (HM) is calculated using the following square root of time formula:

(1) TM equals 5 for repo-style transactions and client-facing derivative transactions and 10 for eligible margin loans and derivative contracts other than client-facing derivative transactions;
(2) TN equals the holding period used by the FDIC-supervised institution to derive HN; and
(3) HN equals the haircut based on the holding period TN.
(C) If the number of trades in a netting set exceeds 5,000 at any time during a quarter, an FDIC-supervised institution must calculate the haircut using a minimum holding period of twenty business days for the following quarter except in the calculation of the exposure amount for purposes of § 324.35. If a netting set contains one or more trades involving illiquid collateral or an OTC derivative that cannot be easily replaced, an FDIC-supervised institution must calculate the haircut using a minimum holding period of twenty business days. If over the two previous quarters more than two margin disputes on a netting set have occurred that lasted more than the holding period, then the FDIC-supervised institution must calculate the haircut for transactions in that netting set on the basis of a holding period that is at least two times the minimum holding period for that netting set.
(D) An FDIC-supervised institution is required to calculate its own internal estimates with inputs calibrated to historical data from a continuous 12-month period that reflects a period of significant financial stress appropriate to the security or category of securities.
(E) An FDIC-supervised institution must have policies and procedures that describe how it determines the period of significant financial stress used to calculate the FDIC-supervised institution's own internal estimates for haircuts under this section and must be able to provide empirical support for the period used. The FDIC-supervised institution must obtain the prior approval of the FDIC for, and notify the FDIC if the FDIC-supervised institution makes any material changes to, these policies and procedures.
(F) Nothing in this section prevents the FDIC from requiring an FDIC-supervised institution to use a different period of significant financial stress in the calculation of own internal estimates for haircuts.
(G) An FDIC-supervised institution must update its data sets and calculate haircuts no less frequently than quarterly and must also reassess data sets and haircuts whenever market prices change materially.
(ii) With respect to debt securities that are investment grade, an FDIC-supervised institution may calculate haircuts for categories of securities. For a category of securities, the FDIC-supervised institution must calculate the haircut on the basis of internal volatility estimates for securities in that category that are representative of the securities in that category that the FDIC-supervised institution has lent, sold subject to repurchase, posted as collateral, borrowed, purchased subject to resale, or taken as collateral. In determining relevant categories, the FDIC-supervised institution must at a minimum take into account:
(A) The type of issuer of the security;
(B) The credit quality of the security;
(C) The maturity of the security; and
(D) The interest rate sensitivity of the security.
(iii) With respect to debt securities that are not investment grade and equity securities, an FDIC-supervised institution must calculate a separate haircut for each individual security.
(iv) Where an exposure or collateral (whether in the form of cash or securities) is denominated in a currency that differs from the settlement currency, the FDIC-supervised institution must calculate a separate currency mismatch haircut for its net position in each mismatched currency based on estimated volatilities of foreign exchange rates between the mismatched currency and the settlement currency.
(v) An FDIC-supervised institution's own estimates of market price and foreign exchange rate volatilities may not take into account the correlations among securities and foreign exchange rates on either the exposure or collateral side of a transaction (or netting set) or the correlations among securities and foreign exchange rates between the exposure and collateral sides of the transaction (or netting set).
[78 FR 55471, Sept. 10, 2013, as amended at 79 FR 20760, Apr. 14, 2014; 84 FR 35277, July 22, 2019; 85 FR 4433, Jan. 24, 2020; 85 FR 57963, Sept. 17, 2020]
(a) Definitions. For purposes of this section:
(1) Delivery-versus-payment (DvP) transaction means a securities or commodities transaction in which the buyer is obligated to make payment only if the seller has made delivery of the securities or commodities and the seller is obligated to deliver the securities or commodities only if the buyer has made payment.
(2) Payment-versus-payment (PvP) transaction means a foreign exchange transaction in which each counterparty is obligated to make a final transfer of one or more currencies only if the other counterparty has made a final transfer of one or more currencies.
(3) A transaction has a normal settlement period if the contractual settlement period for the transaction is equal to or less than the market standard for the instrument underlying the transaction and equal to or less than five business days.
(4) Positive current exposure of an FDIC-supervised institution for a transaction is the difference between the transaction value at the agreed settlement price and the current market price of the transaction, if the difference results in a credit exposure of the FDIC-supervised institution to the counterparty.
(b) Scope. This section applies to all transactions involving securities, foreign exchange instruments, and commodities that have a risk of delayed settlement or delivery. This section does not apply to:
(1) Cleared transactions that are marked-to-market daily and subject to daily receipt and payment of variation margin;
(2) Repo-style transactions, including unsettled repo-style transactions;
(3) One-way cash payments on OTC derivative contracts; or
(4) Transactions with a contractual settlement period that is longer than the normal settlement period (which are treated as OTC derivative contracts as provided in § 324.34).
(c) System-wide failures. In the case of a system-wide failure of a settlement, clearing system or central counterparty, the FDIC may waive risk-based capital requirements for unsettled and failed transactions until the situation is rectified.
(d) Delivery-versus-payment (DvP) and payment-versus-payment (PvP) transactions. An FDIC-supervised institution must hold risk-based capital against any DvP or PvP transaction with a normal settlement period if the FDIC-supervised institution's counterparty has not made delivery or payment within five business days after the settlement date. The FDIC-supervised institution must determine its risk-weighted asset amount for such a transaction by multiplying the positive current exposure of the transaction for the FDIC-supervised institution by the appropriate risk weight in Table 1 to § 324.38.
Table 1 to § 324.38 - Risk Weights for Unsettled DvP and PvP Transactions
| Number of business days after contractual settlement date | Risk weight to be applied to positive current exposure (in percent) |
|---|---|
| From 5 to 15 | 100.0 |
| From 16 to 30 | 625.0 |
| From 31 to 45 | 937.5 |
| 46 or more | 1,250.0 |
(e) Non-DvP/non-PvP (non-delivery-versus-payment/non-payment-versus-payment) transactions.
(1) An FDIC-supervised institution must hold risk-based capital against any non-DvP/non-PvP transaction with a normal settlement period if the FDIC-supervised institution has delivered cash, securities, commodities, or currencies to its counterparty but has not received its corresponding deliverables by the end of the same business day. The FDIC-supervised institution must continue to hold risk-based capital against the transaction until the FDIC-supervised institution has received its corresponding deliverables.
(2) From the business day after the FDIC-supervised institution has made its delivery until five business days after the counterparty delivery is due, the FDIC-supervised institution must calculate the risk-weighted asset amount for the transaction by treating the current fair value of the deliverables owed to the FDIC-supervised institution as an exposure to the counterparty and using the applicable counterparty risk weight under this subpart D.
(3) If the FDIC-supervised institution has not received its deliverables by the fifth business day after counterparty delivery was due, the FDIC-supervised institution must assign a 1,250 percent risk weight to the current fair value of the deliverables owed to the FDIC-supervised institution.
(f) Total risk-weighted assets for unsettled transactions. Total risk-weighted assets for unsettled transactions is the sum of the risk-weighted asset amounts of all DvP, PvP, and non-DvP/non-PvP transactions.
[78 FR 55471, Sept. 10, 2013, as amended at 84 FR 35277, July 22, 2019]
(a) Operational criteria for traditional securitizations. An FDIC-supervised institution that transfers exposures it has originated or purchased to a securitization SPE or other third party in connection with a traditional securitization may exclude the exposures from the calculation of its risk-weighted assets only if each condition in this section is satisfied. An FDIC-supervised institution that meets these conditions must hold risk-based capital against any credit risk it retains in connection with the securitization. An FDIC-supervised institution that fails to meet these conditions must hold risk-based capital against the transferred exposures as if they had not been securitized and must deduct from common equity tier 1 capital any after-tax gain-on-sale resulting from the transaction. The conditions are:
(1) The exposures are not reported on the FDIC-supervised institution's consolidated balance sheet under GAAP;
(2) The FDIC-supervised institution has transferred to one or more third parties credit risk associated with the underlying exposures;
(3) Any clean-up calls relating to the securitization are eligible clean-up calls; and
(4) The securitization does not:
(i) Include one or more underlying exposures in which the borrower is permitted to vary the drawn amount within an agreed limit under a line of credit; and
(ii) Contain an early amortization provision.
(b) Operational criteria for synthetic securitizations. For synthetic securitizations, an FDIC-supervised institution may recognize for risk-based capital purposes the use of a credit risk mitigant to hedge underlying exposures only if each condition in this paragraph (b) is satisfied. An FDIC-supervised institution that meets these conditions must hold risk-based capital against any credit risk of the exposures it retains in connection with the synthetic securitization. An FDIC-supervised institution that fails to meet these conditions or chooses not to recognize the credit risk mitigant for purposes of this section must instead hold risk-based capital against the underlying exposures as if they had not been synthetically securitized. The conditions are:
(1) The credit risk mitigant is:
(i) Financial collateral;
(ii) A guarantee that meets all criteria as set forth in the definition of “eligible guarantee” in § 324.2, except for the criteria in paragraph (3) of that definition; or
(2) The FDIC-supervised institution transfers credit risk associated with the underlying exposures to one or more third parties, and the terms and conditions in the credit risk mitigants employed do not include provisions that:
(i) Allow for the termination of the credit protection due to deterioration in the credit quality of the underlying exposures;
(ii) Require the FDIC-supervised institution to alter or replace the underlying exposures to improve the credit quality of the underlying exposures;
(iii) Increase the FDIC-supervised institution's cost of credit protection in response to deterioration in the credit quality of the underlying exposures;
(iv) Increase the yield payable to parties other than the FDIC-supervised institution in response to a deterioration in the credit quality of the underlying exposures; or
(v) Provide for increases in a retained first loss position or credit enhancement provided by the FDIC-supervised institution after the inception of the securitization;
(3) The FDIC-supervised institution obtains a well-reasoned opinion from legal counsel that confirms the enforceability of the credit risk mitigant in all relevant jurisdictions; and
(4) Any clean-up calls relating to the securitization are eligible clean-up calls.
(c) Due diligence requirements for securitization exposures.
(1) Except for exposures that are deducted from common equity tier 1 capital and exposures subject to § 324.42(h), if an FDIC-supervised institution is unable to demonstrate to the satisfaction of the FDIC a comprehensive understanding of the features of a securitization exposure that would materially affect the performance of the exposure, the FDIC-supervised institution must assign the securitization exposure a risk weight of 1,250 percent. The FDIC-supervised institution's analysis must be commensurate with the complexity of the securitization exposure and the materiality of the exposure in relation to its capital.
(2) An FDIC-supervised institution must demonstrate its comprehensive understanding of a securitization exposure under paragraph (c)(1) of this section, for each securitization exposure by:
(i) Conducting an analysis of the risk characteristics of a securitization exposure prior to acquiring the exposure, and documenting such analysis within three business days after acquiring the exposure, considering:
(A) Structural features of the securitization that would materially impact the performance of the exposure, for example, the contractual cash flow waterfall, waterfall-related triggers, credit enhancements, liquidity enhancements, fair value triggers, the performance of organizations that service the exposure, and deal-specific definitions of default;
(B) Relevant information regarding the performance of the underlying credit exposure(s), for example, the percentage of loans 30, 60, and 90 days past due; default rates; prepayment rates; loans in foreclosure; property types; occupancy; average credit score or other measures of creditworthiness; average LTV ratio; and industry and geographic diversification data on the underlying exposure(s);
(C) Relevant market data of the securitization, for example, bid-ask spread, most recent sales price and historic price volatility, trading volume, implied market rating, and size, depth and concentration level of the market for the securitization; and
(D) For resecuritization exposures, performance information on the underlying securitization exposures, for example, the issuer name and credit quality, and the characteristics and performance of the exposures underlying the securitization exposures; and
(ii) On an on-going basis (no less frequently than quarterly), evaluating, reviewing, and updating as appropriate the analysis required under paragraph (c)(1) of this section for each securitization exposure.
[78 FR 55471, Sept. 10, 2013, as amended at 79 FR 20760, Apr. 14, 2014]
(a) Securitization risk weight approaches. Except as provided elsewhere in this section or in § 324.41:
(1) An FDIC-supervised institution must deduct from common equity tier 1 capital any after-tax gain-on-sale resulting from a securitization and apply a 1,250 percent risk weight to the portion of a CEIO that does not constitute after-tax gain-on-sale.
(2) If a securitization exposure does not require deduction under paragraph (a)(1) of this section, an FDIC-supervised institution may assign a risk weight to the securitization exposure using the simplified supervisory formula approach (SSFA) in accordance with §§ 324.43(a) through 324.43(d) and subject to the limitation under paragraph (e) of this section. Alternatively, an FDIC-supervised institution that is not subject to subpart F of this part may assign a risk weight to the securitization exposure using the gross-up approach in accordance with § 324.43(e), provided, however, that such FDIC-supervised institution must apply either the SSFA or the gross-up approach consistently across all of its securitization exposures, except as provided in paragraphs (a)(1), (a)(3), and (a)(4) of this section.
(3) If a securitization exposure does not require deduction under paragraph (a)(1) of this section and the FDIC-supervised institution cannot, or chooses not to apply the SSFA or the gross-up approach to the exposure, the FDIC-supervised institution must assign a risk weight to the exposure as described in § 324.44.
(4) If a securitization exposure is a derivative contract (other than protection provided by an FDIC-supervised institution in the form of a credit derivative) that has a first priority claim on the cash flows from the underlying exposures (notwithstanding amounts due under interest rate or currency derivative contracts, fees due, or other similar payments), an FDIC-supervised institution may choose to set the risk-weighted asset amount of the exposure equal to the amount of the exposure as determined in paragraph (c) of this section.
(b) Total risk-weighted assets for securitization exposures. An FDIC-supervised institution's total risk-weighted assets for securitization exposures equals the sum of the risk-weighted asset amount for securitization exposures that the FDIC-supervised institution risk weights under §§ 324.41(c), 324.42(a)(1), and 324.43, 324.44, or 324.45, and paragraphs (e) through (j) of this section, as applicable.
(c) Exposure amount of a securitization exposure -
(1) On-balance sheet securitization exposures. The exposure amount of an on-balance sheet securitization exposure (excluding an available-for-sale or held-to-maturity security where the FDIC-supervised institution has made an AOCI opt-out election under § 324.22(b)(2), a repo-style transaction, eligible margin loan, OTC derivative contract, or cleared transaction) is equal to the carrying value of the exposure.
(2) On-balance sheet securitization exposures held by an FDIC-supervised institution that has made an AOCI opt-out election. The exposure amount of an on-balance sheet securitization exposure that is an available-for-sale or held-to-maturity security held by an FDIC-supervised institution that has made an AOCI opt-out election under § 324.22(b)(2) is the FDIC-supervised institution's carrying value (including net accrued but unpaid interest and fees), less any net unrealized gains on the exposure and plus any net unrealized losses on the exposure.
(3) Off-balance sheet securitization exposures.
(i) Except as provided in paragraph (j) of this section, the exposure amount of an off-balance sheet securitization exposure that is not a repo-style transaction, eligible margin loan, cleared transaction (other than a credit derivative), or an OTC derivative contract (other than a credit derivative) is the notional amount of the exposure. For an off-balance sheet securitization exposure to an ABCP program, such as an eligible ABCP liquidity facility, the notional amount may be reduced to the maximum potential amount that the FDIC-supervised institution could be required to fund given the ABCP program's current underlying assets (calculated without regard to the current credit quality of those assets).
(ii) An FDIC-supervised institution must determine the exposure amount of an eligible ABCP liquidity facility for which the SSFA does not apply by multiplying the notional amount of the exposure by a CCF of 50 percent.
(iii) An FDIC-supervised institution must determine the exposure amount of an eligible ABCP liquidity facility for which the SSFA applies by multiplying the notional amount of the exposure by a CCF of 100 percent.
(4) Repo-style transactions, eligible margin loans, and derivative contracts. The exposure amount of a securitization exposure that is a repo-style transaction, eligible margin loan, or derivative contract (other than a credit derivative) is the exposure amount of the transaction as calculated under § 324.34 or § 324.37, as applicable.
(d) Overlapping exposures. If an FDIC-supervised institution has multiple securitization exposures that provide duplicative coverage to the underlying exposures of a securitization (such as when an FDIC-supervised institution provides a program-wide credit enhancement and multiple pool-specific liquidity facilities to an ABCP program), the FDIC-supervised institution is not required to hold duplicative risk-based capital against the overlapping position. Instead, the FDIC-supervised institution may apply to the overlapping position the applicable risk-based capital treatment that results in the highest risk-based capital requirement.
(e) Implicit support. If an FDIC-supervised institution provides support to a securitization in excess of the FDIC-supervised institution's contractual obligation to provide credit support to the securitization (implicit support):
(1) The FDIC-supervised institution must include in risk-weighted assets all of the underlying exposures associated with the securitization as if the exposures had not been securitized and must deduct from common equity tier 1 capital any after-tax gain-on-sale resulting from the securitization; and
(2) The FDIC-supervised institution must disclose publicly:
(i) That it has provided implicit support to the securitization; and
(ii) The risk-based capital impact to the FDIC-supervised institution of providing such implicit support.
(f) Undrawn portion of a servicer cash advance facility.
(1) Notwithstanding any other provision of this subpart, an FDIC-supervised institution that is a servicer under an eligible servicer cash advance facility is not required to hold risk-based capital against potential future cash advance payments that it may be required to provide under the contract governing the facility.
(2) For an FDIC-supervised institution that acts as a servicer, the exposure amount for a servicer cash advance facility that is not an eligible servicer cash advance facility is equal to the amount of all potential future cash advance payments that the FDIC-supervised institution may be contractually required to provide during the subsequent 12 month period under the contract governing the facility.
(g) Interest-only mortgage-backed securities. Regardless of any other provisions in this subpart, the risk weight for a non-credit-enhancing interest-only mortgage-backed security may not be less than 100 percent.
(h) Small-business loans and leases on personal property transferred with retained contractual exposure.
(1) Regardless of any other provision of this subpart, an FDIC-supervised institution that has transferred small-business loans and leases on personal property (small-business obligations) with recourse must include in risk-weighted assets only its contractual exposure to the small-business obligations if all the following conditions are met:
(i) The transaction must be treated as a sale under GAAP.
(ii) The FDIC-supervised institution establishes and maintains, pursuant to GAAP, a non-capital reserve sufficient to meet the FDIC-supervised institution's reasonably estimated liability under the contractual obligation.
(iii) The small-business obligations are to businesses that meet the criteria for a small-business concern established by the Small Business Administration under section 3(a) of the Small Business Act (15 U.S.C. 632 et seq.).
(iv) The FDIC-supervised institution is well capitalized, as defined in subpart H of this part. For purposes of determining whether an FDIC-supervised institution is well capitalized for purposes of this paragraph (h), the FDIC-supervised institution's capital ratios must be calculated without regard to the capital treatment for transfers of small-business obligations under this paragraph (h).
(2) The total outstanding amount of contractual exposure retained by an FDIC-supervised institution on transfers of small-business obligations receiving the capital treatment specified in paragraph (h)(1) of this section cannot exceed 15 percent of the FDIC-supervised institution's total capital.
(3) If an FDIC-supervised institution ceases to be well capitalized under subpart H of this part or exceeds the 15 percent capital limitation provided in paragraph (h)(2) of this section, the capital treatment under paragraph (h)(1) of this section will continue to apply to any transfers of small-business obligations with retained contractual exposure that occurred during the time that the FDIC-supervised institution was well capitalized and did not exceed the capital limit.
(4) The risk-based capital ratios of the FDIC-supervised institution must be calculated without regard to the capital treatment for transfers of small-business obligations specified in paragraph (h)(1) of this section for purposes of:
(i) Determining whether an FDIC-supervised institution is adequately capitalized, undercapitalized, significantly undercapitalized, or critically undercapitalized under subpart H of this part; and
(ii) Reclassifying a well-capitalized FDIC-supervised institution to adequately capitalized and requiring an adequately capitalized FDIC-supervised institution to comply with certain mandatory or discretionary supervisory actions as if the FDIC-supervised institution were in the next lower prompt-corrective-action category.
(i) Nth-to-default credit derivatives -
(1) Protection provider. An FDIC-supervised institution may assign a risk weight using the SSFA in § 324.43 to an nth-to-default credit derivative in accordance with this paragraph (i). An FDIC-supervised institution must determine its exposure in the nth-to-default credit derivative as the largest notional amount of all the underlying exposures.
(2) For purposes of determining the risk weight for an nth-to-default credit derivative using the SSFA, the FDIC-supervised institution must calculate the attachment point and detachment point of its exposure as follows:
(i) The attachment point (parameter A) is the ratio of the sum of the notional amounts of all underlying exposures that are subordinated to the FDIC-supervised institution's exposure to the total notional amount of all underlying exposures. The ratio is expressed as a decimal value between zero and one. In the case of a first-to-default credit derivative, there are no underlying exposures that are subordinated to the FDIC-supervised institution's exposure. In the case of a second-or-subsequent-to-default credit derivative, the smallest (n-1) notional amounts of the underlying exposure(s) are subordinated to the FDIC-supervised institution's exposure.
(ii) The detachment point (parameter D) equals the sum of parameter A plus the ratio of the notional amount of the FDIC-supervised institution's exposure in the nth-to-default credit derivative to the total notional amount of all underlying exposures. The ratio is expressed as a decimal value between zero and one.
(3) An FDIC-supervised institution that does not use the SSFA to determine a risk weight for its nth-to-default credit derivative must assign a risk weight of 1,250 percent to the exposure.
(4) Protection purchaser -
(i) First-to-default credit derivatives. An FDIC-supervised institution that obtains credit protection on a group of underlying exposures through a first-to-default credit derivative that meets the rules of recognition of § 324.36(b) must determine its risk-based capital requirement for the underlying exposures as if the FDIC-supervised institution synthetically securitized the underlying exposure with the smallest risk-weighted asset amount and had obtained no credit risk mitigant on the other underlying exposures. An FDIC-supervised institution must calculate a risk-based capital requirement for counterparty credit risk according to § 324.34 for a first-to-default credit derivative that does not meet the rules of recognition of § 324.36(b).
(ii) Second-or-subsequent-to-default credit derivatives.
(A) An FDIC-supervised institution that obtains credit protection on a group of underlying exposures through a nth-to-default credit derivative that meets the rules of recognition of § 324.36(b) (other than a first-to-default credit derivative) may recognize the credit risk mitigation benefits of the derivative only if:
(1) The FDIC-supervised institution also has obtained credit protection on the same underlying exposures in the form of first-through-(n-1)-to-default credit derivatives; or
(2) If n-1 of the underlying exposures have already defaulted.
(B) If an FDIC-supervised institution satisfies the requirements of paragraph (i)(4)(ii)(A) of this section, the FDIC-supervised institution must determine its risk-based capital requirement for the underlying exposures as if the FDIC-supervised institution had only synthetically securitized the underlying exposure with the nth smallest risk-weighted asset amount and had obtained no credit risk mitigant on the other underlying exposures.
(C) An FDIC-supervised institution must calculate a risk-based capital requirement for counterparty credit risk according to § 324.34 for a nth-to-default credit derivative that does not meet the rules of recognition of § 324.36(b).
(j) Guarantees and credit derivatives other than nth-to-default credit derivatives -
(1) Protection provider. For a guarantee or credit derivative (other than an nth-to-default credit derivative) provided by an FDIC-supervised institution that covers the full amount or a pro rata share of a securitization exposure's principal and interest, the FDIC-supervised institution must risk weight the guarantee or credit derivative as if it holds the portion of the reference exposure covered by the guarantee or credit derivative.
(2) Protection purchaser.
(i) An FDIC-supervised institution that purchases a guarantee or OTC credit derivative (other than an nth-to-default credit derivative) that is recognized under § 324.45 as a credit risk mitigant (including via collateral recognized under § 324.37) is not required to compute a separate counterparty credit risk capital requirement under § 324.31, in accordance with § 324.34(c).
(ii) If an FDIC-supervised institution cannot, or chooses not to, recognize a purchased credit derivative as a credit risk mitigant under § 324.45, the FDIC-supervised institution must determine the exposure amount of the credit derivative under § 324.34.
(A) If the FDIC-supervised institution purchases credit protection from a counterparty that is not a securitization SPE, the FDIC-supervised institution must determine the risk weight for the exposure according to this subpart D.
(B) If the FDIC-supervised institution purchases the credit protection from a counterparty that is a securitization SPE, the FDIC-supervised institution must determine the risk weight for the exposure according to section § 324.42, including § 324.42(a)(4) for a credit derivative that has a first priority claim on the cash flows from the underlying exposures of the securitization SPE (notwithstanding amounts due under interest rate or currency derivative contracts, fees due, or other similar payments).
[78 FR 55471, Sept. 10, 2013, as amended at 79 FR 20760, Apr. 14, 2014; 84 FR 35277, July 22, 2019]
(a) General requirements for the SSFA. To use the SSFA to determine the risk weight for a securitization exposure, an FDIC-supervised institution must have data that enables it to assign accurately the parameters described in paragraph (b) of this section. Data used to assign the parameters described in paragraph (b) of this section must be the most currently available data; if the contracts governing the underlying exposures of the securitization require payments on a monthly or quarterly basis, the data used to assign the parameters described in paragraph (b) of this section must be no more than 91 calendar days old. An FDIC-supervised institution that does not have the appropriate data to assign the parameters described in paragraph (b) of this section must assign a risk weight of 1,250 percent to the exposure.
(b) SSFA parameters. To calculate the risk weight for a securitization exposure using the SSFA, an FDIC-supervised institution must have accurate information on the following five inputs to the SSFA calculation:
(1) KG is the weighted-average (with unpaid principal used as the weight for each exposure) total capital requirement of the underlying exposures calculated using this subpart. KG is expressed as a decimal value between zero and one (that is, an average risk weight of 100 percent represents a value of KG equal to 0.08).
(2) Parameter W is expressed as a decimal value between zero and one. Parameter W is the ratio of the sum of the dollar amounts of any underlying exposures of the securitization that meet any of the criteria as set forth in paragraphs (b)(2)(i) through (vi) of this section to the balance, measured in dollars, of underlying exposures:
(i) Ninety days or more past due;
(ii) Subject to a bankruptcy or insolvency proceeding;
(iii) In the process of foreclosure;
(iv) Held as real estate owned;
(v) Has contractually deferred payments for 90 days or more, other than principal or interest payments deferred on:
(A) Federally-guaranteed student loans, in accordance with the terms of those guarantee programs; or
(B) Consumer loans, including non-federally-guaranteed student loans, provided that such payments are deferred pursuant to provisions included in the contract at the time funds are disbursed that provide for period(s) of deferral that are not initiated based on changes in the creditworthiness of the borrower; or
(vi) Is in default.
(3) Parameter A is the attachment point for the exposure, which represents the threshold at which credit losses will first be allocated to the exposure. Except as provided in § 324.42(i) for nth-to-default credit derivatives, parameter A equals the ratio of the current dollar amount of underlying exposures that are subordinated to the exposure of the FDIC-supervised institution to the current dollar amount of underlying exposures. Any reserve account funded by the accumulated cash flows from the underlying exposures that is subordinated to the FDIC-supervised institution's securitization exposure may be included in the calculation of parameter A to the extent that cash is present in the account. Parameter A is expressed as a decimal value between zero and one.
(4) Parameter D is the detachment point for the exposure, which represents the threshold at which credit losses of principal allocated to the exposure would result in a total loss of principal. Except as provided in § 324.42(i) for nth-to-default credit derivatives, parameter D equals parameter A plus the ratio of the current dollar amount of the securitization exposures that are pari passu with the exposure (that is, have equal seniority with respect to credit risk) to the current dollar amount of the underlying exposures. Parameter D is expressed as a decimal value between zero and one.
(5) A supervisory calibration parameter, p, is equal to 0.5 for securitization exposures that are not resecuritization exposures and equal to 1.5 for resecuritization exposures.
(c) Mechanics of the SSFA. KG and W are used to calculate KA, the augmented value of KG, which reflects the observed credit quality of the underlying exposures. KA is defined in paragraph (d) of this section. The values of parameters A and D, relative to KA determine the risk weight assigned to a securitization exposure as described in paragraph (d) of this section. The risk weight assigned to a securitization exposure, or portion of a securitization exposure, as appropriate, is the larger of the risk weight determined in accordance with this paragraph (c) or paragraph (d) of this section and a risk weight of 20 percent.
(1) When the detachment point, parameter D, for a securitization exposure is less than or equal to KA, the exposure must be assigned a risk weight of 1,250 percent.
(2) When the attachment point, parameter A, for a securitization exposure is greater than or equal to KA, the FDIC-supervised institution must calculate the risk weight in accordance with paragraph (d) of this section.
(3) When A is less than KA and D is greater than KA, the risk weight is a weighted-average of 1,250 percent and 1,250 percent times KSSFA calculated in accordance with paragraph (d) of this section. For the purpose of this weighted-average calculation:
(e) Gross-up approach -
(1) Applicability. An FDIC-supervised institution that is not subject to subpart F of this part may apply the gross-up approach set forth in this section instead of the SSFA to determine the risk weight of its securitization exposures, provided that it applies the gross-up approach to all of its securitization exposures, except as otherwise provided for certain securitization exposures in §§ 324.44 and 324.45.
(2) To use the gross-up approach, an FDIC-supervised institution must calculate the following four inputs:
(i) Pro rata share, which is the par value of the FDIC-supervised institution's securitization exposure as a percent of the par value of the tranche in which the securitization exposure resides;
(ii) Enhanced amount, which is the par value of tranches that are more senior to the tranche in which the FDIC-supervised institution's securitization resides;
(iii) Exposure amount of the FDIC-supervised institution's securitization exposure calculated under § 324.42(c); and
(iv) Risk weight, which is the weighted-average risk weight of underlying exposures of the securitization as calculated under this subpart.
(3) Credit equivalent amount. The credit equivalent amount of a securitization exposure under this section equals the sum of:
(i) The exposure amount of the FDIC-supervised institution's securitization exposure; and
(ii) The pro rata share multiplied by the enhanced amount, each calculated in accordance with paragraph (e)(2) of this section.
(4) Risk-weighted assets. To calculate risk-weighted assets for a securitization exposure under the gross-up approach, an FDIC-supervised institution must apply the risk weight required under paragraph (e)(2) of this section to the credit equivalent amount calculated in paragraph (e)(3) of this section.
(f) Limitations. Notwithstanding any other provision of this section, an FDIC-supervised institution must assign a risk weight of not less than 20 percent to a securitization exposure.
[78 FR 55471, Sept. 10, 2013, as amended at 79 FR 20760, Apr. 14, 2014]
(a) General Requirement. An FDIC-supervised institution must assign a 1,250 percent risk weight to all securitization exposures to which the FDIC-supervised institution does not apply the SSFA or the gross-up approach under § 324.43, except as set forth in this section.
(b) Eligible ABCP liquidity facilities. An FDIC-supervised institution may determine the risk-weighted asset amount of an eligible ABCP liquidity facility by multiplying the exposure amount by the highest risk weight applicable to any of the individual underlying exposures covered by the facility.
(c) A securitization exposure in a second loss position or better to an ABCP program -
(1) Risk weighting. An FDIC-supervised institution may determine the risk-weighted asset amount of a securitization exposure that is in a second loss position or better to an ABCP program that meets the requirements of paragraph (c)(2) of this section by multiplying the exposure amount by the higher of the following risk weights:
(i) 100 percent; and
(ii) The highest risk weight applicable to any of the individual underlying exposures of the ABCP program.
(2) Requirements.
(i) The exposure is not an eligible ABCP liquidity facility;
(ii) The exposure must be economically in a second loss position or better, and the first loss position must provide significant credit protection to the second loss position;
(iii) The exposure qualifies as investment grade; and
(iv) The FDIC-supervised institution holding the exposure must not retain or provide protection to the first loss position.
(a) General.
(1) An originating FDIC-supervised institution that has obtained a credit risk mitigant to hedge its exposure to a synthetic or traditional securitization that satisfies the operational criteria provided in § 324.41 may recognize the credit risk mitigant under §§ 324.36 or 324.37, but only as provided in this section.
(b) Mismatches. An FDIC-supervised institution must make any applicable adjustment to the protection amount of an eligible guarantee or credit derivative as required in § 324.36(d), (e), and (f) for any hedged securitization exposure. In the context of a synthetic securitization, when an eligible guarantee or eligible credit derivative covers multiple hedged exposures that have different residual maturities, the FDIC-supervised institution must use the longest residual maturity of any of the hedged exposures as the residual maturity of all hedged exposures.
(a) General.
(1) To calculate its risk-weighted asset amounts for equity exposures that are not equity exposures to an investment fund, an FDIC-supervised institution must use the Simple Risk-Weight Approach (SRWA) provided in § 324.52. An FDIC-supervised institution must use the look-through approaches provided in § 324.53 to calculate its risk-weighted asset amounts for equity exposures to investment funds.
(2) An FDIC-supervised institution must treat an investment in a separate account (as defined in § 324.2) as if it were an equity exposure to an investment fund as provided in § 324.53.
(3) Stable value protection.
(i) Stable value protection means a contract where the provider of the contract is obligated to pay:
(A) The policy owner of a separate account an amount equal to the shortfall between the fair value and cost basis of the separate account when the policy owner of the separate account surrenders the policy; or
(B) The beneficiary of the contract an amount equal to the shortfall between the fair value and book value of a specified portfolio of assets.
(ii) An FDIC-supervised institution that purchases stable value protection on its investment in a separate account must treat the portion of the carrying value of its investment in the separate account attributable to the stable value protection as an exposure to the provider of the protection and the remaining portion of the carrying value of its separate account as an equity exposure to an investment fund.
(iii) An FDIC-supervised institution that provides stable value protection must treat the exposure as an equity derivative with an adjusted carrying value determined as the sum of paragraphs (b)(1) and (3) of this section.
(b) Adjusted carrying value. For purposes of §§ 324.51 through 324.53, the adjusted carrying value of an equity exposure is:
(1) For the on-balance sheet component of an equity exposure (other than an equity exposure that is classified as available-for-sale where the FDIC-supervised institution has made an AOCI opt-out election under § 324.22(b)(2)), the FDIC-supervised institution's carrying value of the exposure;
(2) For the on-balance sheet component of an equity exposure that is classified as available-for-sale where the FDIC-supervised institution has made an AOCI opt-out election under § 324.22(b)(2), the FDIC-supervised institution's carrying value of the exposure less any net unrealized gains on the exposure that are reflected in such carrying value but excluded from the FDIC-supervised institution's regulatory capital components;
(3) For the off-balance sheet component of an equity exposure that is not an equity commitment, the effective notional principal amount of the exposure, the size of which is equivalent to a hypothetical on-balance sheet position in the underlying equity instrument that would evidence the same change in fair value (measured in dollars) given a small change in the price of the underlying equity instrument, minus the adjusted carrying value of the on-balance sheet component of the exposure as calculated in paragraph (b)(1) of this section; and
(4) For a commitment to acquire an equity exposure (an equity commitment), the effective notional principal amount of the exposure is multiplied by the following conversion factors (CFs):
(i) Conditional equity commitments with an original maturity of one year or less receive a CF of 20 percent.
(ii) Conditional equity commitments with an original maturity of over one year receive a CF of 50 percent.
(iii) Unconditional equity commitments receive a CF of 100 percent.
[78 FR 55471, Sept. 10, 2013, as amended at 79 FR 20760, Apr. 14, 2014]
(a) General. Under the SRWA, an FDIC-supervised institution's total risk-weighted assets for equity exposures equals the sum of the risk-weighted asset amounts for each of the FDIC-supervised institution's individual equity exposures (other than equity exposures to an investment fund) as determined under this section and the risk-weighted asset amounts for each of the FDIC-supervised institution's individual equity exposures to an investment fund as determined under § 324.53.
(b) SRWA computation for individual equity exposures. An FDIC-supervised institution must determine the risk-weighted asset amount for an individual equity exposure (other than an equity exposure to an investment fund) by multiplying the adjusted carrying value of the equity exposure or the effective portion and ineffective portion of a hedge pair (as defined in paragraph (c) of this section) by the lowest applicable risk weight in this paragraph (b).
(1) Zero percent risk weight equity exposures. An equity exposure to a sovereign, the Bank for International Settlements, the European Central Bank, the European Commission, the International Monetary Fund, the European Stability Mechanism, the European Financial Stability Facility, an MDB, and any other entity whose credit exposures receive a zero percent risk weight under § 324.32 may be assigned a zero percent risk weight.
(2) 20 percent risk weight equity exposures. An equity exposure to a PSE, Federal Home Loan Bank or the Federal Agricultural Mortgage Corporation (Farmer Mac) must be assigned a 20 percent risk weight.
(3) 100 percent risk weight equity exposures. The equity exposures set forth in this paragraph (b)(3) must be assigned a 100 percent risk weight.
(i) Community development equity exposures. An equity exposure that qualifies as a community development investment under section 24 (Eleventh) of the National Bank Act, excluding equity exposures to an unconsolidated small business investment company and equity exposures held through a consolidated small business investment company described in section 302 of the Small Business Investment Act.
(ii) Effective portion of hedge pairs. The effective portion of a hedge pair.
(iii) Non-significant equity exposures. Equity exposures, excluding significant investments in the capital of an unconsolidated financial institution in the form of common stock and exposures to an investment firm that would meet the definition of a traditional securitization were it not for the application of paragraph (8) of that definition in § 324.2 and has greater than immaterial leverage, to the extent that the aggregate adjusted carrying value of the exposures does not exceed 10 percent of the FDIC-supervised institution's total capital.
(A) To compute the aggregate adjusted carrying value of an FDIC-supervised institution's equity exposures for purposes of this section, the FDIC-supervised institution may exclude equity exposures described in paragraphs (b)(1), (b)(2), (b)(3)(i), and (b)(3)(ii) of this section, the equity exposure in a hedge pair with the smaller adjusted carrying value, and a proportion of each equity exposure to an investment fund equal to the proportion of the assets of the investment fund that are not equity exposures or that meet the criterion of paragraph (b)(3)(i) of this section. If an FDIC-supervised institution does not know the actual holdings of the investment fund, the FDIC-supervised institution may calculate the proportion of the assets of the fund that are not equity exposures based on the terms of the prospectus, partnership agreement, or similar contract that defines the fund's permissible investments. If the sum of the investment limits for all exposure classes within the fund exceeds 100 percent, the FDIC-supervised institution must assume for purposes of this section that the investment fund invests to the maximum extent possible in equity exposures.
(B) When determining which of an FDIC-supervised institution's equity exposures qualify for a 100 percent risk weight under this paragraph (b), an FDIC-supervised institution first must include equity exposures to unconsolidated small business investment companies or held through consolidated small business investment companies described in section 302 of the Small Business Investment Act, then must include publicly traded equity exposures (including those held indirectly through investment funds), and then must include non-publicly traded equity exposures (including those held indirectly through investment funds).
(4) 250 percent risk weight equity exposures. Significant investments in the capital of unconsolidated financial institutions in the form of common stock that are not deducted from capital pursuant to § 324.22(d)(2) are assigned a 250 percent risk weight.
(5) 300 percent risk weight equity exposures. A publicly traded equity exposure (other than an equity exposure described in paragraph (b)(7) of this section and including the ineffective portion of a hedge pair) must be assigned a 300 percent risk weight.
(6) 400 percent risk weight equity exposures. An equity exposure (other than an equity exposure described in paragraph (b)(7) of this section) that is not publicly traded must be assigned a 400 percent risk weight.
(7) 600 percent risk weight equity exposures. An equity exposure to an investment firm must be assigned a 600 percent risk weight, provided that the investment firm:
(i) Would meet the definition of a traditional securitization were it not for the application of paragraph (8) of that definition; and
(ii) Has greater than immaterial leverage.
(c) Hedge transactions -
(1) Hedge pair. A hedge pair is two equity exposures that form an effective hedge so long as each equity exposure is publicly traded or has a return that is primarily based on a publicly traded equity exposure.
(2) Effective hedge. Two equity exposures form an effective hedge if the exposures either have the same remaining maturity or each has a remaining maturity of at least three months; the hedge relationship is formally documented in a prospective manner (that is, before the FDIC-supervised institution acquires at least one of the equity exposures); the documentation specifies the measure of effectiveness (E) the FDIC-supervised institution will use for the hedge relationship throughout the life of the transaction; and the hedge relationship has an E greater than or equal to 0.8. An FDIC-supervised institution must measure E at least quarterly and must use one of three alternative measures of E as set forth in this paragraph (c).
(i) Under the dollar-offset method of measuring effectiveness, the FDIC-supervised institution must determine the ratio of value change (RVC). The RVC is the ratio of the cumulative sum of the changes in value of one equity exposure to the cumulative sum of the changes in the value of the other equity exposure. If RVC is positive, the hedge is not effective and E equals 0. If RVC is negative and greater than or equal to −1 (that is, between zero and −1), then E equals the absolute value of RVC. If RVC is negative and less than −1, then E equals 2 plus RVC.
(iii) Under the regression method of measuring effectiveness, E equals the coefficient of determination of a regression in which the change in value of one exposure in a hedge pair is the dependent variable and the change in value of the other exposure in a hedge pair is the independent variable. However, if the estimated regression coefficient is positive, then E equals zero.
(3) The effective portion of a hedge pair is E multiplied by the greater of the adjusted carrying values of the equity exposures forming a hedge pair.
(4) The ineffective portion of a hedge pair is (1-E) multiplied by the greater of the adjusted carrying values of the equity exposures forming a hedge pair.
[78 FR 55471, Sept. 10, 2013, as amended at 84 FR 35277, July 22, 2019]
(a) Available approaches.
(1) Unless the exposure meets the requirements for a community development equity exposure under § 324.52(b)(3)(i), an FDIC-supervised institution must determine the risk-weighted asset amount of an equity exposure to an investment fund under the full look-through approach described in paragraph (b) of this section, the simple modified look-through approach described in paragraph (c) of this section, or the alterative modified look-through approach described paragraph (d) of this section, provided, however, that the minimum risk weight that may be assigned to an equity exposure under this section is 20 percent.
(2) The risk-weighted asset amount of an equity exposure to an investment fund that meets the requirements for a community development equity exposure in § 324.52(b)(3)(i) is its adjusted carrying value.
(3) If an equity exposure to an investment fund is part of a hedge pair and the FDIC-supervised institution does not use the full look-through approach, the FDIC-supervised institution must use the ineffective portion of the hedge pair as determined under § 324.52(c) as the adjusted carrying value for the equity exposure to the investment fund. The risk-weighted asset amount of the effective portion of the hedge pair is equal to its adjusted carrying value.
(b) Full look-through approach. An FDIC-supervised institution that is able to calculate a risk-weighted asset amount for its proportional ownership share of each exposure held by the investment fund (as calculated under this subpart as if the proportional ownership share of the adjusted carrying value of each exposure were held directly by the FDIC-supervised institution) may set the risk-weighted asset amount of the FDIC-supervised institution's exposure to the fund equal to the product of:
(1) The aggregate risk-weighted asset amounts of the exposures held by the fund as if they were held directly by the FDIC-supervised institution; and
(2) The FDIC-supervised institution's proportional ownership share of the fund.
(c) Simple modified look-through approach. Under the simple modified look-through approach, the risk-weighted asset amount for an FDIC-supervised institution's equity exposure to an investment fund equals the adjusted carrying value of the equity exposure multiplied by the highest risk weight that applies to any exposure the fund is permitted to hold under the prospectus, partnership agreement, or similar agreement that defines the fund's permissible investments (excluding derivative contracts that are used for hedging rather than speculative purposes and that do not constitute a material portion of the fund's exposures).
(d) Alternative modified look-through approach. Under the alternative modified look-through approach, an FDIC-supervised institution may assign the adjusted carrying value of an equity exposure to an investment fund on a pro rata basis to different risk weight categories under this subpart based on the investment limits in the fund's prospectus, partnership agreement, or similar contract that defines the fund's permissible investments. The risk-weighted asset amount for the FDIC-supervised institution's equity exposure to the investment fund equals the sum of each portion of the adjusted carrying value assigned to an exposure type multiplied by the applicable risk weight under this subpart. If the sum of the investment limits for all exposure types within the fund exceeds 100 percent, the FDIC-supervised institution must assume that the fund invests to the maximum extent permitted under its investment limits in the exposure type with the highest applicable risk weight under this subpart and continues to make investments in order of the exposure type with the next highest applicable risk weight under this subpart until the maximum total investment level is reached. If more than one exposure type applies to an exposure, the FDIC-supervised institution must use the highest applicable risk weight. An FDIC-supervised institution may exclude derivative contracts held by the fund that are used for hedging rather than for speculative purposes and do not constitute a material portion of the fund's exposures.
Sections 324.61 through 324.63 of this subpart establish public disclosure requirements related to the capital requirements described in subpart B of this part for an FDIC-supervised institution with total consolidated assets of $50 billion or more as reported on the FDIC-supervised institution's most recent year-end Call Report that is not an advanced approaches FDIC-supervised institution making public disclosures pursuant to § 324.172. An advanced approaches FDIC-supervised institution that has not received approval from the FDIC to exit parallel run pursuant to § 324.121(d) is subject to the disclosure requirements described in §§ 324.62 and 324.63. An FDIC-supervised institution with total consolidated assets of $50 billion or more as reported on the FDIC-supervised institution's most recent year-end Call Report that is not an advanced approaches FDIC-supervised institution making public disclosures subject to § 324.172 must comply with § 324.62 unless it is a consolidated subsidiary of a bank holding company, savings and loan holding company, or depository institution that is subject to the disclosure requirements of § 324.62 or a subsidiary of a non-U.S. banking organization that is subject to comparable public disclosure requirements in its home jurisdiction. For purposes of this section, total consolidated assets are determined based on the average of the FDIC-supervised institution's total consolidated assets in the four most recent quarters as reported on the Call Report; or the average of the FDIC-supervised institution's total consolidated assets in the most recent consecutive quarters as reported quarterly on the FDIC-supervised institution's Call Report if the FDIC-supervised institution has not filed such a report for each of the most recent four quarters.
[84 FR 35278, July 22, 2019]
(a) An FDIC-supervised institution described in § 324.61 must provide timely public disclosures each calendar quarter of the information in the applicable tables in § 324.63. If a significant change occurs, such that the most recent reported amounts are no longer reflective of the FDIC-supervised institution's capital adequacy and risk profile, then a brief discussion of this change and its likely impact must be disclosed as soon as practicable thereafter. Qualitative disclosures that typically do not change each quarter (for example, a general summary of the FDIC-supervised institution's risk management objectives and policies, reporting system, and definitions) may be disclosed annually after the end of the fourth calendar quarter, provided that any significant changes are disclosed in the interim. The FDIC-supervised institution's management may provide all of the disclosures required by §§ 324.61 through 324.63 in one place on the FDIC-supervised institution's public Web site or may provide the disclosures in more than one public financial report or other regulatory reports, provided that the FDIC-supervised institution publicly provides a summary table specifically indicating the location(s) of all such disclosures.
(b) An FDIC-supervised institution described in § 324.61 must have a formal disclosure policy approved by the board of directors that addresses its approach for determining the disclosures it makes. The policy must address the associated internal controls and disclosure controls and procedures. The board of directors and senior management are responsible for establishing and maintaining an effective internal control structure over financial reporting, including the disclosures required by this subpart, and must ensure that appropriate review of the disclosures takes place. One or more senior officers of the FDIC-supervised institution must attest that the disclosures meet the requirements of this subpart.
(c) If an FDIC-supervised institution described in § 324.61 concludes that specific commercial or financial information that it would otherwise be required to disclose under this section would be exempt from disclosure by the FDIC under the Freedom of Information Act (5 U.S.C. 552), then the FDIC-supervised institution is not required to disclose that specific information pursuant to this section, but must disclose more general information about the subject matter of the requirement, together with the fact that, and the reason why, the specific items of information have not been disclosed.
(a) Except as provided in § 324.62, an FDIC-supervised institution described in § 324.61 must make the disclosures described in Tables 1 through 10 of this section. The FDIC-supervised institution must make these disclosures publicly available for each of the last three years (that is, twelve quarters) or such shorter period beginning on January 1, 2015.
(b) An FDIC-supervised institution must publicly disclose each quarter the following:
(1) Common equity tier 1 capital, additional tier 1 capital, tier 2 capital, tier 1 and total capital ratios, including the regulatory capital elements and all the regulatory adjustments and deductions needed to calculate the numerator of such ratios;
(2) Total risk-weighted assets, including the different regulatory adjustments and deductions needed to calculate total risk-weighted assets;
(3) Regulatory capital ratios during any transition periods, including a description of all the regulatory capital elements and all regulatory adjustments and deductions needed to calculate the numerator and denominator of each capital ratio during any transition period; and
(4) A reconciliation of regulatory capital elements as they relate to its balance sheet in any audited consolidated financial statements.
Table 1 to § 324.63 - Scope of Application
| Qualitative Disclosures | (a) | The name of the top corporate entity in the group to which subpart D of this part applies. |
| (b) | A brief description of the differences in the basis for consolidating entities1 for accounting and regulatory purposes, with a description of those entities: (1) That are fully consolidated; (2) That are deconsolidated and deducted from total capital; (3) For which the total capital requirement is deducted; and (4) That are neither consolidated nor deducted (for example, where the investment in the entity is assigned a risk weight in accordance with this subpart). |
|
| (c) | Any restrictions, or other major impediments, on transfer of funds or total capital within the group. | |
| Quantitative Disclosures | (d) | The aggregate amount of surplus capital of insurance subsidiaries included in the total capital of the consolidated group. |
| (e) | The aggregate amount by which actual total capital is less than the minimum total capital requirement in all subsidiaries, with total capital requirements and the name(s) of the subsidiaries with such deficiencies. |
1 Entities include securities, insurance and other financial subsidiaries, commercial subsidiaries (where permitted), and significant minority equity investments in insurance, financial and commercial entities.
Table 2 to § 324.63 - Capital Structure
| Qualitative Disclosures | (a) | Summary information on the terms and conditions of the main features of all regulatory capital instruments. |
| Quantitative Disclosures | (b) | The amount of common equity tier 1 capital, with separate disclosure of: (1) Common stock and related surplus; (2) Retained earnings; (3) Common equity minority interest; (4) AOCI; and (5) Regulatory adjustments and deductions made to common equity tier 1 capital. |
| (c) | The amount of tier 1 capital, with separate disclosure of: (1) Additional tier 1 capital elements, including additional tier 1 capital instruments and tier 1 minority interest not included in common equity tier 1 capital; and (2) Regulatory adjustments and deductions made to tier 1 capital. |
|
| (d) | The amount of total capital, with separate disclosure of: (1) Tier 2 capital elements, including tier 2 capital instruments and total capital minority interest not included in tier 1 capital; and (2) Regulatory adjustments and deductions made to total capital. |
Table 3 to § 324.63 - Capital Adequacy
| Qualitative disclosures | (a) A summary discussion of the FDIC-supervised institution's approach to assessing the adequacy of its capital to support current and future activities. |
| Quantitative disclosures | (b) Risk-weighted assets for: |
| (1) Exposures to sovereign entities; | |
| (2) Exposures to certain supranational entities and MDBs; | |
| (3) Exposures to depository institutions, foreign banks, and credit unions; | |
| (4) Exposures to PSEs; | |
| (5) Corporate exposures; | |
| (6) Residential mortgage exposures; | |
| (7) Statutory multifamily mortgages and pre-sold construction loans; | |
| (8) HVCRE exposures; | |
| (9) Past due loans; | |
| (10) Other assets; | |
| (11) Cleared transactions; | |
| (12) Default fund contributions; | |
| (13) Unsettled transactions; | |
| (14) Securitization exposures; and | |
| (15) Equity exposures. | |
| (c) Standardized market risk-weighted assets as calculated under subpart F of this part. | |
| (d) Common equity tier 1, tier 1 and total risk-based capital ratios: | |
| (1) For the top consolidated group; and | |
| (2) For each depository institution subsidiary. | |
| (e) Total standardized risk-weighted assets. |
Table 4 to § 324.63 - Capital Conservation Buffer
| Quantitative Disclosures | (a) | At least quarterly, the FDIC-supervised institution must calculate and publicly disclose the capital conservation buffer as described under § 324.11. |
| (b) | At least quarterly, the FDIC-supervised institution must calculate and publicly disclose the eligible retained income of the FDIC-supervised institution, as described under § 324.11. | |
| (c) | At least quarterly, the FDIC-supervised institution must calculate and publicly disclose any limitations it has on distributions and discretionary bonus payments resulting from the capital conservation buffer framework described under § 324.11, including the maximum payout amount for the quarter. |
(c) General qualitative disclosure requirement. For each separate risk area described in Tables 5 through 10, the FDIC-supervised institution must describe its risk management objectives and policies, including: strategies and processes; the structure and organization of the relevant risk management function; the scope and nature of risk reporting and/or measurement systems; policies for hedging and/or mitigating risk and strategies and processes for monitoring the continuing effectiveness of hedges/mitigants.
Table 5 to § 324.63 - Credit Risk: General Disclosures
| Qualitative Disclosures | (a) | The general qualitative disclosure requirement with respect to credit risk (excluding counterparty credit risk disclosed in accordance with Table 6 to § 324.63), including the: (1) Policy for determining past due or delinquency status; (2) Policy for placing loans on nonaccrual; (3) Policy for returning loans to accrual status; (4) Definition of and policy for identifying impaired loans (for financial accounting purposes); (5) Description of the methodology that the FDIC-supervised institution uses to estimate its allowance for loan and lease losses or adjusted allowance for credit losses, as applicable, including statistical methods used where applicable; (6) Policy for charging-off uncollectible amounts; and (7) Discussion of the FDIC-supervised institution's credit risk management policy. |
| Quantitative Disclosures | (b) | Total credit risk exposures and average credit risk exposures, after accounting offsets in accordance with GAAP, without taking into account the effects of credit risk mitigation techniques (for example, collateral and netting not permitted under GAAP), over the period categorized by major types of credit exposure. For example, FDIC-supervised institutions could use categories similar to that used for financial statement purposes. Such categories might include, for instance: (1) Loans, off-balance sheet commitments, and other non-derivative off-balance sheet exposures; (2) Debt securities; and (3) OTC derivatives.2 |
| (c) | Geographic distribution of exposures, categorized in significant areas by major types of credit exposure.3 | |
| (d) | Industry or counterparty type distribution of exposures, categorized by major types of credit exposure. | |
| (e) | By major industry or counterparty type: (1) Amount of impaired loans for which there was a related allowance under GAAP; (2) Amount of impaired loans for which there was no related allowance under GAAP; (3) Amount of loans past due 90 days and on nonaccrual; (4) Amount of loans past due 90 days and still accruing;4 (5) The balance in the allowance for loan and lease losses or adjusted allowance for credit losses, as applicable, at the end of each period, disaggregated on the basis of the FDIC-supervised institution's impairment method. To disaggregate the information required on the basis of impairment methodology, an entity shall separately disclose the amounts based on the requirements in GAAP; and (6) Charge-offs during the period. |
|
| (f) | Amount of impaired loans and, if available, the amount of past due loans categorized by significant geographic areas including, if practical, the amounts of allowances related to each geographical area5, further categorized as required by GAAP. | |
| (g) | Reconciliation of changes in ALLL or AACL, as applicable.6 | |
| (h) | Remaining contractual maturity delineation (for example, one year or less) of the whole portfolio, categorized by credit exposure. |
1 Table 5 to § 324.63 does not cover equity exposures, which should be reported in Table 9 to § 324.63.
2See, for example, ASC Topic 815-10 and 210, as they may be amended from time to time.
3 Geographical areas may consist of individual countries, groups of countries, or regions within countries. An FDIC-supervised institution might choose to define the geographical areas based on the way the FDIC-supervised institution's portfolio is geographically managed. The criteria used to allocate the loans to geographical areas must be specified.
4 An FDIC-supervised institution is encouraged also to provide an analysis of the aging of past-due loans.
5 The portion of the general allowance that is not allocated to a geographical area should be disclosed separately.
6 The reconciliation should include the following: a description of the allowance; the opening balance of the allowance; charge-offs taken against the allowance during the period; amounts provided (or reversed) for estimated probable loan losses during the period; any other adjustments (for example, exchange rate differences, business combinations, acquisitions and disposals of subsidiaries), including transfers between allowances; and the closing balance of the allowance. Charge-offs and recoveries that have been recorded directly to the income statement should be disclosed separately.
Table 6 to § 324.63 - General Disclosure for Counterparty Credit Risk-Related Exposures
| Qualitative Disclosures | (a) | The general qualitative disclosure requirement with respect to OTC derivatives, eligible margin loans, and repo-style transactions, including a discussion of: (1) The methodology used to assign credit limits for counterparty credit exposures; (2) Policies for securing collateral, valuing and managing collateral, and establishing credit reserves; (3) The primary types of collateral taken; and (4) The impact of the amount of collateral the FDIC-supervised institution would have to provide given a deterioration in the FDIC-supervised institution's own creditworthiness. |
| Quantitative Disclosures | (b) | Gross positive fair value of contracts, collateral held (including type, for example, cash, government securities), and net unsecured credit exposure.1 An FDIC-supervised institution also must disclose the notional value of credit derivative hedges purchased for counterparty credit risk protection and the distribution of current credit exposure by exposure type.2 |
| (c) | Notional amount of purchased and sold credit derivatives, segregated between use for the FDIC-supervised institution's own credit portfolio and in its intermediation activities, including the distribution of the credit derivative products used, categorized further by protection bought and sold within each product group. |
1 Net unsecured credit exposure is the credit exposure after considering both the benefits from legally enforceable netting agreements and collateral arrangements without taking into account haircuts for price volatility, liquidity, etc.
2 This may include interest rate derivative contracts, foreign exchange derivative contracts, equity derivative contracts, credit derivatives, commodity or other derivative contracts, repo-style transactions, and eligible margin loans.
Table 7 to § 324.63 - Credit Risk Mitigation1 2
| Qualitative Disclosures | (a) | The general qualitative disclosure requirement with respect to credit risk mitigation, including: (1) Policies and processes for collateral valuation and management; (2) A description of the main types of collateral taken by the FDIC-supervised institution; (3) The main types of guarantors/credit derivative counterparties and their creditworthiness; and (4) Information about (market or credit) risk concentrations with respect to credit risk mitigation. |
| Quantitative Disclosures | (b) | For each separately disclosed credit risk portfolio, the total exposure that is covered by eligible financial collateral, and after the application of haircuts. |
| (c) | For each separately disclosed portfolio, the total exposure that is covered by guarantees/credit derivatives and the risk-weighted asset amount associated with that exposure. |
1 At a minimum, an FDIC-supervised institution must provide the disclosures in Table 7 in relation to credit risk mitigation that has been recognized for the purposes of reducing capital requirements under this subpart. Where relevant, FDIC-supervised institutions are encouraged to give further information about mitigants that have not been recognized for that purpose.
2 Credit derivatives that are treated, for the purposes of this subpart, as synthetic securitization exposures should be excluded from the credit risk mitigation disclosures and included within those relating to securitization (Table 8 to § 324.63).
Table 8 to § 324.63 - Securitization
| Qualitative Disclosures | (a) The general qualitative disclosure requirement with respect to a securitization (including synthetic securitizations), including a discussion of: |
| (1) The FDIC-supervised institution's objectives for securitizing assets, including the extent to which these activities transfer credit risk of the underlying exposures away from the FDIC-supervised institution to other entities and including the type of risks assumed and retained with resecuritization activity;1 | |
| (2) The nature of the risks (e.g. liquidity risk) inherent in the securitized assets; | |
| (3) The roles played by the FDIC-supervised institution in the securitization process2 and an indication of the extent of the FDIC-supervised institution's involvement in each of them; | |
| (4) The processes in place to monitor changes in the credit and market risk of securitization exposures including how those processes differ for resecuritization exposures; | |
| (5) The FDIC-supervised institution's policy for mitigating the credit risk retained through securitization and resecuritization exposures; and | |
| (6) The risk-based capital approaches that the FDIC-supervised institution follows for its securitization exposures including the type of securitization exposure to which each approach applies. | |
| (b) A list of: | |
| (1) The type of securitization SPEs that the FDIC-supervised institution, as sponsor, uses to securitize third-party exposures. The FDIC-supervised institution must indicate whether it has exposure to these SPEs, either on- or off-balance sheet; and | |
| (2) Affiliated entities: | |
| (i) That the FDIC-supervised institution manages or advises; and | |
| (ii) That invest either in the securitization exposures that the FDIC-supervised institution has securitized or in securitization SPEs that the FDIC-supervised institution sponsors.3 | |
| (c) Summary of the FDIC-supervised institution's accounting policies for securitization activities, including: | |
| (1) Whether the transactions are treated as sales or financings; | |
| (2) Recognition of gain-on-sale; | |
| (3) Methods and key assumptions applied in valuing retained or purchased interests; | |
| (4) Changes in methods and key assumptions from the previous period for valuing retained interests and impact of the changes; | |
| (5) Treatment of synthetic securitizations; | |
| (6) How exposures intended to be securitized are valued and whether they are recorded under subpart D of this part; and | |
| (7) Policies for recognizing liabilities on the balance sheet for arrangements that could require the FDIC-supervised institution to provide financial support for securitized assets. | |
| (d) An explanation of significant changes to any quantitative information since the last reporting period. | |
| Quantitative Disclosures | (e) The total outstanding exposures securitized by the FDIC-supervised institution in securitizations that meet the operational criteria provided in § 324.41 (categorized into traditional and synthetic securitizations), by exposure type, separately for securitizations of third-party exposures for which the bank acts only as sponsor.4 |
| (f) For exposures securitized by the FDIC-supervised institution in securitizations that meet the operational criteria in § 324.41: | |
| (1) Amount of securitized assets that are impaired/past due categorized by exposure type;5 and | |
| (2) Losses recognized by the FDIC-supervised institution during the current period categorized by exposure type.6 | |
| (g) The total amount of outstanding exposures intended to be securitized categorized by exposure type. | |
| (h) Aggregate amount of: | |
| (1) On-balance sheet securitization exposures retained or purchased categorized by exposure type; and | |
| (2) Off-balance sheet securitization exposures categorized by exposure type. | |
| (i)(1) Aggregate amount of securitization exposures retained or purchased and the associated capital requirements for these exposures, categorized between securitization and resecuritization exposures, further categorized into a meaningful number of risk weight bands and by risk-based capital approach (e.g., SSFA); and | |
| (2) Aggregate amount disclosed separately by type of underlying exposure in the pool of any: | |
| (i) After-tax gain-on-sale on a securitization that has been deducted from common equity tier 1 capital; and | |
| (ii) Credit-enhancing interest-only strip that is assigned a 1,250 percent risk weight. | |
| (j) Summary of current year's securitization activity, including the amount of exposures securitized (by exposure type), and recognized gain or loss on sale by exposure type. | |
| (k) Aggregate amount of resecuritization exposures retained or purchased categorized according to: | |
| (1) Exposures to which credit risk mitigation is applied and those not applied; and | |
| (2) Exposures to guarantors categorized according to guarantor creditworthiness categories or guarantor name. |
1 The FDIC-supervised institution should describe the structure of resecuritizations in which it participates; this description should be provided for the main categories of resecuritization products in which the FDIC-supervised institution is active.
2 For example, these roles may include originator, investor, servicer, provider of credit enhancement, sponsor, liquidity provider, or swap provider.
3 Such affiliated entities may include, for example, money market funds, to be listed individually, and personal and private trusts, to be noted collectively.
4 “Exposures securitized” include underlying exposures originated by the FDIC-supervised institution, whether generated by them or purchased, and recognized in the balance sheet, from third parties, and third-party exposures included in sponsored transactions. Securitization transactions (including underlying exposures originally on the FDIC-supervised institution's balance sheet and underlying exposures acquired by the FDIC-supervised institution from third-party entities) in which the originating bank does not retain any securitization exposure should be shown separately but need only be reported for the year of inception. FDIC-supervised institutions are required to disclose exposures regardless of whether there is a capital charge under this part.
5 Include credit-related other than temporary impairment (OTTI).
6 For example, charge-offs/allowances (if the assets remain on the FDIC-supervised institution's balance sheet) or credit-related OTTI of interest-only strips and other retained residual interests, as well as recognition of liabilities for probable future financial support required of the FDIC-supervised institution with respect to securitized assets.
Table 9 to § 324.63 - Equities Not Subject to Subpart F of This Part
| Qualitative Disclosures | (a) | The general qualitative disclosure requirement with respect to equity risk for equities not subject to subpart F of this part, including: (1) Differentiation between holdings on which capital gains are expected and those taken under other objectives including for relationship and strategic reasons; and (2) Discussion of important policies covering the valuation of and accounting for equity holdings not subject to subpart F of this part. This includes the accounting techniques and valuation methodologies used, including key assumptions and practices affecting valuation as well as significant changes in these practices. |
| Quantitative Disclosures | (b) | Value disclosed on the balance sheet of investments, as well as the fair value of those investments; for securities that are publicly traded, a comparison to publicly-quoted share values where the share price is materially different from fair value. |
| (c) | The types and nature of investments, including the amount that is: (1) Publicly traded; and (2) Non publicly traded. |
|
| (d) | The cumulative realized gains (losses) arising from sales and liquidations in the reporting period. | |
| (e) | (1) Total unrealized gains (losses).1 (2) Total latent revaluation gains (losses).2 (3) Any amounts of the above included in tier 1 or tier 2 capital. |
|
| (f) | Capital requirements categorized by appropriate equity groupings, consistent with the FDIC-supervised institution's methodology, as well as the aggregate amounts and the type of equity investments subject to any supervisory transition regarding regulatory capital requirements. |
1 Unrealized gains (losses) recognized on the balance sheet but not through earnings.
2 Unrealized gains (losses) not recognized either on the balance sheet or through earnings.
Table 10 to § 324.63 - Interest Rate Risk for Non-Trading Activities
| Qualitative disclosures | (a) | The general qualitative disclosure requirement, including the nature of interest rate risk for non-trading activities and key assumptions, including assumptions regarding loan prepayments and behavior of non-maturity deposits, and frequency of measurement of interest rate risk for non-trading activities. |
| Quantitative disclosures | (b) | The increase (decline) in earnings or economic value (or relevant measure used by management) for upward and downward rate shocks according to management's method for measuring interest rate risk for non-trading activities, categorized by currency (as appropriate). |
(d) A Category III FDIC-supervised institution that is required to publicly disclose its supplementary leverage ratio pursuant to § 324.172(d) is subject to the supplementary leverage ratio disclosure requirement at § 324.173(a)(2).
(e) A Category III FDIC-supervised institution that is required to calculate a countercyclical capital buffer pursuant to § 324.11 is subject to the disclosure requirement at Table 4 to § 324.173, “Capital Conservation and Countercyclical Capital Buffers,” and not to the disclosure requirement at Table 4 to this section, “Capital Conservation Buffer.”
[78 FR 55471, Sept. 10, 2013, as amended at 78 FR 62417, Oct. 22, 2013; 79 FR 20760, Apr. 14, 2014; 84 FR 4247, Feb. 14, 2019; 84 FR 35278, July 22, 2019; 84 FR 59279, Nov. 1, 2019]
(a) Purpose. This subpart E establishes:
(1) Minimum qualifying criteria for FDIC-supervised institutions using institution-specific internal risk measurement and management processes for calculating risk-based capital requirements; and
(2) Methodologies for such FDIC-supervised institutions to calculate their total risk-weighted assets.
(b) Applicability.
(1) This subpart applies to an FDIC-supervised institution that:
(i) Is a subsidiary of a global systemically important BHC, as identified pursuant to 12 CFR 217.402;
(ii) Is a Category II FDIC-supervised institution;
(iii) Is a subsidiary of a depository institution that uses the advanced approaches pursuant to 12 CFR part 3, subpart E (OCC), 12 CFR part 217, subpart E (Board), or this subpart (FDIC) to calculate its risk-based capital requirements;
(iv) Is a subsidiary of a bank holding company or savings and loan holding company that uses the advanced approaches pursuant to subpart E of 12 CFR part 217 to calculate its risk-based capital requirements; or
(v) Elects to use this subpart to calculate its risk-based capital requirements.
(2) A market risk FDIC-supervised institution must exclude from its calculation of risk-weighted assets under this subpart the risk-weighted asset amounts of all covered positions, as defined in subpart F of this part (except foreign exchange positions that are not trading positions, over-the-counter derivative positions, cleared transactions, and unsettled transactions).
(c) Principle of conservatism. Notwithstanding the requirements of this subpart, an FDIC-supervised institution may choose not to apply a provision of this subpart to one or more exposures provided that:
(1) The FDIC-supervised institution can demonstrate on an ongoing basis to the satisfaction of the FDIC that not applying the provision would, in all circumstances, unambiguously generate a risk-based capital requirement for each such exposure greater than that which would otherwise be required under this subpart;
(2) The FDIC-supervised institution appropriately manages the risk of each such exposure;
(3) The FDIC-supervised institution notifies the FDIC in writing prior to applying this principle to each such exposure; and
(4) The exposures to which the FDIC-supervised institution applies this principle are not, in the aggregate, material to the FDIC-supervised institution.
[78 FR 55471, Sept. 10, 2013, as amended at 80 FR 41423, July 15, 2015; 84 FR 59279, Nov. 1, 2019]
(a) Terms that are set forth in § 324.2 and used in this subpart have the definitions assigned thereto in § 324.2.
(b) For the purposes of this subpart, the following terms are defined as follows:
Advanced internal ratings-based (IRB) systems means an advanced approaches FDIC-supervised institution's internal risk rating and segmentation system; risk parameter quantification system; data management and maintenance system; and control, oversight, and validation system for credit risk of wholesale and retail exposures.
Advanced systems means an advanced approaches FDIC-supervised institution's advanced IRB systems, operational risk management processes, operational risk data and assessment systems, operational risk quantification systems, and, to the extent used by the FDIC-supervised institution, the internal models methodology, advanced CVA approach, double default excessive correlation detection process, and internal models approach (IMA) for equity exposures.
Backtesting means the comparison of an FDIC-supervised institution's internal estimates with actual outcomes during a sample period not used in model development. In this context, backtesting is one form of out-of-sample testing.
Benchmarking means the comparison of an FDIC-supervised institution's internal estimates with relevant internal and external data or with estimates based on other estimation techniques.
Bond option contract means a bond option, bond future, or any other instrument linked to a bond that gives rise to similar counterparty credit risk.
Business environment and internal control factors means the indicators of an FDIC-supervised institution's operational risk profile that reflect a current and forward-looking assessment of the FDIC-supervised institution's underlying business risk factors and internal control environment.
Credit default swap (CDS) means a financial contract executed under standard industry documentation that allows one party (the protection purchaser) to transfer the credit risk of one or more exposures (reference exposure(s)) to another party (the protection provider) for a certain period of time.
Credit valuation adjustment (CVA) means the fair value adjustment to reflect counterparty credit risk in valuation of OTC derivative contracts.
Default - For the purposes of calculating capital requirements under this subpart:
(1) Retail.
(i) A retail exposure of an FDIC-supervised institution is in default if:
(A) The exposure is 180 days past due, in the case of a residential mortgage exposure or revolving exposure;
(B) The exposure is 120 days past due, in the case of retail exposures that are not residential mortgage exposures or revolving exposures; or
(C) The FDIC-supervised institution has taken a full or partial charge-off, write-down of principal, or material negative fair value adjustment of principal on the exposure for credit-related reasons.
(ii) Notwithstanding paragraph (1)(i) of this definition, for a retail exposure held by a non-U.S. subsidiary of the FDIC-supervised institution that is subject to an internal ratings-based approach to capital adequacy consistent with the Basel Committee on Banking Supervision's “International Convergence of Capital Measurement and Capital Standards: A Revised Framework” in a non-U.S. jurisdiction, the FDIC-supervised institution may elect to use the definition of default that is used in that jurisdiction, provided that the FDIC-supervised institution has obtained prior approval from the FDIC to use the definition of default in that jurisdiction.
(iii) A retail exposure in default remains in default until the FDIC-supervised institution has reasonable assurance of repayment and performance for all contractual principal and interest payments on the exposure.
(2) Wholesale.
(i) An FDIC-supervised institution's wholesale obligor is in default if:
(A) The FDIC-supervised institution determines that the obligor is unlikely to pay its credit obligations to the FDIC-supervised institution in full, without recourse by the FDIC-supervised institution to actions such as realizing collateral (if held); or
(B) The obligor is past due more than 90 days on any material credit obligation(s) to the FDIC-supervised institution.[29]
(ii) An obligor in default remains in default until the FDIC-supervised institution has reasonable assurance of repayment and performance for all contractual principal and interest payments on all exposures of the FDIC-supervised institution to the obligor (other than exposures that have been fully written-down or charged-off).
Dependence means a measure of the association among operational losses across and within units of measure.
Economic downturn conditions means, with respect to an exposure held by the FDIC-supervised institution, those conditions in which the aggregate default rates for that exposure's wholesale or retail exposure subcategory (or subdivision of such subcategory selected by the FDIC-supervised institution) in the exposure's national jurisdiction (or subdivision of such jurisdiction selected by the FDIC-supervised institution) are significantly higher than average.
Effective maturity (M) of a wholesale exposure means:
(1) For wholesale exposures other than repo-style transactions, eligible margin loans, and OTC derivative contracts described in paragraph (2) or (3) of this definition:
(i) The weighted-average remaining maturity (measured in years, whole or fractional) of the expected contractual cash flows from the exposure, using the undiscounted amounts of the cash flows as weights; or
(ii) The nominal remaining maturity (measured in years, whole or fractional) of the exposure.
(2) For repo-style transactions, eligible margin loans, and OTC derivative contracts subject to a qualifying master netting agreement for which the FDIC-supervised institution does not apply the internal models approach in § 324.132(d), the weighted-average remaining maturity (measured in years, whole or fractional) of the individual transactions subject to the qualifying master netting agreement, with the weight of each individual transaction set equal to the notional amount of the transaction.
(3) For repo-style transactions, eligible margin loans, and OTC derivative contracts for which the FDIC-supervised institution applies the internal models approach in § 324.132(d), the value determined in § 324.132(d)(4).
Eligible double default guarantor, with respect to a guarantee or credit derivative obtained by an FDIC-supervised institution, means:
(1) U.S.-based entities. A depository institution, a bank holding company, a savings and loan holding company, or a securities broker or dealer registered with the SEC under the Securities Exchange Act, if at the time the guarantee is issued or anytime thereafter, has issued and outstanding an unsecured debt security without credit enhancement that is investment grade.
(2) Non-U.S.-based entities. A foreign bank, or a non-U.S.-based securities firm if the FDIC-supervised institution demonstrates that the guarantor is subject to consolidated supervision and regulation comparable to that imposed on U.S. depository institutions (or securities broker-dealers), if at the time the guarantee is issued or anytime thereafter, has issued and outstanding an unsecured debt security without credit enhancement that is investment grade.
Eligible operational risk offsets means amounts, not to exceed expected operational loss, that:
(1) Are generated by internal business practices to absorb highly predictable and reasonably stable operational losses, including reserves calculated consistent with GAAP; and
(2) Are available to cover expected operational losses with a high degree of certainty over a one-year horizon.
Eligible purchased wholesale exposure means a purchased wholesale exposure that:
(1) The FDIC-supervised institution or securitization SPE purchased from an unaffiliated seller and did not directly or indirectly originate;
(2) Was generated on an arm's-length basis between the seller and the obligor (intercompany accounts receivable and receivables subject to contra-accounts between firms that buy and sell to each other do not satisfy this criterion);
(3) Provides the FDIC-supervised institution or securitization SPE with a claim on all proceeds from the exposure or a pro rata interest in the proceeds from the exposure;
(4) Has an M of less than one year; and
(5) When consolidated by obligor, does not represent a concentrated exposure relative to the portfolio of purchased wholesale exposures.
Expected exposure (EE) means the expected value of the probability distribution of non-negative credit risk exposures to a counterparty at any specified future date before the maturity date of the longest term transaction in the netting set. Any negative fair values in the probability distribution of fair values to a counterparty at a specified future date are set to zero to convert the probability distribution of fair values to the probability distribution of credit risk exposures.
Expected operational loss (EOL) means the expected value of the distribution of potential aggregate operational losses, as generated by the FDIC-supervised institution's operational risk quantification system using a one-year horizon.
Expected positive exposure (EPE) means the weighted average over time of expected (non-negative) exposures to a counterparty where the weights are the proportion of the time interval that an individual expected exposure represents. When calculating risk-based capital requirements, the average is taken over a one-year horizon.
Exposure at default (EAD) means:
(1) For the on-balance sheet component of a wholesale exposure or segment of retail exposures (other than an OTC derivative contract, a repo-style transaction or eligible margin loan for which the FDIC-supervised institution determines EAD under § 324.132, a cleared transaction, or default fund contribution), EAD means the FDIC-supervised institution's carrying value (including net accrued but unpaid interest and fees) for the exposure or segment less any allocated transfer risk reserve for the exposure or segment.
(2) For the off-balance sheet component of a wholesale exposure or segment of retail exposures (other than an OTC derivative contract, a repo-style transaction or eligible margin loan for which the FDIC-supervised institution determines EAD under § 324.132, cleared transaction, or default fund contribution) in the form of a loan commitment, line of credit, trade-related letter of credit, or transaction-related contingency, EAD means the FDIC-supervised institution's best estimate of net additions to the outstanding amount owed the FDIC-supervised institution, including estimated future additional draws of principal and accrued but unpaid interest and fees, that are likely to occur over a one-year horizon assuming the wholesale exposure or the retail exposures in the segment were to go into default. This estimate of net additions must reflect what would be expected during economic downturn conditions. For the purposes of this definition:
(i) Trade-related letters of credit are short-term, self-liquidating instruments that are used to finance the movement of goods and are collateralized by the underlying goods.
(ii) Transaction-related contingencies relate to a particular transaction and include, among other things, performance bonds and performance-based letters of credit.
(3) For the off-balance sheet component of a wholesale exposure or segment of retail exposures (other than an OTC derivative contract, a repo-style transaction, or eligible margin loan for which the FDIC-supervised institution determines EAD under § 324.132, cleared transaction, or default fund contribution) in the form of anything other than a loan commitment, line of credit, trade-related letter of credit, or transaction-related contingency, EAD means the notional amount of the exposure or segment.
(4) EAD for OTC derivative contracts is calculated as described in § 324.132. An FDIC-supervised institution also may determine EAD for repo-style transactions and eligible margin loans as described in § 324.132.
Exposure category means any of the wholesale, retail, securitization, or equity exposure categories.
External operational loss event data means, with respect to an FDIC-supervised institution, gross operational loss amounts, dates, recoveries, and relevant causal information for operational loss events occurring at organizations other than the FDIC-supervised institution.
IMM exposure means a repo-style transaction, eligible margin loan, or OTC derivative for which an FDIC-supervised institution calculates its EAD using the internal models methodology of § 324.132(d).
Internal operational loss event data means, with respect to an FDIC-supervised institution, gross operational loss amounts, dates, recoveries, and relevant causal information for operational loss events occurring at the FDIC-supervised institution.
Loss given default (LGD) means:
(1) For a wholesale exposure, the greatest of:
(i) Zero;
(ii) The FDIC-supervised institution's empirically based best estimate of the long-run default-weighted average economic loss, per dollar of EAD, the FDIC-supervised institution would expect to incur if the obligor (or a typical obligor in the loss severity grade assigned by the FDIC-supervised institution to the exposure) were to default within a one-year horizon over a mix of economic conditions, including economic downturn conditions; or
(iii) The FDIC-supervised institution's empirically based best estimate of the economic loss, per dollar of EAD, the FDIC-supervised institution would expect to incur if the obligor (or a typical obligor in the loss severity grade assigned by the FDIC-supervised institution to the exposure) were to default within a one-year horizon during economic downturn conditions.
(2) For a segment of retail exposures, the greatest of:
(i) Zero;
(ii) The FDIC-supervised institution's empirically based best estimate of the long-run default-weighted average economic loss, per dollar of EAD, the FDIC-supervised institution would expect to incur if the exposures in the segment were to default within a one-year horizon over a mix of economic conditions, including economic downturn conditions; or
(iii) The FDIC-supervised institution's empirically based best estimate of the economic loss, per dollar of EAD, the FDIC-supervised institution would expect to incur if the exposures in the segment were to default within a one-year horizon during economic downturn conditions.
(3) The economic loss on an exposure in the event of default is all material credit-related losses on the exposure (including accrued but unpaid interest or fees, losses on the sale of collateral, direct workout costs, and an appropriate allocation of indirect workout costs). Where positive or negative cash flows on a wholesale exposure to a defaulted obligor or a defaulted retail exposure (including proceeds from the sale of collateral, workout costs, additional extensions of credit to facilitate repayment of the exposure, and draw-downs of unused credit lines) occur after the date of default, the economic loss must reflect the net present value of cash flows as of the default date using a discount rate appropriate to the risk of the defaulted exposure.
Obligor means the legal entity or natural person contractually obligated on a wholesale exposure, except that an FDIC-supervised institution may treat the following exposures as having separate obligors:
(1) Exposures to the same legal entity or natural person denominated in different currencies;
(2)
(i) An income-producing real estate exposure for which all or substantially all of the repayment of the exposure is reliant on the cash flows of the real estate serving as collateral for the exposure; the FDIC-supervised institution, in economic substance, does not have recourse to the borrower beyond the real estate collateral; and no cross-default or cross-acceleration clauses are in place other than clauses obtained solely out of an abundance of caution; and
(ii) Other credit exposures to the same legal entity or natural person; and
(3)
(i) A wholesale exposure authorized under section 364 of the U.S. Bankruptcy Code (11 U.S.C. 364) to a legal entity or natural person who is a debtor-in-possession for purposes of Chapter 11 of the Bankruptcy Code; and
(ii) Other credit exposures to the same legal entity or natural person.
Operational loss means a loss (excluding insurance or tax effects) resulting from an operational loss event. Operational loss includes all expenses associated with an operational loss event except for opportunity costs, forgone revenue, and costs related to risk management and control enhancements implemented to prevent future operational losses.
Operational loss event means an event that results in loss and is associated with any of the following seven operational loss event type categories:
(1) Internal fraud, which means the operational loss event type category that comprises operational losses resulting from an act involving at least one internal party of a type intended to defraud, misappropriate property, or circumvent regulations, the law, or company policy excluding diversity- and discrimination-type events.
(2) External fraud, which means the operational loss event type category that comprises operational losses resulting from an act by a third party of a type intended to defraud, misappropriate property, or circumvent the law. Retail credit card losses arising from non-contractual, third-party-initiated fraud (for example, identity theft) are external fraud operational losses. All other third-party-initiated credit losses are to be treated as credit risk losses.
(3) Employment practices and workplace safety, which means the operational loss event type category that comprises operational losses resulting from an act inconsistent with employment, health, or safety laws or agreements, payment of personal injury claims, or payment arising from diversity- and discrimination-type events.
(4) Clients, products, and business practices, which means the operational loss event type category that comprises operational losses resulting from the nature or design of a product or from an unintentional or negligent failure to meet a professional obligation to specific clients (including fiduciary and suitability requirements).
(5) Damage to physical assets, which means the operational loss event type category that comprises operational losses resulting from the loss of or damage to physical assets from natural disaster or other events.
(6) Business disruption and system failures, which means the operational loss event type category that comprises operational losses resulting from disruption of business or system failures.
(7) Execution, delivery, and process management, which means the operational loss event type category that comprises operational losses resulting from failed transaction processing or process management or losses arising from relations with trade counterparties and vendors.
Operational risk means the risk of loss resulting from inadequate or failed internal processes, people, and systems or from external events (including legal risk but excluding strategic and reputational risk).
Operational risk exposure means the 99.9th percentile of the distribution of potential aggregate operational losses, as generated by the FDIC-supervised institution's operational risk quantification system over a one-year horizon (and not incorporating eligible operational risk offsets or qualifying operational risk mitigants).
Other retail exposure means an exposure (other than a securitization exposure, an equity exposure, a residential mortgage exposure, a pre-sold construction loan, a qualifying revolving exposure, or the residual value portion of a lease exposure) that is managed as part of a segment of exposures with homogeneous risk characteristics, not on an individual-exposure basis, and is either:
(1) An exposure to an individual for non-business purposes; or
(2) An exposure to an individual or company for business purposes if the FDIC-supervised institution's consolidated business credit exposure to the individual or company is $1 million or less.
Probability of default (PD) means:
(1) For a wholesale exposure to a non-defaulted obligor, the FDIC-supervised institution's empirically based best estimate of the long-run average one-year default rate for the rating grade assigned by the FDIC-supervised institution to the obligor, capturing the average default experience for obligors in the rating grade over a mix of economic conditions (including economic downturn conditions) sufficient to provide a reasonable estimate of the average one-year default rate over the economic cycle for the rating grade.
(2) For a segment of non-defaulted retail exposures, the FDIC-supervised institution's empirically based best estimate of the long-run average one-year default rate for the exposures in the segment, capturing the average default experience for exposures in the segment over a mix of economic conditions (including economic downturn conditions) sufficient to provide a reasonable estimate of the average one-year default rate over the economic cycle for the segment.
(3) For a wholesale exposure to a defaulted obligor or segment of defaulted retail exposures, 100 percent.
Qualifying cross-product master netting agreement means a qualifying master netting agreement that provides for termination and close-out netting across multiple types of financial transactions or qualifying master netting agreements in the event of a counterparty's default, provided that the underlying financial transactions are OTC derivative contracts, eligible margin loans, or repo-style transactions. In order to treat an agreement as a qualifying cross-product master netting agreement for purposes of this subpart, an FDIC-supervised institution must comply with the requirements of § 324.3(c) of this part with respect to that agreement.
Qualifying revolving exposure (QRE) means an exposure (other than a securitization exposure or equity exposure) to an individual that is managed as part of a segment of exposures with homogeneous risk characteristics, not on an individual-exposure basis, and:
(1) Is revolving (that is, the amount outstanding fluctuates, determined largely by a borrower's decision to borrow and repay up to a pre-established maximum amount, except for an outstanding amount that the borrower is required to pay in full every month);
(2) Is unsecured and unconditionally cancelable by the FDIC-supervised institution to the fullest extent permitted by Federal law; and
(3)
(i) Has a maximum contractual exposure amount (drawn plus undrawn) of up to $100,000; or
(ii) With respect to a product with an outstanding amount that the borrower is required to pay in full every month, the total outstanding amount does not in practice exceed $100,000.
(4) A segment of exposures that contains one or more exposures that fails to meet paragraph (3)(ii) of this definition must be treated as a segment of other retail exposures for the 24 month period following the month in which the total outstanding amount of one or more exposures individually exceeds $100,000.
Retail exposure means a residential mortgage exposure, a qualifying revolving exposure, or an other retail exposure.
Retail exposure subcategory means the residential mortgage exposure, qualifying revolving exposure, or other retail exposure subcategory.
Risk parameter means a variable used in determining risk-based capital requirements for wholesale and retail exposures, specifically probability of default (PD), loss given default (LGD), exposure at default (EAD), or effective maturity (M).
Scenario analysis means a systematic process of obtaining expert opinions from business managers and risk management experts to derive reasoned assessments of the likelihood and loss impact of plausible high-severity operational losses. Scenario analysis may include the well-reasoned evaluation and use of external operational loss event data, adjusted as appropriate to ensure relevance to an FDIC-supervised institution's operational risk profile and control structure.
Total wholesale and retail risk-weighted assets means the sum of:
(1) Risk-weighted assets for wholesale exposures that are not IMM exposures, cleared transactions, or default fund contributions to non-defaulted obligors and segments of non-defaulted retail exposures;
(2) Risk-weighted assets for wholesale exposures to defaulted obligors and segments of defaulted retail exposures;
(3) Risk-weighted assets for assets not defined by an exposure category;
(4) Risk-weighted assets for non-material portfolios of exposures;
(5) Risk-weighted assets for IMM exposures (as determined in § 324.132(d));
(6) Risk-weighted assets for cleared transactions and risk-weighted assets for default fund contributions (as determined in § 324.133); and
(7) Risk-weighted assets for unsettled transactions (as determined in § 324.136).
Unexpected operational loss (UOL) means the difference between the FDIC-supervised institution's operational risk exposure and the FDIC-supervised institution's expected operational loss.
Unit of measure means the level (for example, organizational unit or operational loss event type) at which the FDIC-supervised institution's operational risk quantification system generates a separate distribution of potential operational losses.
Wholesale exposure means a credit exposure to a company, natural person, sovereign, or governmental entity (other than a securitization exposure, retail exposure, pre-sold construction loan, or equity exposure).
Wholesale exposure subcategory means the HVCRE or non-HVCRE wholesale exposure subcategory.
[78 FR 55471, Sept. 10, 2013, as 81 FR 71354, Oct. 17, 2016]
(a) Timing.
(1) An FDIC-supervised institution that is described in § 324.100(b)(1)(i) through (iv) must adopt a written implementation plan no later than six months after the date the FDIC-supervised institution meets a criterion in that section. The implementation plan must incorporate an explicit start date no later than 36 months after the date the FDIC-supervised institution meets at least one criterion under § 324.100(b)(1)(i) through (iv). The FDIC may extend the start date.
(2) An FDIC-supervised institution that elects to be subject to this subpart under § 324.100(b)(1)(v) must adopt a written implementation plan.
(b) Implementation plan.
(1) The FDIC-supervised institution's implementation plan must address in detail how the FDIC-supervised institution complies, or plans to comply, with the qualification requirements in § 324.122. The FDIC-supervised institution also must maintain a comprehensive and sound planning and governance process to oversee the implementation efforts described in the plan. At a minimum, the plan must:
(i) Comprehensively address the qualification requirements in § 324.122 for the FDIC-supervised institution and each consolidated subsidiary (U.S. and foreign-based) of the FDIC-supervised institution with respect to all portfolios and exposures of the FDIC-supervised institution and each of its consolidated subsidiaries;
(ii) Justify and support any proposed temporary or permanent exclusion of business lines, portfolios, or exposures from the application of the advanced approaches in this subpart (which business lines, portfolios, and exposures must be, in the aggregate, immaterial to the FDIC-supervised institution);
(iii) Include the FDIC-supervised institution's self-assessment of:
(A) The FDIC-supervised institution's current status in meeting the qualification requirements in § 324.122; and
(B) The consistency of the FDIC-supervised institution's current practices with the FDIC's supervisory guidance on the qualification requirements;
(iv) Based on the FDIC-supervised institution's self-assessment, identify and describe the areas in which the FDIC-supervised institution proposes to undertake additional work to comply with the qualification requirements in § 324.122 or to improve the consistency of the FDIC-supervised institution's current practices with the FDIC's supervisory guidance on the qualification requirements (gap analysis);
(v) Describe what specific actions the FDIC-supervised institution will take to address the areas identified in the gap analysis required by paragraph (b)(1)(iv) of this section;
(vi) Identify objective, measurable milestones, including delivery dates and a date when the FDIC-supervised institution's implementation of the methodologies described in this subpart will be fully operational;
(vii) Describe resources that have been budgeted and are available to implement the plan; and
(viii) Receive approval of the FDIC-supervised institution's board of directors.
(2) The FDIC-supervised institution must submit the implementation plan, together with a copy of the minutes of the board of directors' approval, to the FDIC at least 60 days before the FDIC-supervised institution proposes to begin its parallel run, unless the FDIC waives prior notice.
(c) Parallel run. Before determining its risk-weighted assets under this subpart and following adoption of the implementation plan, the FDIC-supervised institution must conduct a satisfactory parallel run. A satisfactory parallel run is a period of no less than four consecutive calendar quarters during which the FDIC-supervised institution complies with the qualification requirements in § 324.122 to the satisfaction of the FDIC. During the parallel run, the FDIC-supervised institution must report to the FDIC on a calendar quarterly basis its risk-based capital ratios determined in accordance with § 324.10(b)(1) through (3) and § 324.10(d)(1) through (3). During this period, the FDIC-supervised institution's minimum risk-based capital ratios are determined as set forth in subpart D of this part.
(d) Approval to calculate risk-based capital requirements under this subpart. The FDIC will notify the FDIC-supervised institution of the date that the FDIC-supervised institution must begin to use this subpart for purposes of § 324.10 if the FDIC determines that:
(1) The FDIC-supervised institution fully complies with all the qualification requirements in § 324.122;
(2) The FDIC-supervised institution has conducted a satisfactory parallel run under paragraph (c) of this section; and
(3) The FDIC-supervised institution has an adequate process to ensure ongoing compliance with the qualification requirements in § 324.122.
[78 FR 55471, Sept. 10, 2013, as amended at 86 FR 745, Jan. 6, 2021]
(a) Process and systems requirements.
(1) An FDIC-supervised institution must have a rigorous process for assessing its overall capital adequacy in relation to its risk profile and a comprehensive strategy for maintaining an appropriate level of capital.
(2) The systems and processes used by an FDIC-supervised institution for risk-based capital purposes under this subpart must be consistent with the FDIC-supervised institution's internal risk management processes and management information reporting systems.
(3) Each FDIC-supervised institution must have an appropriate infrastructure with risk measurement and management processes that meet the qualification requirements of this section and are appropriate given the FDIC-supervised institution's size and level of complexity. Regardless of whether the systems and models that generate the risk parameters necessary for calculating an FDIC-supervised institution's risk-based capital requirements are located at any affiliate of the FDIC-supervised institution, the FDIC-supervised institution itself must ensure that the risk parameters and reference data used to determine its risk-based capital requirements are representative of long run experience with respect to its own credit risk and operational risk exposures.
(b) Risk rating and segmentation systems for wholesale and retail exposures.
(1)
(i) An FDIC-supervised institution must have an internal risk rating and segmentation system that accurately, reliably, and meaningfully differentiates among degrees of credit risk for the FDIC-supervised institution's wholesale and retail exposures. When assigning an internal risk rating, an FDIC-supervised institution may consider a third-party assessment of credit risk, provided that the FDIC-supervised institution's internal risk rating assignment does not rely solely on the external assessment.
(ii) If an FDIC-supervised institution uses multiple rating or segmentation systems, the FDIC-supervised institution's rationale for assigning an obligor or exposure to a particular system must be documented and applied in a manner that best reflects the obligor or exposure's level of risk. An FDIC-supervised institution must not inappropriately allocate obligors or exposures across systems to minimize regulatory capital requirements.
(iii) In assigning ratings to wholesale obligors and exposures, including loss severity ratings grades to wholesale exposures, and assigning retail exposures to retail segments, an FDIC-supervised institution must use all relevant and material information and ensure that the information is current.
(iv) When assigning an obligor to a PD rating or retail exposure to a PD segment, an FDIC-supervised institution must assess the obligor or retail borrower's ability and willingness to contractually perform, taking a conservative view of projected information.
(2) For wholesale exposures:
(i) An FDIC-supervised institution must have an internal risk rating system that accurately and reliably assigns each obligor to a single rating grade (reflecting the obligor's likelihood of default). An FDIC-supervised institution may elect, however, not to assign to a rating grade an obligor to whom the FDIC-supervised institution extends credit based solely on the financial strength of a guarantor, provided that all of the FDIC-supervised institution's exposures to the obligor are fully covered by eligible guarantees, the FDIC-supervised institution applies the PD substitution approach in § 324.134(c)(1) to all exposures to that obligor, and the FDIC-supervised institution immediately assigns the obligor to a rating grade if a guarantee can no longer be recognized under this part. The FDIC-supervised institution's wholesale obligor rating system must have at least seven discrete rating grades for non-defaulted obligors and at least one rating grade for defaulted obligors.
(ii) Unless the FDIC-supervised institution has chosen to directly assign LGD estimates to each wholesale exposure, the FDIC-supervised institution must have an internal risk rating system that accurately and reliably assigns each wholesale exposure to a loss severity rating grade (reflecting the FDIC-supervised institution's estimate of the LGD of the exposure). An FDIC-supervised institution employing loss severity rating grades must have a sufficiently granular loss severity grading system to avoid grouping together exposures with widely ranging LGDs.
(iii) An FDIC-supervised institution must have an effective process to obtain and update in a timely manner relevant and material information on obligor and exposure characteristics that affect PD, LGD and EAD.
(3) For retail exposures:
(i) An FDIC-supervised institution must have an internal system that groups retail exposures into the appropriate retail exposure subcategory and groups the retail exposures in each retail exposure subcategory into separate segments with homogeneous risk characteristics that provide a meaningful differentiation of risk. The FDIC-supervised institution's system must identify and group in separate segments by subcategories exposures identified in § 324.131(c)(2)(ii) and (iii).
(ii) An FDIC-supervised institution must have an internal system that captures all relevant exposure risk characteristics, including borrower credit score, product and collateral types, as well as exposure delinquencies, and must consider cross-collateral provisions, where present.
(iii) The FDIC-supervised institution must review and, if appropriate, update assignments of individual retail exposures to segments and the loss characteristics and delinquency status of each identified risk segment. These reviews must occur whenever the FDIC-supervised institution receives new material information, but generally no less frequently than quarterly, and, in all cases, at least annually.
(4) The FDIC-supervised institution's internal risk rating policy for wholesale exposures must describe the FDIC-supervised institution's rating philosophy (that is, must describe how wholesale obligor rating assignments are affected by the FDIC-supervised institution's choice of the range of economic, business, and industry conditions that are considered in the obligor rating process).
(5) The FDIC-supervised institution's internal risk rating system for wholesale exposures must provide for the review and update (as appropriate) of each obligor rating and (if applicable) each loss severity rating whenever the FDIC-supervised institution obtains relevant and material information on the obligor or exposure that affects PD, LGD and EAD, but no less frequently than annually.
(c) Quantification of risk parameters for wholesale and retail exposures.
(1) The FDIC-supervised institution must have a comprehensive risk parameter quantification process that produces accurate, timely, and reliable estimates of the risk parameters on a consistent basis for the FDIC-supervised institution's wholesale and retail exposures.
(2) An FDIC-supervised institution's estimates of PD, LGD, and EAD must incorporate all relevant, material, and available data that is reflective of the FDIC-supervised institution's actual wholesale and retail exposures and of sufficient quality to support the determination of risk-based capital requirements for the exposures. In particular, the population of exposures in the data used for estimation purposes, the lending standards in use when the data were generated, and other relevant characteristics, should closely match or be comparable to the FDIC-supervised institution's exposures and standards. In addition, an FDIC-supervised institution must:
(i) Demonstrate that its estimates are representative of long run experience, including periods of economic downturn conditions, whether internal or external data are used;
(ii) Take into account any changes in lending practice or the process for pursuing recoveries over the observation period;
(iii) Promptly reflect technical advances, new data, and other information as they become available;
(iv) Demonstrate that the data used to estimate risk parameters support the accuracy and robustness of those estimates; and
(v) Demonstrate that its estimation technique performs well in out-of-sample tests whenever possible.
(3) The FDIC-supervised institution's risk parameter quantification process must produce appropriately conservative risk parameter estimates where the FDIC-supervised institution has limited relevant data, and any adjustments that are part of the quantification process must not result in a pattern of bias toward lower risk parameter estimates.
(4) The FDIC-supervised institution's risk parameter estimation process should not rely on the possibility of U.S. government financial assistance, except for the financial assistance that the U.S. government has a legally binding commitment to provide.
(5) The FDIC-supervised institution must be able to demonstrate which variables have been found to be statistically significant with regard to EAD. The FDIC-supervised institution's EAD estimates must reflect its specific policies and strategies with regard to account management, including account monitoring and payment processing, and its ability and willingness to prevent further drawdowns in circumstances short of payment default. The FDIC-supervised institution must have adequate systems and procedures in place to monitor current outstanding amounts against committed lines, and changes in outstanding amounts per obligor and obligor rating grade and per retail segment. The FDIC-supervised institution must be able to monitor outstanding amounts on a daily basis.
(6) At a minimum, PD estimates for wholesale obligors and retail segments must be based on at least five years of default data. LGD estimates for wholesale exposures must be based on at least seven years of loss severity data, and LGD estimates for retail segments must be based on at least five years of loss severity data. EAD estimates for wholesale exposures must be based on at least seven years of exposure amount data, and EAD estimates for retail segments must be based on at least five years of exposure amount data. If the FDIC-supervised institution has relevant and material reference data that span a longer period of time than the minimum time periods specified above, the FDIC-supervised institution must incorporate such data in its estimates, provided that it does not place undue weight on periods of favorable or benign economic conditions relative to periods of economic downturn conditions.
(7) Default, loss severity, and exposure amount data must include periods of economic downturn conditions, or the FDIC-supervised institution must adjust its estimates of risk parameters to compensate for the lack of data from periods of economic downturn conditions.
(8) The FDIC-supervised institution's PD, LGD, and EAD estimates must be based on the definition of default in § 324.101.
(9) If an FDIC-supervised institution uses internal data obtained prior to becoming subject to this subpart E or external data to arrive at PD, LGD, or EAD estimates, the FDIC-supervised institution must demonstrate to the FDIC that the FDIC-supervised institution has made appropriate adjustments if necessary to be consistent with the definition of default in § 324.101. Internal data obtained after the FDIC-supervised institution becomes subject to this subpart E must be consistent with the definition of default in § 324.101.
(10) The FDIC-supervised institution must review and update (as appropriate) its risk parameters and its risk parameter quantification process at least annually.
(11) The FDIC-supervised institution must, at least annually, conduct a comprehensive review and analysis of reference data to determine relevance of the reference data to the FDIC-supervised institution's exposures, quality of reference data to support PD, LGD, and EAD estimates, and consistency of reference data to the definition of default in § 324.101.
(d) Counterparty credit risk model. An FDIC-supervised institution must obtain the prior written approval of the FDIC under § 324.132 to use the internal models methodology for counterparty credit risk and the advanced CVA approach for the CVA capital requirement.
(e) Double default treatment. An FDIC-supervised institution must obtain the prior written approval of the FDIC under § 324.135 to use the double default treatment.
(f) Equity exposures model. An FDIC-supervised institution must obtain the prior written approval of the FDIC under § 324.153 to use the internal models approach for equity exposures.
(g) Operational risk.
(1) Operational risk management processes. An FDIC-supervised institution must:
(i) Have an operational risk management function that:
(A) Is independent of business line management; and
(B) Is responsible for designing, implementing, and overseeing the FDIC-supervised institution's operational risk data and assessment systems, operational risk quantification systems, and related processes;
(ii) Have and document a process (which must capture business environment and internal control factors affecting the FDIC-supervised institution's operational risk profile) to identify, measure, monitor, and control operational risk in the FDIC-supervised institution's products, activities, processes, and systems; and
(iii) Report operational risk exposures, operational loss events, and other relevant operational risk information to business unit management, senior management, and the board of directors (or a designated committee of the board).
(2) Operational risk data and assessment systems. An FDIC-supervised institution must have operational risk data and assessment systems that capture operational risks to which the FDIC-supervised institution is exposed. The FDIC-supervised institution's operational risk data and assessment systems must:
(i) Be structured in a manner consistent with the FDIC-supervised institution's current business activities, risk profile, technological processes, and risk management processes; and
(ii) Include credible, transparent, systematic, and verifiable processes that incorporate the following elements on an ongoing basis:
(A) Internal operational loss event data. The FDIC-supervised institution must have a systematic process for capturing and using internal operational loss event data in its operational risk data and assessment systems.
(1) The FDIC-supervised institution's operational risk data and assessment systems must include a historical observation period of at least five years for internal operational loss event data (or such shorter period approved by the FDIC to address transitional situations, such as integrating a new business line).
(2) The FDIC-supervised institution must be able to map its internal operational loss event data into the seven operational loss event type categories.
(3) The FDIC-supervised institution may refrain from collecting internal operational loss event data for individual operational losses below established dollar threshold amounts if the FDIC-supervised institution can demonstrate to the satisfaction of the FDIC that the thresholds are reasonable, do not exclude important internal operational loss event data, and permit the FDIC-supervised institution to capture substantially all the dollar value of the FDIC-supervised institution's operational losses.
(B) External operational loss event data. The FDIC-supervised institution must have a systematic process for determining its methodologies for incorporating external operational loss event data into its operational risk data and assessment systems.
(C) Scenario analysis. The FDIC-supervised institution must have a systematic process for determining its methodologies for incorporating scenario analysis into its operational risk data and assessment systems.
(D) Business environment and internal control factors. The FDIC-supervised institution must incorporate business environment and internal control factors into its operational risk data and assessment systems. The FDIC-supervised institution must also periodically compare the results of its prior business environment and internal control factor assessments against its actual operational losses incurred in the intervening period.
(3) Operational risk quantification systems.
(i) The FDIC-supervised institution's operational risk quantification systems:
(A) Must generate estimates of the FDIC-supervised institution's operational risk exposure using its operational risk data and assessment systems;
(B) Must employ a unit of measure that is appropriate for the FDIC-supervised institution's range of business activities and the variety of operational loss events to which it is exposed, and that does not combine business activities or operational loss events with demonstrably different risk profiles within the same loss distribution;
(C) Must include a credible, transparent, systematic, and verifiable approach for weighting each of the four elements, described in paragraph (g)(2)(ii) of this section, that an FDIC-supervised institution is required to incorporate into its operational risk data and assessment systems;
(D) May use internal estimates of dependence among operational losses across and within units of measure if the FDIC-supervised institution can demonstrate to the satisfaction of the FDIC that its process for estimating dependence is sound, robust to a variety of scenarios, and implemented with integrity, and allows for uncertainty surrounding the estimates. If the FDIC-supervised institution has not made such a demonstration, it must sum operational risk exposure estimates across units of measure to calculate its total operational risk exposure; and
(E) Must be reviewed and updated (as appropriate) whenever the FDIC-supervised institution becomes aware of information that may have a material effect on the FDIC-supervised institution's estimate of operational risk exposure, but the review and update must occur no less frequently than annually.
(ii) With the prior written approval of the FDIC, an FDIC-supervised institution may generate an estimate of its operational risk exposure using an alternative approach to that specified in paragraph (g)(3)(i) of this section. An FDIC-supervised institution proposing to use such an alternative operational risk quantification system must submit a proposal to the FDIC. In determining whether to approve an FDIC-supervised institution's proposal to use an alternative operational risk quantification system, the FDIC will consider the following principles:
(A) Use of the alternative operational risk quantification system will be allowed only on an exception basis, considering the size, complexity, and risk profile of the FDIC-supervised institution;
(B) The FDIC-supervised institution must demonstrate that its estimate of its operational risk exposure generated under the alternative operational risk quantification system is appropriate and can be supported empirically; and
(C) An FDIC-supervised institution must not use an allocation of operational risk capital requirements that includes entities other than depository institutions or the benefits of diversification across entities.
(h) Data management and maintenance.
(1) An FDIC-supervised institution must have data management and maintenance systems that adequately support all aspects of its advanced systems and the timely and accurate reporting of risk-based capital requirements.
(2) An FDIC-supervised institution must retain data using an electronic format that allows timely retrieval of data for analysis, validation, reporting, and disclosure purposes.
(3) An FDIC-supervised institution must retain sufficient data elements related to key risk drivers to permit adequate monitoring, validation, and refinement of its advanced systems.
(i) Control, oversight, and validation mechanisms.
(1) The FDIC-supervised institution's senior management must ensure that all components of the FDIC-supervised institution's advanced systems function effectively and comply with the qualification requirements in this section.
(2) The FDIC-supervised institution's board of directors (or a designated committee of the board) must at least annually review the effectiveness of, and approve, the FDIC-supervised institution's advanced systems.
(3) An FDIC-supervised institution must have an effective system of controls and oversight that:
(i) Ensures ongoing compliance with the qualification requirements in this section;
(ii) Maintains the integrity, reliability, and accuracy of the FDIC-supervised institution's advanced systems; and
(iii) Includes adequate governance and project management processes.
(4) The FDIC-supervised institution must validate, on an ongoing basis, its advanced systems. The FDIC-supervised institution's validation process must be independent of the advanced systems' development, implementation, and operation, or the validation process must be subjected to an independent review of its adequacy and effectiveness. Validation must include:
(i) An evaluation of the conceptual soundness of (including developmental evidence supporting) the advanced systems;
(ii) An ongoing monitoring process that includes verification of processes and benchmarking; and
(iii) An outcomes analysis process that includes backtesting.
(5) The FDIC-supervised institution must have an internal audit function or equivalent function that is independent of business-line management that at least annually:
(i) Reviews the FDIC-supervised institution's advanced systems and associated operations, including the operations of its credit function and estimations of PD, LGD, and EAD;
(ii) Assesses the effectiveness of the controls supporting the FDIC-supervised institution's advanced systems; and
(iii) Documents and reports its findings to the FDIC-supervised institution's board of directors (or a committee thereof).
(6) The FDIC-supervised institution must periodically stress test its advanced systems. The stress testing must include a consideration of how economic cycles, especially downturns, affect risk-based capital requirements (including migration across rating grades and segments and the credit risk mitigation benefits of double default treatment).
(j) Documentation. The FDIC-supervised institution must adequately document all material aspects of its advanced systems.
[78 FR 55471, Sept. 10, 2013, as amended at 80 FR 41423, July 15, 2015]
(a) Changes to advanced systems. An FDIC-supervised institution must meet all the qualification requirements in § 324.122 on an ongoing basis. An FDIC-supervised institution must notify the FDIC when the FDIC-supervised institution makes any change to an advanced system that would result in a material change in the FDIC-supervised institution's advanced approaches total risk-weighted asset amount for an exposure type or when the FDIC-supervised institution makes any significant change to its modeling assumptions.
(b) Failure to comply with qualification requirements.
(1) If the FDIC determines that an FDIC-supervised institution that uses this subpart and that has conducted a satisfactory parallel run fails to comply with the qualification requirements in § 324.122, the FDIC will notify the FDIC-supervised institution in writing of the FDIC-supervised institution's failure to comply.
(2) The FDIC-supervised institution must establish and submit a plan satisfactory to the FDIC to return to compliance with the qualification requirements.
(3) In addition, if the FDIC determines that the FDIC-supervised institution's advanced approaches total risk-weighted assets are not commensurate with the FDIC-supervised institution's credit, market, operational, or other risks, the FDIC may require such an FDIC-supervised institution to calculate its advanced approaches total risk-weighted assets with any modifications provided by the FDIC.
(a) Mergers and acquisitions of companies without advanced systems. If an FDIC-supervised institution merges with or acquires a company that does not calculate its risk-based capital requirements using advanced systems, the FDIC-supervised institution may use subpart D of this part to determine the risk-weighted asset amounts for the merged or acquired company's exposures for up to 24 months after the calendar quarter during which the merger or acquisition consummates. The FDIC may extend this transition period for up to an additional 12 months. Within 90 days of consummating the merger or acquisition, the FDIC-supervised institution must submit to the FDIC an implementation plan for using its advanced systems for the acquired company. During the period in which subpart D of this part applies to the merged or acquired company, any ALLL or AACL, as applicable, net of allocated transfer risk reserves established pursuant to 12 U.S.C. 3904, associated with the merged or acquired company's exposures may be included in the acquiring FDIC-supervised institution's tier 2 capital up to 1.25 percent of the acquired company's risk-weighted assets. All general allowances of the merged or acquired company must be excluded from the FDIC-supervised institution's eligible credit reserves. In addition, the risk-weighted assets of the merged or acquired company are not included in the FDIC-supervised institution's credit-risk-weighted assets but are included in total risk-weighted assets. If an FDIC-supervised institution relies on this paragraph (a), the FDIC-supervised institution must disclose publicly the amounts of risk-weighted assets and qualifying capital calculated under this subpart for the acquiring FDIC-supervised institution and under subpart D of this part for the acquired company.
(b) Mergers and acquisitions of companies with advanced systems.
(1) If an FDIC-supervised institution merges with or acquires a company that calculates its risk-based capital requirements using advanced systems, the FDIC-supervised institution may use the acquired company's advanced systems to determine total risk-weighted assets for the merged or acquired company's exposures for up to 24 months after the calendar quarter during which the acquisition or merger consummates. The FDIC may extend this transition period for up to an additional 12 months. Within 90 days of consummating the merger or acquisition, the FDIC-supervised institution must submit to the FDIC an implementation plan for using its advanced systems for the merged or acquired company.
(2) If the acquiring FDIC-supervised institution is not subject to the advanced approaches in this subpart at the time of acquisition or merger, during the period when subpart D of this part applies to the acquiring FDIC-supervised institution, the ALLL or AACL, as applicable associated with the exposures of the merged or acquired company may not be directly included in tier 2 capital. Rather, any excess eligible credit reserves associated with the merged or acquired company's exposures may be included in the FDIC-supervised institution's tier 2 capital up to 0.6 percent of the credit-risk-weighted assets associated with those exposures.
[78 FR 55471, Sept. 10, 2013, as amended at 79 FR 20760, Apr. 14, 2014; 84 FR 4247, Feb. 14, 2019]
(a) Overview. An FDIC-supervised institution must calculate its total wholesale and retail risk-weighted asset amount in four distinct phases:
(1) Phase 1 - categorization of exposures;
(2) Phase 2 - assignment of wholesale obligors and exposures to rating grades and segmentation of retail exposures;
(3) Phase 3 - assignment of risk parameters to wholesale exposures and segments of retail exposures; and
(4) Phase 4 - calculation of risk-weighted asset amounts.
(b) Phase 1 - Categorization. The FDIC-supervised institution must determine which of its exposures are wholesale exposures, retail exposures, securitization exposures, or equity exposures. The FDIC-supervised institution must categorize each retail exposure as a residential mortgage exposure, a QRE, or an other retail exposure. The FDIC-supervised institution must identify which wholesale exposures are HVCRE exposures, sovereign exposures, OTC derivative contracts, repo-style transactions, eligible margin loans, eligible purchased wholesale exposures, cleared transactions, default fund contributions, unsettled transactions to which § 324.136 applies, and eligible guarantees or eligible credit derivatives that are used as credit risk mitigants. The FDIC-supervised institution must identify any on-balance sheet asset that does not meet the definition of a wholesale, retail, equity, or securitization exposure, as well as any non-material portfolio of exposures described in paragraph (e)(4) of this section.
(c) Phase 2 - Assignment of wholesale obligors and exposures to rating grades and retail exposures to segments -
(1) Assignment of wholesale obligors and exposures to rating grades.
(i) The FDIC-supervised institution must assign each obligor of a wholesale exposure to a single obligor rating grade and must assign each wholesale exposure to which it does not directly assign an LGD estimate to a loss severity rating grade.
(ii) The FDIC-supervised institution must identify which of its wholesale obligors are in default.
(2) Segmentation of retail exposures.
(i) The FDIC-supervised institution must group the retail exposures in each retail subcategory into segments that have homogeneous risk characteristics.
(ii) The FDIC-supervised institution must identify which of its retail exposures are in default. The FDIC-supervised institution must segment defaulted retail exposures separately from non-defaulted retail exposures.
(iii) If the FDIC-supervised institution determines the EAD for eligible margin loans using the approach in § 324.132(b), the FDIC-supervised institution must identify which of its retail exposures are eligible margin loans for which the FDIC-supervised institution uses this EAD approach and must segment such eligible margin loans separately from other retail exposures.
(3) Eligible purchased wholesale exposures. An FDIC-supervised institution may group its eligible purchased wholesale exposures into segments that have homogeneous risk characteristics. An FDIC-supervised institution must use the wholesale exposure formula in Table 1 of this section to determine the risk-based capital requirement for each segment of eligible purchased wholesale exposures.
(d) Phase 3 - Assignment of risk parameters to wholesale exposures and segments of retail exposures -
(1) Quantification process. Subject to the limitations in this paragraph (d), the FDIC-supervised institution must:
(i) Associate a PD with each wholesale obligor rating grade;
(ii) Associate an LGD with each wholesale loss severity rating grade or assign an LGD to each wholesale exposure;
(iii) Assign an EAD and M to each wholesale exposure; and
(iv) Assign a PD, LGD, and EAD to each segment of retail exposures.
(2) Floor on PD assignment. The PD for each wholesale obligor or retail segment may not be less than 0.03 percent, except for exposures to or directly and unconditionally guaranteed by a sovereign entity, the Bank for International Settlements, the International Monetary Fund, the European Commission, the European Central Bank, the European Stability Mechanism, the European Financial Stability Facility, or a multilateral development bank, to which the FDIC-supervised institution assigns a rating grade associated with a PD of less than 0.03 percent.
(3) Floor on LGD estimation. The LGD for each segment of residential mortgage exposures may not be less than 10 percent, except for segments of residential mortgage exposures for which all or substantially all of the principal of each exposure is either:
(i) Directly and unconditionally guaranteed by the full faith and credit of a sovereign entity; or
(ii) Guaranteed by a contingent obligation of the U.S. government or its agencies, the enforceability of which is dependent upon some affirmative action on the part of the beneficiary of the guarantee or a third party (for example, meeting servicing requirements).
(4) Eligible purchased wholesale exposures. An FDIC-supervised institution must assign a PD, LGD, EAD, and M to each segment of eligible purchased wholesale exposures. If the FDIC-supervised institution can estimate ECL (but not PD or LGD) for a segment of eligible purchased wholesale exposures, the FDIC-supervised institution must assume that the LGD of the segment equals 100 percent and that the PD of the segment equals ECL divided by EAD. The estimated ECL must be calculated for the exposures without regard to any assumption of recourse or guarantees from the seller or other parties.
(5) Credit risk mitigation: credit derivatives, guarantees, and collateral.
(i) An FDIC-supervised institution may take into account the risk reducing effects of eligible guarantees and eligible credit derivatives in support of a wholesale exposure by applying the PD substitution or LGD adjustment treatment to the exposure as provided in § 324.134 or, if applicable, applying double default treatment to the exposure as provided in § 324.135. An FDIC-supervised institution may decide separately for each wholesale exposure that qualifies for the double default treatment under § 324.135 whether to apply the double default treatment or to use the PD substitution or LGD adjustment treatment without recognizing double default effects.
(ii) An FDIC-supervised institution may take into account the risk reducing effects of guarantees and credit derivatives in support of retail exposures in a segment when quantifying the PD and LGD of the segment. In doing so, an FDIC-supervised institution must consider all relevant available information.
(iii) Except as provided in paragraph (d)(6) of this section, an FDIC-supervised institution may take into account the risk reducing effects of collateral in support of a wholesale exposure when quantifying the LGD of the exposure, and may take into account the risk reducing effects of collateral in support of retail exposures when quantifying the PD and LGD of the segment. In order to do so, an FDIC-supervised institution must have established internal requirements for collateral management, legal certainty, and risk management processes.
(6) EAD for OTC derivative contracts, repo-style transactions, and eligible margin loans. An FDIC-supervised institution must calculate its EAD for an OTC derivative contract as provided in § 324.132 (c) and (d). An FDIC-supervised institution may take into account the risk-reducing effects of financial collateral in support of a repo-style transaction or eligible margin loan and of any collateral in support of a repo-style transaction that is included in the FDIC-supervised institution's VaR-based measure under subpart F of this part through an adjustment to EAD as provided in § 324.132(b) and (d). An FDIC-supervised institution that takes collateral into account through such an adjustment to EAD under § 324.132 may not reflect such collateral in LGD.
(7) Effective maturity. An exposure's M must be no greater than five years and no less than one year, except that an exposure's M must be no less than one day if the exposure is a trade related letter of credit, or if the exposure has an original maturity of less than one year and is not part of an FDIC-supervised institution's ongoing financing of the obligor. An exposure is not part of an FDIC-supervised institution's ongoing financing of the obligor if the FDIC-supervised institution:
(i) Has a legal and practical ability not to renew or roll over the exposure in the event of credit deterioration of the obligor;
(ii) Makes an independent credit decision at the inception of the exposure and at every renewal or roll over; and
(iii) Has no substantial commercial incentive to continue its credit relationship with the obligor in the event of credit deterioration of the obligor.
(8) EAD for exposures to certain central counterparties. An FDIC-supervised institution may attribute an EAD of zero to exposures that arise from the settlement of cash transactions (such as equities, fixed income, spot foreign exchange, and spot commodities) with a central counterparty where there is no assumption of ongoing counterparty credit risk by the central counterparty after settlement of the trade and associated default fund contributions.
(e) Phase 4 - Calculation of risk-weighted assets -
(1) Non-defaulted exposures.
(i) An FDIC-supervised institution must calculate the dollar risk-based capital requirement for each of its wholesale exposures to a non-defaulted obligor (except for eligible guarantees and eligible credit derivatives that hedge another wholesale exposure, IMM exposures, cleared transactions, default fund contributions, unsettled transactions, and exposures to which the FDIC-supervised institution applies the double default treatment in § 324.135) and segments of non-defaulted retail exposures by inserting the assigned risk parameters for the wholesale obligor and exposure or retail segment into the appropriate risk-based capital formula specified in Table 1 to § 324.131 and multiplying the output of the formula (K) by the EAD of the exposure or segment. Alternatively, an FDIC-supervised institution may apply a 300 percent risk weight to the EAD of an eligible margin loan if the FDIC-supervised institution is not able to meet the FDIC's requirements for estimation of PD and LGD for the margin loan.

(ii) The sum of all the dollar risk-based capital requirements for each wholesale exposure to a non-defaulted obligor and segment of non-defaulted retail exposures calculated in paragraph (e)(1)(i) of this section and in § 324.135(e) equals the total dollar risk-based capital requirement for those exposures and segments.
(iii) The aggregate risk-weighted asset amount for wholesale exposures to non-defaulted obligors and segments of non-defaulted retail exposures equals the total dollar risk-based capital requirement in paragraph (e)(1)(ii) of this section multiplied by 12.5.
(2) Wholesale exposures to defaulted obligors and segments of defaulted retail exposures -
(i) Not covered by an eligible U.S. government guarantee: The dollar risk-based capital requirement for each wholesale exposure not covered by an eligible guarantee from the U.S. government to a defaulted obligor and each segment of defaulted retail exposures not covered by an eligible guarantee from the U.S. government equals 0.08 multiplied by the EAD of the exposure or segment.
(ii) Covered by an eligible U.S. government guarantee: The dollar risk-based capital requirement for each wholesale exposure to a defaulted obligor covered by an eligible guarantee from the U.S. government and each segment of defaulted retail exposures covered by an eligible guarantee from the U.S. government equals the sum of:
(A) The sum of the EAD of the portion of each wholesale exposure to a defaulted obligor covered by an eligible guarantee from the U.S. government plus the EAD of the portion of each segment of defaulted retail exposures that is covered by an eligible guarantee from the U.S. government and the resulting sum is multiplied by 0.016, and
(B) The sum of the EAD of the portion of each wholesale exposure to a defaulted obligor not covered by an eligible guarantee from the U.S. government plus the EAD of the portion of each segment of defaulted retail exposures that is not covered by an eligible guarantee from the U.S. government and the resulting sum is multiplied by 0.08.
(iii) The sum of all the dollar risk-based capital requirements for each wholesale exposure to a defaulted obligor and each segment of defaulted retail exposures calculated in paragraph (e)(2)(i) of this section plus the dollar risk-based capital requirements each wholesale exposure to a defaulted obligor and for each segment of defaulted retail exposures calculated in paragraph (e)(2)(ii) of this section equals the total dollar risk-based capital requirement for those exposures and segments.
(iv) The aggregate risk-weighted asset amount for wholesale exposures to defaulted obligors and segments of defaulted retail exposures equals the total dollar risk-based capital requirement calculated in paragraph (e)(2)(iii) of this section multiplied by 12.5.
(3) Assets not included in a defined exposure category.
(i) An FDIC-supervised institution may assign a risk-weighted asset amount of zero to cash owned and held in all offices of the FDIC-supervised institution or in transit and for gold bullion held in the FDIC-supervised institution's own vaults, or held in another depository institution's vaults on an allocated basis, to the extent the gold bullion assets are offset by gold bullion liabilities.
(ii) An FDIC-supervised institution must assign a risk-weighted asset amount equal to 20 percent of the carrying value of cash items in the process of collection.
(iii) An FDIC-supervised institution must assign a risk-weighted asset amount equal to 50 percent of the carrying value to a pre-sold construction loan unless the purchase contract is cancelled, in which case an FDIC-supervised institution must assign a risk-weighted asset amount equal to a 100 percent of the carrying value of the pre-sold construction loan.
(iv) The risk-weighted asset amount for the residual value of a retail lease exposure equals such residual value.
(v) The risk-weighted asset amount for DTAs arising from temporary differences that the FDIC-supervised institution could realize through net operating loss carrybacks equals the carrying value, netted in accordance with § 324.22.
(vi) The risk-weighted asset amount for MSAs, DTAs arising from temporary timing differences that the FDIC-supervised institution could not realize through net operating loss carrybacks, and significant investments in the capital of unconsolidated financial institutions in the form of common stock that are not deducted pursuant to § 324.22(d) equals the amount not subject to deduction multiplied by 250 percent.
(vii) The risk-weighted asset amount for any other on-balance-sheet asset that does not meet the definition of a wholesale, retail, securitization, IMM, or equity exposure, cleared transaction, or default fund contribution and is not subject to deduction under § 324.22(a), (c), or (d) equals the carrying value of the asset.
(viii) The risk-weighted asset amount for a Paycheck Protection Program covered loan as defined in section 7(a)(36) of the Small Business Act (15 U.S.C. 636(a)(36)) equals zero.
(4) Non-material portfolios of exposures. The risk-weighted asset amount of a portfolio of exposures for which the FDIC-supervised institution has demonstrated to the FDIC's satisfaction that the portfolio (when combined with all other portfolios of exposures that the FDIC-supervised institution seeks to treat under this paragraph (e)) is not material to the FDIC-supervised institution is the sum of the carrying values of on-balance sheet exposures plus the notional amounts of off-balance sheet exposures in the portfolio. For purposes of this paragraph (e)(4), the notional amount of an OTC derivative contract that is not a credit derivative is the EAD of the derivative as calculated in § 324.132.
[78 FR 55471, Sept. 10, 2013, as amended at 79 FR 20761, Apr. 14, 2014; 80 FR 41424, July 15, 2015; 84 FR 35279, July 22, 2019; 85 FR 22010, Apr. 21, 2020]
(a) Methodologies for collateral recognition.
(1) Instead of an LGD estimation methodology, an FDIC-supervised institution may use the following methodologies to recognize the benefits of financial collateral in mitigating the counterparty credit risk of repo-style transactions, eligible margin loans, collateralized OTC derivative contracts and single product netting sets of such transactions, and to recognize the benefits of any collateral in mitigating the counterparty credit risk of repo-style transactions that are included in an FDIC-supervised institution's VaR-based measure under subpart F of this part:
(i) The collateral haircut approach set forth in paragraph (b)(2) of this section;
(ii) The internal models methodology set forth in paragraph (d) of this section; and
(iii) For single product netting sets of repo-style transactions and eligible margin loans, the simple VaR methodology set forth in paragraph (b)(3) of this section.
(2) An FDIC-supervised institution may use any combination of the three methodologies for collateral recognition; however, it must use the same methodology for transactions in the same category.
(3) An FDIC-supervised institution must use the methodology in paragraph (c) of this section, or with prior written approval of the FDIC, the internal model methodology in paragraph (d) of this section, to calculate EAD for an OTC derivative contract or a set of OTC derivative contracts subject to a qualifying master netting agreement. To estimate EAD for qualifying cross-product master netting agreements, an FDIC-supervised institution may only use the internal models methodology in paragraph (d) of this section.
(4) An FDIC-supervised institution must also use the methodology in paragraph (e) of this section to calculate the risk-weighted asset amounts for CVA for OTC derivatives.
(b) EAD for eligible margin loans and repo-style transactions -
(1) General. An FDIC-supervised institution may recognize the credit risk mitigation benefits of financial collateral that secures an eligible margin loan, repo-style transaction, or single-product netting set of such transactions by factoring the collateral into its LGD estimates for the exposure. Alternatively, an FDIC-supervised institution may estimate an unsecured LGD for the exposure, as well as for any repo-style transaction that is included in the FDIC-supervised institution's VaR-based measure under subpart F of this part, and determine the EAD of the exposure using:
(i) The collateral haircut approach described in paragraph (b)(2) of this section;
(ii) For netting sets only, the simple VaR methodology described in paragraph (b)(3) of this section; or
(iii) The internal models methodology described in paragraph (d) of this section.
(2) Collateral haircut approach -
(i) EAD equation. An FDIC-supervised institution may determine EAD for an eligible margin loan, repo-style transaction, or netting set by setting EAD equal to max {0, [(ΣE−ΣC) + Σ(Es × Hs) + Σ(Efx × Hfx)]}, where:
(A) ΣE equals the value of the exposure (the sum of the current fair values of all instruments, gold, and cash the FDIC-supervised institution has lent, sold subject to repurchase, or posted as collateral to the counterparty under the transaction (or netting set));
(B) ΣC equals the value of the collateral (the sum of the current fair values of all instruments, gold, and cash the FDIC-supervised institution has borrowed, purchased subject to resale, or taken as collateral from the counterparty under the transaction (or netting set));
(C) Es equals the absolute value of the net position in a given instrument or in gold (where the net position in a given instrument or in gold equals the sum of the current fair values of the instrument or gold the FDIC-supervised institution has lent, sold subject to repurchase, or posted as collateral to the counterparty minus the sum of the current fair values of that same instrument or gold the FDIC-supervised institution has borrowed, purchased subject to resale, or taken as collateral from the counterparty);
(D) Hs equals the market price volatility haircut appropriate to the instrument or gold referenced in Es;
(E) Efx equals the absolute value of the net position of instruments and cash in a currency that is different from the settlement currency (where the net position in a given currency equals the sum of the current fair values of any instruments or cash in the currency the FDIC-supervised institution has lent, sold subject to repurchase, or posted as collateral to the counterparty minus the sum of the current fair values of any instruments or cash in the currency the FDIC-supervised institution has borrowed, purchased subject to resale, or taken as collateral from the counterparty); and
(F) Hfx equals the haircut appropriate to the mismatch between the currency referenced in Efx and the settlement currency.
(ii) Standard supervisory haircuts.
(A) Under the standard supervisory haircuts approach:
(1) An FDIC-supervised institution must use the haircuts for market price volatility (Hs) in Table 1 to § 324.132, as adjusted in certain circumstances as provided in paragraphs (b)(2)(ii)(A)(3) and (4) of this section;
Table 1 to § 324.132 - Standard Supervisory Market Price Volatility Haircuts1
| Residual maturity | Haircut (in percent) assigned based on: | Investment grade securitization exposures (in percent) |
|||||
|---|---|---|---|---|---|---|---|
| Sovereign issuers risk weight under § 324.322 (in percent) |
Non-sovereign issuers risk weight under § 324.32 (in percent) |
||||||
| Zero | 20 or 50 | 100 | 20 | 50 | 100 | ||
| Less than or equal to 1 year | 0.5 | 1.0 | 15.0 | 1.0 | 2.0 | 4.0 | 4.0 |
| Greater than 1 year and less than or equal to 5 years | 2.0 | 3.0 | 15.0 | 4.0 | 6.0 | 8.0 | 12.0 |
| Greater than 5 years | 4.0 | 6.0 | 15.0 | 8.0 | 12.0 | 16.0 | 24.0 |
| Main index equities (including convertible bonds) and gold | 15.0 | ||||||
| Other publicly traded equities (including convertible bonds) | 25.0 | ||||||
| Mutual funds | Highest haircut applicable to any security in which the fund can invest. | ||||||
| Cash collateral held | Zero | ||||||
| Other exposure types | 25.0 | ||||||
1 The market price volatility haircuts in Table 1 to § 324.132 are based on a 10 business-day holding period.
2 Includes a foreign PSE that receives a zero percent risk weight.
(2) For currency mismatches, an FDIC-supervised institution must use a haircut for foreign exchange rate volatility (Hfx) of 8 percent, as adjusted in certain circumstances as provided in paragraphs (b)(2)(ii)(A)(3) and (4) of this section.
(3) For repo-style transactions and client-facing derivative transactions, a FDIC-supervised institution may multiply the supervisory haircuts provided in paragraphs (b)(2)(ii)(A)(1) and (2) of this section by the square root of1/2 (which equals 0.707107). If the FDIC-supervised institution determines that a longer holding period is appropriate for client-facing derivative transactions, then it must use a larger scaling factor to adjust for the longer holding period pursuant to paragraph (b)(2)(ii)(A)(6) of this section.
(4) A FDIC-supervised institution must adjust the supervisory haircuts upward on the basis of a holding period longer than ten business days (for eligible margin loans) or five business days (for repo-style transactions), using the formula provided in paragraph (b)(2)(ii)(A)(6) of this section where the conditions in this paragraph (b)(2)(ii)(A)(4) apply. If the number of trades in a netting set exceeds 5,000 at any time during a quarter, a FDIC-supervised institution must adjust the supervisory haircuts upward on the basis of a minimum holding period of twenty business days for the following quarter (except when a FDIC-supervised institution is calculating EAD for a cleared transaction under § 324.133). If a netting set contains one or more trades involving illiquid collateral, a FDIC-supervised institution must adjust the supervisory haircuts upward on the basis of a minimum holding period of twenty business days. If over the two previous quarters more than two margin disputes on a netting set have occurred that lasted longer than the holding period, then the FDIC-supervised institution must adjust the supervisory haircuts upward for that netting set on the basis of a minimum holding period that is at least two times the minimum holding period for that netting set.
(5)
(i) A FDIC-supervised institution must adjust the supervisory haircuts upward on the basis of a holding period longer than ten business days for collateral associated with derivative contracts (five business days for client-facing derivative contracts) using the formula provided in paragraph (b)(2)(ii)(A)(6) of this section where the conditions in this paragraph (b)(2)(ii)(A)(5)(i) apply. For collateral associated with a derivative contract that is within a netting set that is composed of more than 5,000 derivative contracts that are not cleared transactions, a FDIC-supervised institution must use a minimum holding period of twenty business days. If a netting set contains one or more trades involving illiquid collateral or a derivative contract that cannot be easily replaced, a FDIC-supervised institution must use a minimum holding period of twenty business days.
(ii) Notwithstanding paragraph (b)(2)(ii)(A)(1) or (3) or (b)(2)(ii)(A)(5)(i) of this section, for collateral associated with a derivative contract in a netting set under which more than two margin disputes that lasted longer than the holding period occurred during the two previous quarters, the minimum holding period is twice the amount provided under paragraph (b)(2)(ii)(A)(1) or (3) or (b)(2)(ii)(A)(5)(i) of this section.
(6) A FDIC-supervised institution must adjust the standard supervisory haircuts upward, pursuant to the adjustments provided in paragraphs (b)(2)(ii)(A)(3) through (5) of this section, using the following formula:

Where:
TM equals a holding period of longer than 10 business days for eligible margin loans and derivative contracts other than client-facing derivative transactions or longer than 5 business days for repo-style transactions and client-facing derivative transactions;
Hs equals the standard supervisory haircut; and
Ts equals 10 business days for eligible margin loans and derivative contracts other than client-facing derivative transactions or 5 business days for repo-style transactions and client-facing derivative transactions.
(7) If the instrument a FDIC-supervised institution has lent, sold subject to repurchase, or posted as collateral does not meet the definition of financial collateral, the FDIC-supervised institution must use a 25.0 percent haircut for market price volatility (Hs).
(iii) Own internal estimates for haircuts. With the prior written approval of the FDIC, an FDIC-supervised institution may calculate haircuts (Hs and Hfx) using its own internal estimates of the volatilities of market prices and foreign exchange rates.
(A) To receive FDIC approval to use its own internal estimates, an FDIC-supervised institution must satisfy the following minimum quantitative standards:
(1) An FDIC-supervised institution must use a 99th percentile one-tailed confidence interval.
(2) The minimum holding period for a repo-style transaction is five business days and for an eligible margin loan is ten business days except for transactions or netting sets for which paragraph (b)(2)(iii)(A)(3) of this section applies. When an FDIC-supervised institution calculates an own-estimates haircut on a TN-day holding period, which is different from the minimum holding period for the transaction type, the applicable haircut (HM) is calculated using the following square root of time formula:

(i) TM equals 5 for repo-style transactions and 10 for eligible margin loans;
(ii) TN equals the holding period used by the FDIC-supervised institution to derive HN; and
(iii) HN equals the haircut based on the holding period TN.
(3) If the number of trades in a netting set exceeds 5,000 at any time during a quarter, an FDIC-supervised institution must calculate the haircut using a minimum holding period of twenty business days for the following quarter (except when an FDIC-supervised institution is calculating EAD for a cleared transaction under § 324.133). If a netting set contains one or more trades involving illiquid collateral or an OTC derivative that cannot be easily replaced, an FDIC-supervised institution must calculate the haircut using a minimum holding period of twenty business days. If over the two previous quarters more than two margin disputes on a netting set have occurred that lasted more than the holding period, then the FDIC-supervised institution must calculate the haircut for transactions in that netting set on the basis of a holding period that is at least two times the minimum holding period for that netting set.
(4) An FDIC-supervised institution is required to calculate its own internal estimates with inputs calibrated to historical data from a continuous 12-month period that reflects a period of significant financial stress appropriate to the security or category of securities.
(5) An FDIC-supervised institution must have policies and procedures that describe how it determines the period of significant financial stress used to calculate the FDIC-supervised institution's own internal estimates for haircuts under this section and must be able to provide empirical support for the period used. The FDIC-supervised institution must obtain the prior approval of the FDIC for, and notify the FDIC if the FDIC-supervised institution makes any material changes to, these policies and procedures.
(6) Nothing in this section prevents the FDIC from requiring an FDIC-supervised institution to use a different period of significant financial stress in the calculation of own internal estimates for haircuts.
(7) An FDIC-supervised institution must update its data sets and calculate haircuts no less frequently than quarterly and must also reassess data sets and haircuts whenever market prices change materially.
(B) With respect to debt securities that are investment grade, an FDIC-supervised institution may calculate haircuts for categories of securities. For a category of securities, the FDIC-supervised institution must calculate the haircut on the basis of internal volatility estimates for securities in that category that are representative of the securities in that category that the FDIC-supervised institution has lent, sold subject to repurchase, posted as collateral, borrowed, purchased subject to resale, or taken as collateral. In determining relevant categories, the FDIC-supervised institution must at a minimum take into account:
(1) The type of issuer of the security;
(2) The credit quality of the security;
(3) The maturity of the security; and
(4) The interest rate sensitivity of the security.
(C) With respect to debt securities that are not investment grade and equity securities, an FDIC-supervised institution must calculate a separate haircut for each individual security.
(D) Where an exposure or collateral (whether in the form of cash or securities) is denominated in a currency that differs from the settlement currency, the FDIC-supervised institution must calculate a separate currency mismatch haircut for its net position in each mismatched currency based on estimated volatilities of foreign exchange rates between the mismatched currency and the settlement currency.
(E) An FDIC-supervised institution's own estimates of market price and foreign exchange rate volatilities may not take into account the correlations among securities and foreign exchange rates on either the exposure or collateral side of a transaction (or netting set) or the correlations among securities and foreign exchange rates between the exposure and collateral sides of the transaction (or netting set).
(3) Simple VaR methodology. With the prior written approval of the FDIC, an FDIC-supervised institution may estimate EAD for a netting set using a VaR model that meets the requirements in paragraph (b)(3)(iii) of this section. In such event, the FDIC-supervised institution must set EAD equal to max {0, [(ΣE−ΣC) + PFE]}, where:
(i) ΣE equals the value of the exposure (the sum of the current fair values of all instruments, gold, and cash the FDIC-supervised institution has lent, sold subject to repurchase, or posted as collateral to the counterparty under the netting set);
(ii) ΣC equals the value of the collateral (the sum of the current fair values of all instruments, gold, and cash the FDIC-supervised institution has borrowed, purchased subject to resale, or taken as collateral from the counterparty under the netting set); and
(iii) PFE (potential future exposure) equals the FDIC-supervised institution's empirically based best estimate of the 99th percentile, one-tailed confidence interval for an increase in the value of (ΣE−ΣC) over a five-business-day holding period for repo-style transactions, or over a ten-business-day holding period for eligible margin loans except for netting sets for which paragraph (b)(3)(iv) of this section applies using a minimum one-year historical observation period of price data representing the instruments that the FDIC-supervised institution has lent, sold subject to repurchase, posted as collateral, borrowed, purchased subject to resale, or taken as collateral. The FDIC-supervised institution must validate its VaR model by establishing and maintaining a rigorous and regular backtesting regime.
(iv) If the number of trades in a netting set exceeds 5,000 at any time during a quarter, an FDIC-supervised institution must use a twenty-business-day holding period for the following quarter (except when an FDIC-supervised institution is calculating EAD for a cleared transaction under § 324.133). If a netting set contains one or more trades involving illiquid collateral, an FDIC-supervised institution must use a twenty-business-day holding period. If over the two previous quarters more than two margin disputes on a netting set have occurred that lasted more than the holding period, then the FDIC-supervised institution must set its PFE for that netting set equal to an estimate over a holding period that is at least two times the minimum holding period for that netting set.
(c) EAD for derivative contracts -
(1) Options for determining EAD. A FDIC-supervised institution must determine the EAD for a derivative contract using the standardized approach for counterparty credit risk (SA-CCR) under paragraph (c)(5) of this section or using the internal models methodology described in paragraph (d) of this section. If a FDIC-supervised institution elects to use SA-CCR for one or more derivative contracts, the exposure amount determined under SA-CCR is the EAD for the derivative contract or derivatives contracts. A FDIC-supervised institution must use the same methodology to calculate the exposure amount for all its derivative contracts and may change its election only with prior approval of the FDIC. A FDIC-supervised institution may reduce the EAD calculated according to paragraph (c)(5) of this section by the credit valuation adjustment that the FDIC-supervised institution has recognized in its balance sheet valuation of any derivative contracts in the netting set. For purposes of this paragraph (c)(1), the credit valuation adjustment does not include any adjustments to common equity tier 1 capital attributable to changes in the fair value of the FDIC-supervised institution's liabilities that are due to changes in its own credit risk since the inception of the transaction with the counterparty.
(2) Definitions. For purposes of this paragraph (c) of this section, the following definitions apply:
(i) End date means the last date of the period referenced by an interest rate or credit derivative contract or, if the derivative contract references another instrument, by the underlying instrument, except as otherwise provided in paragraph (c) of this section.
(ii) Start date means the first date of the period referenced by an interest rate or credit derivative contract or, if the derivative contract references the value of another instrument, by underlying instrument, except as otherwise provided in paragraph (c) of this section.
(iii) Hedging set means:
(A) With respect to interest rate derivative contracts, all such contracts within a netting set that reference the same reference currency;
(B) With respect to exchange rate derivative contracts, all such contracts within a netting set that reference the same currency pair;
(C) With respect to credit derivative contract, all such contracts within a netting set;
(D) With respect to equity derivative contracts, all such contracts within a netting set;
(E) With respect to a commodity derivative contract, all such contracts within a netting set that reference one of the following commodity categories: Energy, metal, agricultural, or other commodities;
(F) With respect to basis derivative contracts, all such contracts within a netting set that reference the same pair of risk factors and are denominated in the same currency; or
(G) With respect to volatility derivative contracts, all such contracts within a netting set that reference one of interest rate, exchange rate, credit, equity, or commodity risk factors, separated according to the requirements under paragraphs (c)(2)(iii)(A) through (E) of this section.
(H) If the risk of a derivative contract materially depends on more than one of interest rate, exchange rate, credit, equity, or commodity risk factors, the FDIC may require a FDIC-supervised institution to include the derivative contract in each appropriate hedging set under paragraphs (c)(2)(iii)(A) through (E) of this section.
(3) Credit derivatives. Notwithstanding paragraphs (c)(1) and (c)(2) of this section:
(i) An FDIC-supervised institution that purchases a credit derivative that is recognized under § 324.134 or § 324.135 as a credit risk mitigant for an exposure that is not a covered position under subpart F of this part is not required to calculate a separate counterparty credit risk capital requirement under this section so long as the FDIC-supervised institution does so consistently for all such credit derivatives and either includes or excludes all such credit derivatives that are subject to a master netting agreement from any measure used to determine counterparty credit risk exposure to all relevant counterparties for risk-based capital purposes.
(ii) An FDIC-supervised institution that is the protection provider in a credit derivative must treat the credit derivative as a wholesale exposure to the reference obligor and is not required to calculate a counterparty credit risk capital requirement for the credit derivative under this section, so long as it does so consistently for all such credit derivatives and either includes all or excludes all such credit derivatives that are subject to a master netting agreement from any measure used to determine counterparty credit risk exposure to all relevant counterparties for risk-based capital purposes (unless the FDIC-supervised institution is treating the credit derivative as a covered position under subpart F of this part, in which case the FDIC-supervised institution must calculate a supplemental counterparty credit risk capital requirement under this section).
(4) Equity derivatives. An FDIC-supervised institution must treat an equity derivative contract as an equity exposure and compute a risk-weighted asset amount for the equity derivative contract under §§ 324.151-324.155 (unless the FDIC-supervised institution is treating the contract as a covered position under subpart F of this part). In addition, if the FDIC-supervised institution is treating the contract as a covered position under subpart F of this part, and under certain other circumstances described in § 324.155, the FDIC-supervised institution must also calculate a risk-based capital requirement for the counterparty credit risk of an equity derivative contract under this section.
(5) Exposure amount.
(i) The exposure amount of a netting set, as calculated under paragraph (c) of this section, is equal to 1.4 multiplied by the sum of the replacement cost of the netting set, as calculated under paragraph (c)(6) of this section, and the potential future exposure of the netting set, as calculated under paragraph (c)(7) of this section.
(ii) Notwithstanding the requirements of paragraph (c)(5)(i) of this section, the exposure amount of a netting set subject to a variation margin agreement, excluding a netting set that is subject to a variation margin agreement under which the counterparty to the variation margin agreement is not required to post variation margin, is equal to the lesser of the exposure amount of the netting set calculated under paragraph (c)(5)(i) of this section and the exposure amount of the netting set calculated as if the netting set were not subject to a variation margin agreement.
(iii) Notwithstanding the requirements of paragraph (c)(5)(i) of this section, the exposure amount of a netting set that consists of only sold options in which the premiums have been fully paid by the counterparty to the options and where the options are not subject to a variation margin agreement is zero.
(iv) Notwithstanding the requirements of paragraph (c)(5)(i) of this section, the exposure amount of a netting set in which the counterparty is a commercial end-user is equal to the sum of replacement cost, as calculated under paragraph (c)(6) of this section, and the potential future exposure of the netting set, as calculated under paragraph (c)(7) of this section.
(v) For purposes of the exposure amount calculated under paragraph (c)(5)(i) of this section and all calculations that are part of that exposure amount, a FDIC-supervised institution may elect, at the netting set level, to treat a derivative contract that is a cleared transaction that is not subject to a variation margin agreement as one that is subject to a variation margin agreement, if the derivative contract is subject to a requirement that the counterparties make daily cash payments to each other to account for changes in the fair value of the derivative contract and to reduce the net position of the contract to zero. If a FDIC-supervised institution makes an election under this paragraph (c)(5)(v) for one derivative contract, it must treat all other derivative contracts within the same netting set that are eligible for an election under this paragraph (c)(5)(v) as derivative contracts that are subject to a variation margin agreement.
(vi) For purposes of the exposure amount calculated under paragraph (c)(5)(i) of this section and all calculations that are part of that exposure amount, a FDIC-supervised institution may elect to treat a credit derivative contract, equity derivative contract, or commodity derivative contract that references an index as if it were multiple derivative contracts each referencing one component of the index.
(6) Replacement cost of a netting set -
(i) Netting set subject to a variation margin agreement under which the counterparty must post variation margin. The replacement cost of a netting set subject to a variation margin agreement, excluding a netting set that is subject to a variation margin agreement under which the counterparty is not required to post variation margin, is the greater of:
(A) The sum of the fair values (after excluding any valuation adjustments) of the derivative contracts within the netting set less the sum of the net independent collateral amount and the variation margin amount applicable to such derivative contracts;
(B) The sum of the variation margin threshold and the minimum transfer amount applicable to the derivative contracts within the netting set less the net independent collateral amount applicable to such derivative contracts; or
(C) Zero.
(ii) Netting sets not subject to a variation margin agreement under which the counterparty must post variation margin. The replacement cost of a netting set that is not subject to a variation margin agreement under which the counterparty must post variation margin to the FDIC-supervised institution is the greater of:
(A) The sum of the fair values (after excluding any valuation adjustments) of the derivative contracts within the netting set less the sum of the net independent collateral amount and variation margin amount applicable to such derivative contracts; or
(B) Zero.
(iii) Multiple netting sets subject to a single variation margin agreement. Notwithstanding paragraphs (c)(6)(i) and (ii) of this section, the replacement cost for multiple netting sets subject to a single variation margin agreement must be calculated according to paragraph (c)(10)(i) of this section.
(iv) Netting set subject to multiple variation margin agreements or a hybrid netting set. Notwithstanding paragraphs (c)(6)(i) and (ii) of this section, the replacement cost for a netting set subject to multiple variation margin agreements or a hybrid netting set must be calculated according to paragraph (c)(11)(i) of this section.
(7) Potential future exposure of a netting set. The potential future exposure of a netting set is the product of the PFE multiplier and the aggregated amount.
(i) PFE multiplier. The PFE multiplier is calculated according to the following formula:

Where:
V is the sum of the fair values (after excluding any valuation adjustments) of the derivative contracts within the netting set;
C is the sum of the net independent collateral amount and the variation margin amount applicable to the derivative contracts within the netting set; and
A is the aggregated amount of the netting set.
(ii) Aggregated amount. The aggregated amount is the sum of all hedging set amounts, as calculated under paragraph (c)(8) of this section, within a netting set.
(iii) Multiple netting sets subject to a single variation margin agreement. Notwithstanding paragraphs (c)(7)(i) and (ii) of this section and when calculating the potential future exposure for purposes of total leverage exposure under § 324.10(c)(2)(ii)(B), the potential future exposure for multiple netting sets subject to a single variation margin agreement must be calculated according to paragraph (c)(10)(ii) of this section.
(iv) Netting set subject to multiple variation margin agreements or a hybrid netting set. Notwithstanding paragraphs (c)(7)(i) and (ii) of this section and when calculating the potential future exposure for purposes of total leverage exposure under § 324.10(c)(2)(ii)(B), the potential future exposure for a netting set subject to multiple variation margin agreements or a hybrid netting set must be calculated according to paragraph (c)(11)(ii) of this section.
(8) Hedging set amount -
(i) Interest rate derivative contracts. To calculate the hedging set amount of an interest rate derivative contract hedging set, a FDIC-supervised institution may use either of the formulas provided in paragraphs (c)(8)(i)(A) and (B) of this section:
(B) Formula 2 is as follows:
Hedging set amount = |AddOnTB1IR| + |AddOnTB2IR + |AddOnTB3IR|.
Where in paragraphs (c)(8)(i)(A) and (B) of this section:
AddOnTB1IR is the sum of the adjusted derivative contract amounts, as calculated under paragraph (c)(9) of this section, within the hedging set with an end date of less than one year from the present date;
AddOnTB2IR is the sum of the adjusted derivative contract amounts, as calculated under paragraph (c)(9) of this section, within the hedging set with an end date of one to five years from the present date; and
AddOnTB3IR is the sum of the adjusted derivative contract amounts, as calculated under paragraph (c)(9) of this section, within the hedging set with an end date of more than five years from the present date.
(ii) Exchange rate derivative contracts. For an exchange rate derivative contract hedging set, the hedging set amount equals the absolute value of the sum of the adjusted derivative contract amounts, as calculated under paragraph (c)(9) of this section, within the hedging set.
(iii) Credit derivative contracts and equity derivative contracts. The hedging set amount of a credit derivative contract hedging set or equity derivative contract hedging set within a netting set is calculated according to the following formula:

Where:
k is each reference entity within the hedging set.
K is the number of reference entities within the hedging set.
AddOn(Refk) equals the sum of the adjusted derivative contract amounts, as determined under paragraph (c)(9) of this section, for all derivative contracts within the hedging set that reference reference entity k.
ρk equals the applicable supervisory correlation factor, as provided in Table 3 to this section.
(iv) Commodity derivative contracts. The hedging set amount of a commodity derivative contract hedging set within a netting set is calculated according to the following formula:

Where:
k is each commodity type within the hedging set.
K is the number of commodity types within the hedging set.
AddOn(Typek) equals the sum of the adjusted derivative contract amounts, as determined under paragraph (c)(9) of this section, for all derivative contracts within the hedging set that reference commodity type k.
ρ equals the applicable supervisory correlation factor, as provided in Table 3 to this section.
(v) Basis derivative contracts and volatility derivative contracts. Notwithstanding paragraphs (c)(8)(i) through (iv) of this section, a FDIC-supervised institution must calculate a separate hedging set amount for each basis derivative contract hedging set and each volatility derivative contract hedging set. A FDIC-supervised institution must calculate such hedging set amounts using one of the formulas under paragraphs (c)(8)(i) through (iv) that corresponds to the primary risk factor of the hedging set being calculated.
(9) Adjusted derivative contract amount -
(i) Summary. To calculate the adjusted derivative contract amount of a derivative contract, a FDIC-supervised institution must determine the adjusted notional amount of derivative contract, pursuant to paragraph (c)(9)(ii) of this section, and multiply the adjusted notional amount by each of the supervisory delta adjustment, pursuant to paragraph (c)(9)(iii) of this section, the maturity factor, pursuant to paragraph (c)(9)(iv) of this section, and the applicable supervisory factor, as provided in Table 3 to this section.
(ii) Adjusted notional amount.
(A)
(1) For an interest rate derivative contract or a credit derivative contract, the adjusted notional amount equals the product of the notional amount of the derivative contract, as measured in U.S. dollars using the exchange rate on the date of the calculation, and the supervisory duration, as calculated by the following formula:

Where:
S is the number of business days from the present day until the start date of the derivative contract, or zero if the start date has already passed; and
E is the number of business days from the present day until the end date of the derivative contract.
(2) For purposes of paragraph (c)(9)(ii)(A)(1) of this section:
(i) For an interest rate derivative contract or credit derivative contract that is a variable notional swap, the notional amount is equal to the time-weighted average of the contractual notional amounts of such a swap over the remaining life of the swap; and
(ii) For an interest rate derivative contract or a credit derivative contract that is a leveraged swap, in which the notional amount of all legs of the derivative contract are divided by a factor and all rates of the derivative contract are multiplied by the same factor, the notional amount is equal to the notional amount of an equivalent unleveraged swap.
(B)
(1) For an exchange rate derivative contract, the adjusted notional amount is the notional amount of the non-U.S. denominated currency leg of the derivative contract, as measured in U.S. dollars using the exchange rate on the date of the calculation. If both legs of the exchange rate derivative contract are denominated in currencies other than U.S. dollars, the adjusted notional amount of the derivative contract is the largest leg of the derivative contract, as measured in U.S. dollars using the exchange rate on the date of the calculation.
(2) Notwithstanding paragraph (c)(9)(ii)(B)(1) of this section, for an exchange rate derivative contract with multiple exchanges of principal, the FDIC-supervised institution must set the adjusted notional amount of the derivative contract equal to the notional amount of the derivative contract multiplied by the number of exchanges of principal under the derivative contract.
(C)
(1) For an equity derivative contract or a commodity derivative contract, the adjusted notional amount is the product of the fair value of one unit of the reference instrument underlying the derivative contract and the number of such units referenced by the derivative contract.
(2) Notwithstanding paragraph (c)(9)(ii)(C)(1) of this section, when calculating the adjusted notional amount for an equity derivative contract or a commodity derivative contract that is a volatility derivative contract, the FDIC-supervised institution must replace the unit price with the underlying volatility referenced by the volatility derivative contract and replace the number of units with the notional amount of the volatility derivative contract.
(iii) Supervisory delta adjustments.
(A) For a derivative contract that is not an option contract or collateralized debt obligation tranche, the supervisory delta adjustment is 1 if the fair value of the derivative contract increases when the value of the primary risk factor increases and −1 if the fair value of the derivative contract decreases when the value of the primary risk factor increases.
(B)
(1) For a derivative contract that is an option contract, the supervisory delta adjustment is determined by the following formulas, as applicable:
(2) As used in the formulas in Table 2 to this section:
(i) Φ is the standard normal cumulative distribution function;
(ii) P equals the current fair value of the instrument or risk factor, as applicable, underlying the option;
(iii) K equals the strike price of the option;
(iv) T equals the number of business days until the latest contractual exercise date of the option;
(v) λ equals zero for all derivative contracts except interest rate options for the currencies where interest rates have negative values. The same value of λ must be used for all interest rate options that are denominated in the same currency. To determine the value of λ for a given currency, a FDIC-supervised institution must find the lowest value L of P and K of all interest rate options in a given currency that the FDIC-supervised institution has with all counterparties. Then, λ is set according to this formula: λ = max{−L + 0.1%, 0}; and
(vi) σ equals the supervisory option volatility, as provided in Table 3 to this section.
(C)
(1) For a derivative contract that is a collateralized debt obligation tranche, the supervisory delta adjustment is determined by the following formula:
(2) As used in the formula in paragraph (c)(9)(iii)(C)(1) of this section:
(i) A is the attachment point, which equals the ratio of the notional amounts of all underlying exposures that are subordinated to the FDIC-supervised institution's exposure to the total notional amount of all underlying exposures, expressed as a decimal value between zero and one;[30]
(ii) D is the detachment point, which equals one minus the ratio of the notional amounts of all underlying exposures that are senior to the FDIC-supervised institution's exposure to the total notional amount of all underlying exposures, expressed as a decimal value between zero and one; and
(iii) The resulting amount is designated with a positive sign if the collateralized debt obligation tranche was purchased by the FDIC-supervised institution and is designated with a negative sign if the collateralized debt obligation tranche was sold by the FDIC-supervised institution.
(iv) Maturity factor.
(A)
(1) The maturity factor of a derivative contract that is subject to a variation margin agreement, excluding derivative contracts that are subject to a variation margin agreement under which the counterparty is not required to post variation margin, is determined by the following formula:

Where MPOR refers to the period from the most recent exchange of collateral covering a netting set of derivative contracts with a defaulting counterparty until the derivative contracts are closed out and the resulting market risk is re-hedged.
(2) Notwithstanding paragraph (c)(9)(iv)(A)(1) of this section:
(i) For a derivative contract that is not a client-facing derivative transaction, MPOR cannot be less than ten business days plus the periodicity of re-margining expressed in business days minus one business day;
(ii) For a derivative contract that is a client-facing derivative transaction, MPOR cannot be less than five business days plus the periodicity of re-margining expressed in business days minus one business day; and
(iii) For a derivative contract that is within a netting set that is composed of more than 5,000 derivative contracts that are not cleared transactions, or a netting set that contains one or more trades involving illiquid collateral or a derivative contract that cannot be easily replaced, MPOR cannot be less than twenty business days.
(3) Notwithstanding paragraphs (c)(9)(iv)(A)(1) and (2) of this section, for a netting set subject to more than two outstanding disputes over margin that lasted longer than the MPOR over the previous two quarters, the applicable floor is twice the amount provided in paragraphs (c)(9)(iv)(A)(1) and (2) of this section.
(B) The maturity factor of a derivative contract that is not subject to a variation margin agreement, or derivative contracts under which the counterparty is not required to post variation margin, is determined by the following formula:

Where M equals the greater of 10 business days and the remaining maturity of the contract, as measured in business days.
(C) For purposes of paragraph (c)(9)(iv) of this section, if a FDIC-supervised institution has elected pursuant to paragraph (c)(5)(v) of this section to treat a derivative contract that is a cleared transaction that is not subject to a variation margin agreement as one that is subject to a variation margin agreement, the Board-regulated institution must treat the derivative contract as subject to a variation margin agreement with maturity factor as determined according to (c)(9)(iv)(A) of this section, and daily settlement does not change the end date of the period referenced by the derivative contract.
(v) Derivative contract as multiple effective derivative contracts. A FDIC-supervised institution must separate a derivative contract into separate derivative contracts, according to the following rules:
(A) For an option where the counterparty pays a predetermined amount if the value of the underlying asset is above or below the strike price and nothing otherwise (binary option), the option must be treated as two separate options. For purposes of paragraph (c)(9)(iii)(B) of this section, a binary option with strike K must be represented as the combination of one bought European option and one sold European option of the same type as the original option (put or call) with the strikes set equal to 0.95 * K and 1.05 * K so that the payoff of the binary option is reproduced exactly outside the region between the two strikes. The absolute value of the sum of the adjusted derivative contract amounts of the bought and sold options is capped at the payoff amount of the binary option.
(B) For a derivative contract that can be represented as a combination of standard option payoffs (such as collar, butterfly spread, calendar spread, straddle, and strangle), a FDIC-supervised institution must treat each standard option component must be treated as a separate derivative contract.
(C) For a derivative contract that includes multiple-payment options, (such as interest rate caps and floors), a FDIC-supervised institution may represent each payment option as a combination of effective single-payment options (such as interest rate caplets and floorlets).
(D) A FDIC-supervised institution may not decompose linear derivative contracts (such as swaps) into components.
(10) Multiple netting sets subject to a single variation margin agreement -
(i) Calculating replacement cost. Notwithstanding paragraph (c)(6) of this section, a FDIC-supervised institution shall assign a single replacement cost to multiple netting sets that are subject to a single variation margin agreement under which the counterparty must post variation margin, calculated according to the following formula:
Replacement Cost = max{ΣNS max{VNS; 0} − max{CMA; 0}; 0} + max{ΣNS min{VNS; 0} − min{CMA; 0}; 0}
Where:
NS is each netting set subject to the variation margin agreement MA;
VNS is the sum of the fair values (after excluding any valuation adjustments) of the derivative contracts within the netting set NS; and
CMA is the sum of the net independent collateral amount and the variation margin amount applicable to the derivative contracts within the netting sets subject to the single variation margin agreement.
(ii) Calculating potential future exposure. Notwithstanding paragraph (c)(5) of this section, a FDIC-supervised institution shall assign a single potential future exposure to multiple netting sets that are subject to a single variation margin agreement under which the counterparty must post variation margin equal to the sum of the potential future exposure of each such netting set, each calculated according to paragraph (c)(7) of this section as if such nettings sets were not subject to a variation margin agreement.
(11) Netting set subject to multiple variation margin agreements or a hybrid netting set -
(i) Calculating replacement cost. To calculate replacement cost for either a netting set subject to multiple variation margin agreements under which the counterparty to each variation margin agreement must post variation margin, or a netting set composed of at least one derivative contract subject to variation margin agreement under which the counterparty must post variation margin and at least one derivative contract that is not subject to such a variation margin agreement, the calculation for replacement cost is provided under paragraph (c)(6)(i) of this section, except that the variation margin threshold equals the sum of the variation margin thresholds of all variation margin agreements within the netting set and the minimum transfer amount equals the sum of the minimum transfer amounts of all the variation margin agreements within the netting set.
(ii) Calculating potential future exposure.
(A) To calculate potential future exposure for a netting set subject to multiple variation margin agreements under which the counterparty to each variation margin agreement must post variation margin, or a netting set composed of at least one derivative contract subject to variation margin agreement under which the counterparty to the derivative contract must post variation margin and at least one derivative contract that is not subject to such a variation margin agreement, a FDIC-supervised institution must divide the netting set into sub-netting sets (as described in paragraph (c)(11)(ii)(B) of this section) and calculate the aggregated amount for each sub-netting set. The aggregated amount for the netting set is calculated as the sum of the aggregated amounts for the sub-netting sets. The multiplier is calculated for the entire netting set.
(B) For purposes of paragraph (c)(11)(ii)(A) of this section, the netting set must be divided into sub-netting sets as follows:
(1) All derivative contracts within the netting set that are not subject to a variation margin agreement or that are subject to a variation margin agreement under which the counterparty is not required to post variation margin form a single sub-netting set. The aggregated amount for this sub-netting set is calculated as if the netting set is not subject to a variation margin agreement.
(2) All derivative contracts within the netting set that are subject to variation margin agreements in which the counterparty must post variation margin and that share the same value of the MPOR form a single sub-netting set. The aggregated amount for this sub-netting set is calculated as if the netting set is subject to a variation margin agreement, using the MPOR value shared by the derivative contracts within the netting set.
Table 3 to § 324.132 - Supervisory Option Volatility, Supervisory Correlation Parameters, and Supervisory Factors for Derivative Contracts
| Asset class | Subclass | Type | Supervisory option volatility (percent) |
Supervisory correlation factor (percent) |
Supervisory factor1 (percent) |
|---|---|---|---|---|---|
| Interest rate | N/A | N/A | 50 | N/A | 0.50 |
| Exchange rate | N/A | N/A | 15 | N/A | 4.0 |
| Credit, single name | Investment grade | N/A | 100 | 50 | 0.46 |
| Speculative grade | N/A | 100 | 50 | 1.3 | |
| Sub-speculative grade | N/A | 100 | 50 | 6.0 | |
| Credit, index | Investment Grade | N/A | 80 | 80 | 0.38 |
| Speculative Grade | N/A | 80 | 80 | 1.06 | |
| Equity, single name | N/A | N/A | 120 | 50 | 32 |
| Equity, index | N/A | N/A | 75 | 80 | 20 |
| Commodity | Energy | Electricity | 150 | 40 | 40 |
| Other | 70 | 40 | 18 | ||
| Metals | N/A | 70 | 40 | 18 | |
| Agricultural | N/A | 70 | 40 | 18 | |
| Other | N/A | 70 | 40 | 18 |
1 The applicable supervisory factor for basis derivative contract hedging sets is equal to one-half of the supervisory factor provided in this Table 3, and the applicable supervisory factor for volatility derivative contract hedging sets is equal to 5 times the supervisory factor provided in this Table 3.
(d) Internal models methodology.
(1)
(i) With prior written approval from the FDIC, an FDIC-supervised institution may use the internal models methodology in this paragraph (d) to determine EAD for counterparty credit risk for derivative contracts (collateralized or uncollateralized) and single-product netting sets thereof, for eligible margin loans and single-product netting sets thereof, and for repo-style transactions and single-product netting sets thereof.
(ii) An FDIC-supervised institution that uses the internal models methodology for a particular transaction type (derivative contracts, eligible margin loans, or repo-style transactions) must use the internal models methodology for all transactions of that transaction type. An FDIC-supervised institution may choose to use the internal models methodology for one or two of these three types of exposures and not the other types.
(iii) An FDIC-supervised institution may also use the internal models methodology for derivative contracts, eligible margin loans, and repo-style transactions subject to a qualifying cross-product netting agreement if:
(A) The FDIC-supervised institution effectively integrates the risk mitigating effects of cross-product netting into its risk management and other information technology systems; and
(B) The FDIC-supervised institution obtains the prior written approval of the FDIC.
(iv) An FDIC-supervised institution that uses the internal models methodology for a transaction type must receive approval from the FDIC to cease using the methodology for that transaction type or to make a material change to its internal model.
(2) Risk-weighted assets using IMM. Under the IMM, an FDIC-supervised institution uses an internal model to estimate the expected exposure (EE) for a netting set and then calculates EAD based on that EE. An FDIC-supervised institution must calculate two EEs and two EADs (one stressed and one unstressed) for each netting set as follows:
(i) EADunstressed is calculated using an EE estimate based on the most recent data meeting the requirements of paragraph (d)(3)(vii) of this section;
(ii) EADstressed is calculated using an EE estimate based on a historical period that includes a period of stress to the credit default spreads of the FDIC-supervised institution's counterparties according to paragraph (d)(3)(viii) of this section;
(iii) The FDIC-supervised institution must use its internal model's probability distribution for changes in the fair value of a netting set that are attributable to changes in market variables to determine EE; and
(iv) Under the internal models methodology, EAD = Max (0, α × effective EPE−CVA), or, subject to the prior written approval of FDIC as provided in paragraph (d)(10) of this section, a more conservative measure of EAD.
(A) CVA equals the credit valuation adjustment that the FDIC-supervised institution has recognized in its balance sheet valuation of any OTC derivative contracts in the netting set. For purposes of this paragraph (d), CVA does not include any adjustments to common equity tier 1 capital attributable to changes in the fair value of the FDIC-supervised institution's liabilities that are due to changes in its own credit risk since the inception of the transaction with the counterparty.

(that is, effective EPE is the time-weighted average of effective EE where the weights are the proportion that an individual effective EE represents in a one-year time interval) where:
(1) EffectiveEEt k = max(Effective EEtk−1, EEtk) (that is, for a specific date tk, effective EE is the greater of EE at that date or the effective EE at the previous date); and
(2) tk represents the kth future time period in the model and there are n time periods represented in the model over the first year, and
(C) α = 1.4 except as provided in paragraph (d)(6) of this section, or when the FDIC has determined that the FDIC-supervised institution must set α higher based on the FDIC-supervised institution's specific characteristics of counterparty credit risk or model performance.
(v) An FDIC-supervised institution may include financial collateral currently posted by the counterparty as collateral (but may not include other forms of collateral) when calculating EE.
(vi) If an FDIC-supervised institution hedges some or all of the counterparty credit risk associated with a netting set using an eligible credit derivative, the FDIC-supervised institution may take the reduction in exposure to the counterparty into account when estimating EE. If the FDIC-supervised institution recognizes this reduction in exposure to the counterparty in its estimate of EE, it must also use its internal model to estimate a separate EAD for the FDIC-supervised institution's exposure to the protection provider of the credit derivative.
(3) Prior approval relating to EAD calculation. To obtain FDIC approval to calculate the distributions of exposures upon which the EAD calculation is based, the FDIC-supervised institution must demonstrate to the satisfaction of the FDIC that it has been using for at least one year an internal model that broadly meets the following minimum standards, with which the FDIC-supervised institution must maintain compliance:
(i) The model must have the systems capability to estimate the expected exposure to the counterparty on a daily basis (but is not expected to estimate or report expected exposure on a daily basis);
(ii) The model must estimate expected exposure at enough future dates to reflect accurately all the future cash flows of contracts in the netting set;
(iii) The model must account for the possible non-normality of the exposure distribution, where appropriate;
(iv) The FDIC-supervised institution must measure, monitor, and control current counterparty exposure and the exposure to the counterparty over the whole life of all contracts in the netting set;
(v) The FDIC-supervised institution must be able to measure and manage current exposures gross and net of collateral held, where appropriate. The FDIC-supervised institution must estimate expected exposures for OTC derivative contracts both with and without the effect of collateral agreements;
(vi) The FDIC-supervised institution must have procedures to identify, monitor, and control wrong-way risk throughout the life of an exposure. The procedures must include stress testing and scenario analysis;
(vii) The model must use current market data to compute current exposures. The FDIC-supervised institution must estimate model parameters using historical data from the most recent three-year period and update the data quarterly or more frequently if market conditions warrant. The FDIC-supervised institution should consider using model parameters based on forward-looking measures, where appropriate;
(viii) When estimating model parameters based on a stress period, the FDIC-supervised institution must use at least three years of historical data that include a period of stress to the credit default spreads of the FDIC-supervised institution's counterparties. The FDIC-supervised institution must review the data set and update the data as necessary, particularly for any material changes in its counterparties. The FDIC-supervised institution must demonstrate, at least quarterly, and maintain documentation of such demonstration, that the stress period coincides with increased CDS or other credit spreads of the FDIC-supervised institution's counterparties. The FDIC-supervised institution must have procedures to evaluate the effectiveness of its stress calibration that include a process for using benchmark portfolios that are vulnerable to the same risk factors as the FDIC-supervised institution's portfolio. The FDIC may require the FDIC-supervised institution to modify its stress calibration to better reflect actual historic losses of the portfolio;
(ix) An FDIC-supervised institution must subject its internal model to an initial validation and annual model review process. The model review should consider whether the inputs and risk factors, as well as the model outputs, are appropriate. As part of the model review process, the FDIC-supervised institution must have a backtesting program for its model that includes a process by which unacceptable model performance will be determined and remedied;
(x) An FDIC-supervised institution must have policies for the measurement, management and control of collateral and margin amounts; and
(xi) An FDIC-supervised institution must have a comprehensive stress testing program that captures all credit exposures to counterparties, and incorporates stress testing of principal market risk factors and creditworthiness of counterparties.
(4) Calculating the maturity of exposures.
(i) If the remaining maturity of the exposure or the longest-dated contract in the netting set is greater than one year, the FDIC-supervised institution must set M for the exposure or netting set equal to the lower of five years or M(EPE), where:
(ii) If the remaining maturity of the exposure or the longest-dated contract in the netting set is one year or less, the FDIC-supervised institution must set M for the exposure or netting set equal to one year, except as provided in § 324.131(d)(7).
(iii) Alternatively, an FDIC-supervised institution that uses an internal model to calculate a one-sided credit valuation adjustment may use the effective credit duration estimated by the model as M(EPE) in place of the formula in paragraph (d)(4)(i) of this section.
(5) Effects of collateral agreements on EAD. An FDIC-supervised institution may capture the effect on EAD of a collateral agreement that requires receipt of collateral when exposure to the counterparty increases, but may not capture the effect on EAD of a collateral agreement that requires receipt of collateral when counterparty credit quality deteriorates. Two methods are available to capture the effect of a collateral agreement, as set forth in paragraphs (d)(5)(i) and (ii) of this section:
(i) With prior written approval from the FDIC, an FDIC-supervised institution may include the effect of a collateral agreement within its internal model used to calculate EAD. The FDIC-supervised institution may set EAD equal to the expected exposure at the end of the margin period of risk. The margin period of risk means, with respect to a netting set subject to a collateral agreement, the time period from the most recent exchange of collateral with a counterparty until the next required exchange of collateral, plus the period of time required to sell and realize the proceeds of the least liquid collateral that can be delivered under the terms of the collateral agreement and, where applicable, the period of time required to re-hedge the resulting market risk upon the default of the counterparty. The minimum margin period of risk is set according to paragraph (d)(5)(iii) of this section; or
(ii) As an alternative to paragraph (d)(5)(i) of this section, an FDIC-supervised institution that can model EPE without collateral agreements but cannot achieve the higher level of modeling sophistication to model EPE with collateral agreements can set effective EPE for a collateralized netting set equal to the lesser of:
(A) An add-on that reflects the potential increase in exposure of the netting set over the margin period of risk, plus the larger of:
(1) The current exposure of the netting set reflecting all collateral held or posted by the FDIC-supervised institution excluding any collateral called or in dispute; or
(2) The largest net exposure including all collateral held or posted under the margin agreement that would not trigger a collateral call. For purposes of this section, the add-on is computed as the expected increase in the netting set's exposure over the margin period of risk (set in accordance with paragraph (d)(5)(iii) of this section); or
(B) Effective EPE without a collateral agreement plus any collateral the FDIC-supervised institution posts to the counterparty that exceeds the required margin amount.
(iii) For purposes of this part, including paragraphs (d)(5)(i) and (ii) of this section, the margin period of risk for a netting set subject to a collateral agreement is:
(A) Five business days for repo-style transactions subject to daily remargining and daily marking-to-market, and ten business days for other transactions when liquid financial collateral is posted under a daily margin maintenance requirement, or
(B) Twenty business days if the number of trades in a netting set exceeds 5,000 at any time during the previous quarter (except if the FDIC-supervised institution is calculating EAD for a cleared transaction under § 324.133) or contains one or more trades involving illiquid collateral or any derivative contract that cannot be easily replaced. If over the two previous quarters more than two margin disputes on a netting set have occurred that lasted more than the margin period of risk, then the FDIC-supervised institution must use a margin period of risk for that netting set that is at least two times the minimum margin period of risk for that netting set. If the periodicity of the receipt of collateral is N-days, the minimum margin period of risk is the minimum margin period of risk under this paragraph (d) plus N minus 1. This period should be extended to cover any impediments to prompt re-hedging of any market risk.
(C) Five business days for an OTC derivative contract or netting set of OTC derivative contracts where the FDIC-supervised institution is either acting as a financial intermediary and enters into an offsetting transaction with a CCP or where the FDIC-supervised institution provides a guarantee to the CCP on the performance of the client. An FDIC-supervised institution must use a longer holding period if the FDIC-supervised institution determines that a longer period is appropriate. Additionally, the FDIC may require the FDIC-supervised institution to set a longer holding period if the FDIC determines that a longer period is appropriate due to the nature, structure, or characteristics of the transaction or is commensurate with the risks associated with the transaction.
(6) Own estimate of alpha. With prior written approval of the FDIC, an FDIC-supervised institution may calculate alpha as the ratio of economic capital from a full simulation of counterparty exposure across counterparties that incorporates a joint simulation of market and credit risk factors (numerator) and economic capital based on EPE (denominator), subject to a floor of 1.2. For purposes of this calculation, economic capital is the unexpected losses for all counterparty credit risks measured at a 99.9 percent confidence level over a one-year horizon. To receive approval, the FDIC-supervised institution must meet the following minimum standards to the satisfaction of the FDIC:
(i) The FDIC-supervised institution's own estimate of alpha must capture in the numerator the effects of:
(A) The material sources of stochastic dependency of distributions of fair values of transactions or portfolios of transactions across counterparties;
(B) Volatilities and correlations of market risk factors used in the joint simulation, which must be related to the credit risk factor used in the simulation to reflect potential increases in volatility or correlation in an economic downturn, where appropriate; and
(C) The granularity of exposures (that is, the effect of a concentration in the proportion of each counterparty's exposure that is driven by a particular risk factor).
(ii) The FDIC-supervised institution must assess the potential model uncertainty in its estimates of alpha.
(iii) The FDIC-supervised institution must calculate the numerator and denominator of alpha in a consistent fashion with respect to modeling methodology, parameter specifications, and portfolio composition.
(iv) The FDIC-supervised institution must review and adjust as appropriate its estimates of the numerator and denominator of alpha on at least a quarterly basis and more frequently when the composition of the portfolio varies over time.
(7) Risk-based capital requirements for transactions with specific wrong-way risk. An FDIC-supervised institution must determine if a repo-style transaction, eligible margin loan, bond option, or equity derivative contract or purchased credit derivative to which the FDIC-supervised institution applies the internal models methodology under this paragraph (d) has specific wrong-way risk. If a transaction has specific wrong-way risk, the FDIC-supervised institution must treat the transaction as its own netting set and exclude it from the model described in paragraph (d)(2) of this section and instead calculate the risk-based capital requirement for the transaction as follows:
(i) For an equity derivative contract, by multiplying:
(A) K, calculated using the appropriate risk-based capital formula specified in Table 1 of § 324.131 using the PD of the counterparty and LGD equal to 100 percent, by
(B) The maximum amount the FDIC-supervised institution could lose on the equity derivative.
(ii) For a purchased credit derivative by multiplying:
(A) K, calculated using the appropriate risk-based capital formula specified in Table 1 of § 324.131 using the PD of the counterparty and LGD equal to 100 percent, by
(B) The fair value of the reference asset of the credit derivative.
(iii) For a bond option, by multiplying:
(A) K, calculated using the appropriate risk-based capital formula specified in Table 1 of § 324.131 using the PD of the counterparty and LGD equal to 100 percent, by
(B) The smaller of the notional amount of the underlying reference asset and the maximum potential loss under the bond option contract.
(iv) For a repo-style transaction or eligible margin loan by multiplying:
(A) K, calculated using the appropriate risk-based capital formula specified in Table 1 of § 324.131 using the PD of the counterparty and LGD equal to 100 percent, by
(B) The EAD of the transaction determined according to the EAD equation in § 324.132(b)(2), substituting the estimated value of the collateral assuming a default of the counterparty for the value of the collateral in ΣC of the equation.
(8) Risk-weighted asset amount for IMM exposures with specific wrong-way risk. The aggregate risk-weighted asset amount for IMM exposures with specific wrong-way risk is the sum of an FDIC-supervised institution's risk-based capital requirement for purchased credit derivatives that are not bond options with specific wrong-way risk as calculated under paragraph (d)(7)(ii) of this section, an FDIC-supervised institution's risk-based capital requirement for equity derivatives with specific wrong-way risk as calculated under paragraph (d)(7)(i) of this section, an FDIC-supervised institution's risk-based capital requirement for bond options with specific wrong-way risk as calculated under paragraph (d)(7)(iii) of this section, and an FDIC-supervised institution's risk-based capital requirement for repo-style transactions and eligible margin loans with specific wrong-way risk as calculated under paragraph (d)(7)(iv) of this section, multiplied by 12.5.
(9) Risk-weighted assets for IMM exposures.
(i) The FDIC-supervised institution must insert the assigned risk parameters for each counterparty and netting set into the appropriate formula specified in Table 1 of § 324.131 and multiply the output of the formula by the EADunstressed of the netting set to obtain the unstressed capital requirement for each netting set. An FDIC-supervised institution that uses an advanced CVA approach that captures migrations in credit spreads under paragraph (e)(3) of this section must set the maturity adjustment (b) in the formula equal to zero. The sum of the unstressed capital requirement calculated for each netting set equals Kunstressed.
(ii) The FDIC-supervised institution must insert the assigned risk parameters for each wholesale obligor and netting set into the appropriate formula specified in Table 1 of § 324.131 and multiply the output of the formula by the EADstressed of the netting set to obtain the stressed capital requirement for each netting set. An FDIC-supervised institution that uses an advanced CVA approach that captures migrations in credit spreads under paragraph (e)(6) of this section must set the maturity adjustment (b) in the formula equal to zero. The sum of the stressed capital requirement calculated for each netting set equals Kstressed.
(iii) The FDIC-supervised institution's dollar risk-based capital requirement under the internal models methodology equals the larger of Kunstressed and Kstressed. An FDIC-supervised institution's risk-weighted assets amount for IMM exposures is equal to the capital requirement multiplied by 12.5, plus risk-weighted assets for IMM exposures with specific wrong-way risk in paragraph (d)(8) of this section and those in paragraph (d)(10) of this section.
(10) Other measures of counterparty exposure.
(i) With prior written approval of the FDIC, a FDIC-supervised institution may set EAD equal to a measure of counterparty credit risk exposure, such as peak EAD, that is more conservative than an alpha of 1.4 times the larger of EPEunstressed and EPEstressed for every counterparty whose EAD will be measured under the alternative measure of counterparty exposure. The FDIC-supervised institution must demonstrate the conservatism of the measure of counterparty credit risk exposure used for EAD. With respect to paragraph (d)(10)(i) of this section:
(A) For material portfolios of new OTC derivative products, the FDIC-supervised institution may assume that the standardized approach for counterparty credit risk pursuant to paragraph (c) of this section meets the conservatism requirement of this section for a period not to exceed 180 days.
(B) For immaterial portfolios of OTC derivative contracts, the FDIC-supervised institution generally may assume that the standardized approach for counterparty credit risk pursuant to paragraph (c) of this section meets the conservatism requirement of this section.
(ii) To calculate risk-weighted assets for purposes of the approach in paragraph (d)(10)(i) of this section, the FDIC-supervised institution must insert the assigned risk parameters for each counterparty and netting set into the appropriate formula specified in Table 1 of § 324.131, multiply the output of the formula by the EAD for the exposure as specified above, and multiply by 12.5.
(e) Credit valuation adjustment (CVA) risk-weighted assets -
(1) In general. With respect to its OTC derivative contracts, an FDIC-supervised institution must calculate a CVA risk-weighted asset amount for its portfolio of OTC derivative transactions that are subject to the CVA capital requirement using the simple CVA approach described in paragraph (e)(5) of this section or, with prior written approval of the FDIC, the advanced CVA approach described in paragraph (e)(6) of this section. An FDIC-supervised institution that receives prior FDIC approval to calculate its CVA risk-weighted asset amounts for a class of counterparties using the advanced CVA approach must continue to use that approach for that class of counterparties until it notifies the FDIC in writing that the FDIC-supervised institution expects to begin calculating its CVA risk-weighted asset amount using the simple CVA approach. Such notice must include an explanation of the FDIC-supervised institution's rationale and the date upon which the FDIC-supervised institution will begin to calculate its CVA risk-weighted asset amount using the simple CVA approach.
(2) Market risk FDIC-supervised institutions. Notwithstanding the prior approval requirement in paragraph (e)(1) of this section, a market risk FDIC-supervised institution may calculate its CVA risk-weighted asset amount using the advanced CVA approach if the FDIC-supervised institution has FDIC approval to:
(i) Determine EAD for OTC derivative contracts using the internal models methodology described in paragraph (d) of this section; and
(ii) Determine its specific risk add-on for debt positions issued by the counterparty using a specific risk model described in § 324.207(b).
(3) Recognition of hedges.
(i) An FDIC-supervised institution may recognize a single name CDS, single name contingent CDS, any other equivalent hedging instrument that references the counterparty directly, and index credit default swaps (CDSind) as a CVA hedge under paragraph (e)(5)(ii) of this section or paragraph (e)(6) of this section, provided that the position is managed as a CVA hedge in accordance with the FDIC-supervised institution's hedging policies.
(ii) An FDIC-supervised institution shall not recognize as a CVA hedge any tranched or nth-to-default credit derivative.
(4) Total CVA risk-weighted assets. Total CVA risk-weighted assets is the CVA capital requirement, KCVA, calculated for an FDIC-supervised institution's entire portfolio of OTC derivative counterparties that are subject to the CVA capital requirement, multiplied by 12.5.
(5) Simple CVA approach.
(i) Under the simple CVA approach, the CVA capital requirement, KCVA, is calculated according to the following formula:

(A) wi equals the weight applicable to counterparty i under Table 4 to this section;
(B) Mi equals the EAD-weighted average of the effective maturity of each netting set with counterparty i (where each netting set's effective maturity can be no less than one year.)
(C) EADi total equals the sum of the EAD for all netting sets of OTC derivative contracts with counterparty i calculated using the standardized approach for counterparty credit risk described in paragraph (c) of this section or the internal models methodology described in paragraph (d) of this section. When the FDIC-supervised institution calculates EAD under paragraph (c) of this section, such EAD may be adjusted for purposes of calculating EADitotal by multiplying EAD by (1-exp(-0.05 × Mi))/(0.05 × Mi), where “exp” is the exponential function. When the FDIC-supervised institution calculates EAD under paragraph (d) of this section, EADitotal equals EADunstressed.
(D) Mi hedge equals the notional weighted average maturity of the hedge instrument.
(E) Bi equals the sum of the notional amounts of any purchased single name CDS referencing counterparty i that is used to hedge CVA risk to counterparty i multiplied by (1-exp(-0.05 × Mihedge))/(0.05 × Mihedge).
(F) Mind equals the maturity of the CDSind or the notional weighted average maturity of any CDSind purchased to hedge CVA risk of counterparty i.
(G) Bind equals the notional amount of one or more CDSind purchased to hedge CVA risk for counterparty i multiplied by (1-exp(-0.05 × Mind))/(0.05 × Mind)
(H) wind equals the weight applicable to the CDSind based on the average weight of the underlying reference names that comprise the index under Table 4 to this section.
(ii) The FDIC-supervised institution may treat the notional amount of the index attributable to a counterparty as a single name hedge of counterparty i (Bi,) when calculating KCVA, and subtract the notional amount of Bi from the notional amount of the CDSind. An FDIC-supervised institution must treat the CDSind hedge with the notional amount reduced by Bi as a CVA hedge.
Table 4 to § 324.132 - Assignment of Counterparty Weight
| Internal PD (in percent) |
Weight wi (in percent) |
|---|---|
| 0.00-0.07 | 0.70 |
| >0.070-0.15 | 0.80 |
| >0.15-0.40 | 1.00 |
| >0.40-2.00 | 2.00 |
| >2.00-6.00 | 3.00 |
| >6.00 | 10.00 |
(6) Advanced CVA approach.
(i) An FDIC-supervised institution may use the VaR model that it uses to determine specific risk under § 324.207(b) or another VaR model that meets the quantitative requirements of § 324.205(b) and § 324.207(b)(1) to calculate its CVA capital requirement for a counterparty by modeling the impact of changes in the counterparties' credit spreads, together with any recognized CVA hedges, on the CVA for the counterparties, subject to the following requirements:
(A) The VaR model must incorporate only changes in the counterparties' credit spreads, not changes in other risk factors. The VaR model does not need to capture jump-to-default risk;
(B) An FDIC-supervised institution that qualifies to use the advanced CVA approach must include in that approach any immaterial OTC derivative portfolios for which it uses the standardized approach for counterparty credit risk in paragraph (c) of this section according to paragraph (e)(6)(viii) of this section; and
(C) An FDIC-supervised institution must have the systems capability to calculate the CVA capital requirement for a counterparty on a daily basis (but is not required to calculate the CVA capital requirement on a daily basis).
(ii) Under the advanced CVA approach, the CVA capital requirement, KCVA, is calculated according to the following formulas:

Where
(A) ti equals the time of the i-th revaluation time bucket starting from t0 = 0.
(B) tT equals the longest contractual maturity across the OTC derivative contracts with the counterparty.
(C) si equals the CDS spread for the counterparty at tenor ti used to calculate the CVA for the counterparty. If a CDS spread is not available, the FDIC-supervised institution must use a proxy spread based on the credit quality, industry and region of the counterparty.
(D) LGDMKT equals the loss given default of the counterparty based on the spread of a publicly traded debt instrument of the counterparty, or, where a publicly traded debt instrument spread is not available, a proxy spread based on the credit quality, industry, and region of the counterparty. Where no market information and no reliable proxy based on the credit quality, industry, and region of the counterparty are available to determine LGDMKT, an FDIC-supervised institution may use a conservative estimate when determining LGDMKT, subject to approval by the FDIC.
(E) EEi equals the sum of the expected exposures for all netting sets with the counterparty at revaluation time ti, calculated according to paragraphs (e)(6)(iv)(A) and (e)(6)(v)(A) of this section.
(F) Di equals the risk-free discount factor at time ti, where D0 = 1.
(G) Exp is the exponential function.
(H) The subscript j refers either to a stressed or an unstressed calibration as described in paragraphs (e)(6)(iv) and (v) of this section.
(iii) Notwithstanding paragraphs (e)(6)(i) and (e)(6)(ii) of this section, an FDIC-supervised institution must use the formulas in paragraphs (e)(6)(iii)(A) or (e)(6)(iii)(B) of this section to calculate credit spread sensitivities if its VaR model is not based on full repricing.
(iv) To calculate the CVAUnstressed measure for purposes of paragraph (e)(6)(ii) of this section, the FDIC-supervised institution must:
(A) Use the EEi calculated using the calibration of paragraph (d)(3)(vii) of this section, except as provided in § 324.132 (e)(6)(vi), and
(B) Use the historical observation period required under § 324.205(b)(2).
(v) To calculate the CVAStressed measure for purposes of paragraph (e)(6)(ii) of this section, the FDIC-supervised institution must:
(A) Use the EEi calculated using the stress calibration in paragraph (d)(3)(viii) of this section except as provided in paragraph (e)(6)(vi) of this section.
(B) Calibrate VaR model inputs to historical data from the most severe twelve-month stress period contained within the three-year stress period used to calculate EEi. The FDIC may require an FDIC-supervised institution to use a different period of significant financial stress in the calculation of the CVAStressed measure.
(vi) If an FDIC-supervised institution captures the effect of a collateral agreement on EAD using the method described in paragraph (d)(5)(ii) of this section, for purposes of paragraph (e)(6)(ii) of this section, the FDIC-supervised institution must calculate EEi using the method in paragraph (d)(5)(ii) of this section and keep that EE constant with the maturity equal to the maximum of:
(A) Half of the longest maturity of a transaction in the netting set, and
(B) The notional weighted average maturity of all transactions in the netting set.
(vii) For purposes of paragraph (e)(6) of this section, the FDIC-supervised institution's VaR model must capture the basis between the spreads of any CDSind that is used as the hedging instrument and the hedged counterparty exposure over various time periods, including benign and stressed environments. If the VaR model does not capture that basis, the FDIC-supervised institution must reflect only 50 percent of the notional amount of the CDSind hedge in the VaR model.
(viii) If a FDIC-supervised institution uses the standardized approach for counterparty credit risk pursuant to paragraph (c) of this section to calculate the EAD for any immaterial portfolios of OTC derivative contracts, the FDIC-supervised institution must use that EAD as a constant EE in the formula for the calculation of CVA with the maturity equal to the maximum of:
(A) Half of the longest maturity of a transaction in the netting set; and
(B) The notional weighted average maturity of all transactions in the netting set.
[78 FR 55471, Sept. 10, 2013, as amended at 79 FR 20761, Apr. 14, 2014; 80 FR 41424, July 15, 2015; 85 FR 4434, Jan. 24, 2020; 85 FR 57963, Sept. 17, 2020; 86 FR 745, Jan. 6, 2021]
[30] In the case of a first-to-default credit derivative, there are no underlying exposures that are subordinated to the FDIC-supervised institution's exposure. In the case of a second-or-subsequent-to-default credit derivative, the smallest (n−1) notional amounts of the underlying exposures are subordinated to the FDIC-supervised institution's exposure.
(a) General requirements -
(1) Clearing member clients. A FDIC-supervised institution that is a clearing member client must use the methodologies described in paragraph (b) of this section to calculate risk-weighted assets for a cleared transaction.
(2) Clearing members. A FDIC-supervised institution that is a clearing member must use the methodologies described in paragraph (c) of this section to calculate its risk-weighted assets for a cleared transaction and paragraph (d) of this section to calculate its risk-weighted assets for its default fund contribution to a CCP.
(b) Clearing member client FDIC-supervised institutions -
(1) Risk-weighted assets for cleared transactions.
(i) To determine the risk-weighted asset amount for a cleared transaction, a FDIC-supervised institution that is a clearing member client must multiply the trade exposure amount for the cleared transaction, calculated in accordance with paragraph (b)(2) of this section, by the risk weight appropriate for the cleared transaction, determined in accordance with paragraph (b)(3) of this section.
(ii) A clearing member client FDIC-supervised institution's total risk-weighted assets for cleared transactions is the sum of the risk-weighted asset amounts for all of its cleared transactions.
(2) Trade exposure amount.
(i) For a cleared transaction that is a derivative contract or a netting set of derivative contracts, trade exposure amount equals the EAD for the derivative contract or netting set of derivative contracts calculated using the methodology used to calculate EAD for derivative contracts set forth in § 324.132(c) or (d), plus the fair value of the collateral posted by the clearing member client FDIC-supervised institution and held by the CCP or a clearing member in a manner that is not bankruptcy remote. When the FDIC-supervised institution calculates EAD for the cleared transaction using the methodology in § 324.132(d), EAD equals EADunstressed.
(ii) For a cleared transaction that is a repo-style transaction or netting set of repo-style transactions, trade exposure amount equals the EAD for the repo-style transaction calculated using the methodology set forth in § 324.132(b)(2) or (3) or (d), plus the fair value of the collateral posted by the clearing member client FDIC-supervised institution and held by the CCP or a clearing member in a manner that is not bankruptcy remote. When the FDIC-supervised institution calculates EAD for the cleared transaction under § 324.132(d), EAD equals EADunstressed.
(3) Cleared transaction risk weights.
(i) For a cleared transaction with a QCCP, a clearing member client FDIC-supervised institution must apply a risk weight of:
(A) 2 percent if the collateral posted by the FDIC-supervised institution to the QCCP or clearing member is subject to an arrangement that prevents any loss to the clearing member client FDIC-supervised institution due to the joint default or a concurrent insolvency, liquidation, or receivership proceeding of the clearing member and any other clearing member clients of the clearing member; and the clearing member client FDIC-supervised institution has conducted sufficient legal review to conclude with a well-founded basis (and maintains sufficient written documentation of that legal review) that in the event of a legal challenge (including one resulting from an event of default or from liquidation, insolvency, or receivership proceedings) the relevant court and administrative authorities would find the arrangements to be legal, valid, binding, and enforceable under the law of the relevant jurisdictions.
(B) 4 percent, if the requirements of paragraph (b)(3)(i)(A) of this section are not met.
(ii) For a cleared transaction with a CCP that is not a QCCP, a clearing member client FDIC-supervised institution must apply the risk weight applicable to the CCP under subpart D of this part.
(4) Collateral.
(i) Notwithstanding any other requirement of this section, collateral posted by a clearing member client FDIC-supervised institution that is held by a custodian (in its capacity as a custodian) in a manner that is bankruptcy remote from the CCP, clearing member, and other clearing member clients of the clearing member, is not subject to a capital requirement under this section.
(ii) A clearing member client FDIC-supervised institution must calculate a risk-weighted asset amount for any collateral provided to a CCP, clearing member or a custodian in connection with a cleared transaction in accordance with requirements under subparts E or F of this part, as applicable.
(c) Clearing member FDIC-supervised institution -
(1) Risk-weighted assets for cleared transactions.
(i) To determine the risk-weighted asset amount for a cleared transaction, a clearing member FDIC-supervised institution must multiply the trade exposure amount for the cleared transaction, calculated in accordance with paragraph (c)(2) of this section by the risk weight appropriate for the cleared transaction, determined in accordance with paragraph (c)(3) of this section.
(ii) A clearing member FDIC-supervised institution's total risk-weighted assets for cleared transactions is the sum of the risk-weighted asset amounts for all of its cleared transactions.
(2) Trade exposure amount. A clearing member FDIC-supervised institution must calculate its trade exposure amount for a cleared transaction as follows:
(i) For a cleared transaction that is a derivative contract or a netting set of derivative contracts, trade exposure amount equals the EAD calculated using the methodology used to calculate EAD for derivative contracts set forth in § 324.132(c) or (d), plus the fair value of the collateral posted by the clearing member FDIC-supervised institution and held by the CCP in a manner that is not bankruptcy remote. When the clearing member FDIC-supervised institution calculates EAD for the cleared transaction using the methodology in § 324.132(d), EAD equals EADunstressed.
(ii) For a cleared transaction that is a repo-style transaction or netting set of repo-style transactions, trade exposure amount equals the EAD calculated under § 324.132(b)(2) or (3) or (d), plus the fair value of the collateral posted by the clearing member FDIC-supervised institution and held by the CCP in a manner that is not bankruptcy remote. When the clearing member FDIC-supervised institution calculates EAD for the cleared transaction under § 324.132(d), EAD equals EADunstressed.
(3) Cleared transaction risk weights.
(i) A clearing member FDIC-supervised institution must apply a risk weight of 2 percent to the trade exposure amount for a cleared transaction with a QCCP.
(ii) For a cleared transaction with a CCP that is not a QCCP, a clearing member FDIC-supervised institution must apply the risk weight applicable to the CCP according to subpart D of this part.
(iii) Notwithstanding paragraphs (c)(3)(i) and (ii) of this section, a clearing member FDIC-supervised institution may apply a risk weight of zero percent to the trade exposure amount for a cleared transaction with a QCCP where the clearing member FDIC-supervised institution is acting as a financial intermediary on behalf of a clearing member client, the transaction offsets another transaction that satisfies the requirements set forth in § 324.3(a), and the clearing member FDIC-supervised institution is not obligated to reimburse the clearing member client in the event of the QCCP default.
(4) Collateral.
(i) Notwithstanding any other requirement of this section, collateral posted by a clearing member FDIC-supervised institution that is held by a custodian (in its capacity as a custodian) in a manner that is bankruptcy remote from the CCP, clearing member, and other clearing member clients of the clearing member, is not subject to a capital requirement under this section.
(ii) A clearing member FDIC-supervised institution must calculate a risk-weighted asset amount for any collateral provided to a CCP, clearing member or a custodian in connection with a cleared transaction in accordance with requirements under subparts E or F of this part, as applicable.
(d) Default fund contributions -
(1) General requirement. A clearing member FDIC-supervised institution must determine the risk-weighted asset amount for a default fund contribution to a CCP at least quarterly, or more frequently if, in the opinion of the FDIC-supervised institution or the FDIC, there is a material change in the financial condition of the CCP.
(2) Risk-weighted asset amount for default fund contributions to nonqualifying CCPs. A clearing member FDIC-supervised institution's risk-weighted asset amount for default fund contributions to CCPs that are not QCCPs equals the sum of such default fund contributions multiplied by 1,250 percent, or an amount determined by the FDIC, based on factors such as size, structure, and membership characteristics of the CCP and riskiness of its transactions, in cases where such default fund contributions may be unlimited.
(3) Risk-weighted asset amount for default fund contributions to QCCPs. A clearing member FDIC-supervised institution's risk-weighted asset amount for default fund contributions to QCCPs equals the sum of its capital requirement, KCM for each QCCP, as calculated under the methodology set forth in paragraph (d)(4) of this section, multiplied by 12.5.
(4) Capital requirement for default fund contributions to a QCCP. A clearing member FDIC-supervised institution's capital requirement for its default fund contribution to a QCCP (KCM) is equal to:
(5) Hypothetical capital requirement of a QCCP. Where a QCCP has provided its KCCP, an FDIC-supervised institution must rely on such disclosed figure instead of calculating KCCP under this paragraph (d)(5), unless the FDIC-supervised institution determines that a more conservative figure is appropriate based on the nature, structure, or characteristics of the QCCP. The hypothetical capital requirement of a QCCP (KCCP), as determined by the FDIC-supervised institution, is equal to:
KCCP = ΣCMi EADi * 1.6 percent
Where:
CMi is each clearing member of the QCCP; and
EADi is the exposure amount of the QCCP to each clearing member of the QCCP, as determined under paragraph (d)(6) of this section.
(6) EAD of a QCCP to a clearing member.
(i) The EAD of a QCCP to a clearing member is equal to the sum of the EAD for derivative contracts determined under paragraph (d)(6)(ii) of this section and the EAD for repo-style transactions determined under paragraph (d)(6)(iii) of this section.
(ii) With respect to any derivative contracts between the QCCP and the clearing member that are cleared transactions and any guarantees that the clearing member has provided to the QCCP with respect to performance of a clearing member client on a derivative contract, the EAD is equal to the exposure amount of the QCCP to the clearing member for all such derivative contracts and guarantees of derivative contracts calculated under SA-CCR in § 324.132(c) (or, with respect to a QCCP located outside the United States, under a substantially identical methodology in effect in the jurisdiction) using a value of 10 business days for purposes of § 324.132(c)(9)(iv); less the value of all collateral held by the QCCP posted by the clearing member or a client of the clearing member in connection with a derivative contract for which the clearing member has provided a guarantee to the QCCP and the amount of the prefunded default fund contribution of the clearing member to the QCCP.
(iii) With respect to any repo-style transactions between the QCCP and a clearing member that are cleared transactions, EAD is equal to:
EADI = max{EBRMI−IMi−DFI;0}
Where:
EBRMi is the exposure amount of the QCCP to each clearing member for all repo-style transactions between the QCCP and the clearing member, as determined under § 324.132(b)(2) and without recognition of the initial margin collateral posted by the clearing member to the QCCP with respect to the repo-style transactions or the prefunded default fund contribution of the clearing member institution to the QCCP;
IMi is the initial margin collateral posted by each clearing member to the QCCP with respect to the repo-style transactions; and
DFi is the prefunded default fund contribution of each clearing member to the QCCP that is not already deducted in paragraph (d)(6)(ii) of this section.
(iv) EAD must be calculated separately for each clearing member's sub-client accounts and sub-house account (i.e., for the clearing member's proprietary activities). If the clearing member's collateral and its client's collateral are held in the same default fund contribution account, then the EAD of that account is the sum of the EAD for the client-related transactions within the account and the EAD of the house-related transactions within the account. For purposes of determining such EADs, the independent collateral of the clearing member and its client must be allocated in proportion to the respective total amount of independent collateral posted by the clearing member to the QCCP.
(v) If any account or sub-account contains both derivative contracts and repo-style transactions, the EAD of that account is the sum of the EAD for the derivative contracts within the account and the EAD of the repo-style transactions within the account. If independent collateral is held for an account containing both derivative contracts and repo-style transactions, then such collateral must be allocated to the derivative contracts and repo-style transactions in proportion to the respective product specific exposure amounts, calculated, excluding the effects of collateral, according to § 324.132(b) for repo-style transactions and to § 324.132(c)(5) for derivative contracts.
(vi) Notwithstanding any other provision of paragraph (d) of this section, with the prior approval of the FDIC, a FDIC-supervised institution may determine the risk-weighted asset amount for a default fund contribution to a QCCP according to § 324.35(d)(3)(ii).
[78 FR 55471, Sept. 10, 2013, as amended at 79 FR 20761, Apr. 14, 2014; 80 FR 41425, July 15, 2015; 84 FR 35279, July 22, 2019; 85 FR 4440, Jan. 24, 2020; 85 FR 57963, Sept. 17, 2020]
(a) Scope.
(1) This section applies to wholesale exposures for which:
(i) Credit risk is fully covered by an eligible guarantee or eligible credit derivative; or
(ii) Credit risk is covered on a pro rata basis (that is, on a basis in which the FDIC-supervised institution and the protection provider share losses proportionately) by an eligible guarantee or eligible credit derivative.
(2) Wholesale exposures on which there is a tranching of credit risk (reflecting at least two different levels of seniority) are securitization exposures subject to §§ 324.141 through 324.145.
(3) An FDIC-supervised institution may elect to recognize the credit risk mitigation benefits of an eligible guarantee or eligible credit derivative covering an exposure described in paragraph (a)(1) of this section by using the PD substitution approach or the LGD adjustment approach in paragraph (c) of this section or, if the transaction qualifies, using the double default treatment in § 324.135. An FDIC-supervised institution's PD and LGD for the hedged exposure may not be lower than the PD and LGD floors described in § 324.131(d)(2) and (d)(3).
(4) If multiple eligible guarantees or eligible credit derivatives cover a single exposure described in paragraph (a)(1) of this section, an FDIC-supervised institution may treat the hedged exposure as multiple separate exposures each covered by a single eligible guarantee or eligible credit derivative and may calculate a separate risk-based capital requirement for each separate exposure as described in paragraph (a)(3) of this section.
(5) If a single eligible guarantee or eligible credit derivative covers multiple hedged wholesale exposures described in paragraph (a)(1) of this section, an FDIC-supervised institution must treat each hedged exposure as covered by a separate eligible guarantee or eligible credit derivative and must calculate a separate risk-based capital requirement for each exposure as described in paragraph (a)(3) of this section.
(6) An FDIC-supervised institution must use the same risk parameters for calculating ECL as it uses for calculating the risk-based capital requirement for the exposure.
(b) Rules of recognition.
(1) An FDIC-supervised institution may only recognize the credit risk mitigation benefits of eligible guarantees and eligible credit derivatives.
(2) An FDIC-supervised institution may only recognize the credit risk mitigation benefits of an eligible credit derivative to hedge an exposure that is different from the credit derivative's reference exposure used for determining the derivative's cash settlement value, deliverable obligation, or occurrence of a credit event if:
(i) The reference exposure ranks pari passu (that is, equally) with or is junior to the hedged exposure; and
(ii) The reference exposure and the hedged exposure are exposures to the same legal entity, and legally enforceable cross-default or cross-acceleration clauses are in place to assure payments under the credit derivative are triggered when the obligor fails to pay under the terms of the hedged exposure.
(c) Risk parameters for hedged exposures -
(1) PD substitution approach -
(i) Full coverage. If an eligible guarantee or eligible credit derivative meets the conditions in paragraphs (a) and (b) of this section and the protection amount (P) of the guarantee or credit derivative is greater than or equal to the EAD of the hedged exposure, an FDIC-supervised institution may recognize the guarantee or credit derivative in determining the FDIC-supervised institution's risk-based capital requirement for the hedged exposure by substituting the PD associated with the rating grade of the protection provider for the PD associated with the rating grade of the obligor in the risk-based capital formula applicable to the guarantee or credit derivative in Table 1 of § 324.131 and using the appropriate LGD as described in paragraph (c)(1)(iii) of this section. If the FDIC-supervised institution determines that full substitution of the protection provider's PD leads to an inappropriate degree of risk mitigation, the FDIC-supervised institution may substitute a higher PD than that of the protection provider.
(ii) Partial coverage. If an eligible guarantee or eligible credit derivative meets the conditions in paragraphs (a) and (b) of this section and P of the guarantee or credit derivative is less than the EAD of the hedged exposure, the FDIC-supervised institution must treat the hedged exposure as two separate exposures (protected and unprotected) in order to recognize the credit risk mitigation benefit of the guarantee or credit derivative.
(A) The FDIC-supervised institution must calculate its risk-based capital requirement for the protected exposure under § 324.131, where PD is the protection provider's PD, LGD is determined under paragraph (c)(1)(iii) of this section, and EAD is P. If the FDIC-supervised institution determines that full substitution leads to an inappropriate degree of risk mitigation, the FDIC-supervised institution may use a higher PD than that of the protection provider.
(B) The FDIC-supervised institution must calculate its risk-based capital requirement for the unprotected exposure under § 324.131, where PD is the obligor's PD, LGD is the hedged exposure's LGD (not adjusted to reflect the guarantee or credit derivative), and EAD is the EAD of the original hedged exposure minus P.
(C) The treatment in paragraph (c)(1)(ii) of this section is applicable when the credit risk of a wholesale exposure is covered on a partial pro rata basis or when an adjustment is made to the effective notional amount of the guarantee or credit derivative under paragraphs (d), (e), or (f) of this section.
(iii) LGD of hedged exposures. The LGD of a hedged exposure under the PD substitution approach is equal to:
(A) The lower of the LGD of the hedged exposure (not adjusted to reflect the guarantee or credit derivative) and the LGD of the guarantee or credit derivative, if the guarantee or credit derivative provides the FDIC-supervised institution with the option to receive immediate payout upon triggering the protection; or
(B) The LGD of the guarantee or credit derivative, if the guarantee or credit derivative does not provide the FDIC-supervised institution with the option to receive immediate payout upon triggering the protection.
(2) LGD adjustment approach -
(i) Full coverage. If an eligible guarantee or eligible credit derivative meets the conditions in paragraphs (a) and (b) of this section and the protection amount (P) of the guarantee or credit derivative is greater than or equal to the EAD of the hedged exposure, the FDIC-supervised institution's risk-based capital requirement for the hedged exposure is the greater of:
(A) The risk-based capital requirement for the exposure as calculated under § 324.131, with the LGD of the exposure adjusted to reflect the guarantee or credit derivative; or
(B) The risk-based capital requirement for a direct exposure to the protection provider as calculated under § 324.131, using the PD for the protection provider, the LGD for the guarantee or credit derivative, and an EAD equal to the EAD of the hedged exposure.
(ii) Partial coverage. If an eligible guarantee or eligible credit derivative meets the conditions in paragraphs (a) and (b) of this section and the protection amount (P) of the guarantee or credit derivative is less than the EAD of the hedged exposure, the FDIC-supervised institution must treat the hedged exposure as two separate exposures (protected and unprotected) in order to recognize the credit risk mitigation benefit of the guarantee or credit derivative.
(A) The FDIC-supervised institution's risk-based capital requirement for the protected exposure would be the greater of:
(1) The risk-based capital requirement for the protected exposure as calculated under § 324.131, with the LGD of the exposure adjusted to reflect the guarantee or credit derivative and EAD set equal to P; or
(2) The risk-based capital requirement for a direct exposure to the guarantor as calculated under § 324.131, using the PD for the protection provider, the LGD for the guarantee or credit derivative, and an EAD set equal to P.
(B) The FDIC-supervised institution must calculate its risk-based capital requirement for the unprotected exposure under § 324.131, where PD is the obligor's PD, LGD is the hedged exposure's LGD (not adjusted to reflect the guarantee or credit derivative), and EAD is the EAD of the original hedged exposure minus P.
(3) M of hedged exposures. For purposes of this paragraph (c), the M of the hedged exposure is the same as the M of the exposure if it were unhedged.
(d) Maturity mismatch.
(1) An FDIC-supervised institution that recognizes an eligible guarantee or eligible credit derivative in determining its risk-based capital requirement for a hedged exposure must adjust the effective notional amount of the credit risk mitigant to reflect any maturity mismatch between the hedged exposure and the credit risk mitigant.
(2) A maturity mismatch occurs when the residual maturity of a credit risk mitigant is less than that of the hedged exposure(s).
(3) The residual maturity of a hedged exposure is the longest possible remaining time before the obligor is scheduled to fulfil its obligation on the exposure. If a credit risk mitigant has embedded options that may reduce its term, the FDIC-supervised institution (protection purchaser) must use the shortest possible residual maturity for the credit risk mitigant. If a call is at the discretion of the protection provider, the residual maturity of the credit risk mitigant is at the first call date. If the call is at the discretion of the FDIC-supervised institution (protection purchaser), but the terms of the arrangement at origination of the credit risk mitigant contain a positive incentive for the FDIC-supervised institution to call the transaction before contractual maturity, the remaining time to the first call date is the residual maturity of the credit risk mitigant.[31]
(4) A credit risk mitigant with a maturity mismatch may be recognized only if its original maturity is greater than or equal to one year and its residual maturity is greater than three months.
(5) When a maturity mismatch exists, the FDIC-supervised institution must apply the following adjustment to the effective notional amount of the credit risk mitigant: Pm = E × (t−0.25)/(T−0.25), where:
(i) Pm equals effective notional amount of the credit risk mitigant, adjusted for maturity mismatch;
(ii) E equals effective notional amount of the credit risk mitigant;
(iii) t equals the lesser of T or the residual maturity of the credit risk mitigant, expressed in years; and
(iv) T equals the lesser of five or the residual maturity of the hedged exposure, expressed in years.
(e) Credit derivatives without restructuring as a credit event. If an FDIC-supervised institution recognizes an eligible credit derivative that does not include as a credit event a restructuring of the hedged exposure involving forgiveness or postponement of principal, interest, or fees that results in a credit loss event (that is, a charge-off, specific provision, or other similar debit to the profit and loss account), the FDIC-supervised institution must apply the following adjustment to the effective notional amount of the credit derivative: Pr = Pm × 0.60, where:
(1) Pr equals effective notional amount of the credit risk mitigant, adjusted for lack of restructuring event (and maturity mismatch, if applicable); and
(2) Pm equals effective notional amount of the credit risk mitigant adjusted for maturity mismatch (if applicable).
(f) Currency mismatch.
(1) If an FDIC-supervised institution recognizes an eligible guarantee or eligible credit derivative that is denominated in a currency different from that in which the hedged exposure is denominated, the FDIC-supervised institution must apply the following formula to the effective notional amount of the guarantee or credit derivative: Pc = Pr × (1−HFX), where:
(i) Pc equals effective notional amount of the credit risk mitigant, adjusted for currency mismatch (and maturity mismatch and lack of restructuring event, if applicable);
(ii) Pr equals effective notional amount of the credit risk mitigant (adjusted for maturity mismatch and lack of restructuring event, if applicable); and
(iii) HFX equals haircut appropriate for the currency mismatch between the credit risk mitigant and the hedged exposure.
(2) An FDIC-supervised institution must set HFX equal to 8 percent unless it qualifies for the use of and uses its own internal estimates of foreign exchange volatility based on a ten-business-day holding period and daily marking-to-market and remargining. An FDIC-supervised institution qualifies for the use of its own internal estimates of foreign exchange volatility if it qualifies for:
(i) The own-estimates haircuts in § 324.132(b)(2)(iii);
(ii) The simple VaR methodology in § 324.132(b)(3); or
(iii) The internal models methodology in § 324.132(d).
(3) An FDIC-supervised institution must adjust HFX calculated in paragraph (f)(2) of this section upward if the FDIC-supervised institution revalues the guarantee or credit derivative less frequently than once every ten business days using the square root of time formula provided in § 324.132(b)(2)(iii)(A)(2).
[78 FR 55471, Sept. 10, 2013, as amended at 81 FR 71354, Oct. 17, 2016; 85 FR 4434, Jan. 24, 2020]
[31] For example, where there is a step-up in cost in conjunction with a call feature or where the effective cost of protection increases over time even if credit quality remains the same or improves, the residual maturity of the credit risk mitigant will be the remaining time to the first call.
(a) Eligibility and operational criteria for double default treatment. An FDIC-supervised institution may recognize the credit risk mitigation benefits of a guarantee or credit derivative covering an exposure described in § 324.134(a)(1) by applying the double default treatment in this section if all the following criteria are satisfied:
(1) The hedged exposure is fully covered or covered on a pro rata basis by:
(i) An eligible guarantee issued by an eligible double default guarantor; or
(ii) An eligible credit derivative that meets the requirements of § 324.134(b)(2) and that is issued by an eligible double default guarantor.
(2) The guarantee or credit derivative is:
(i) An uncollateralized guarantee or uncollateralized credit derivative (for example, a credit default swap) that provides protection with respect to a single reference obligor; or
(ii) An nth-to-default credit derivative (subject to the requirements of § 324.142(m)).
(3) The hedged exposure is a wholesale exposure (other than a sovereign exposure).
(4) The obligor of the hedged exposure is not:
(i) An eligible double default guarantor or an affiliate of an eligible double default guarantor; or
(ii) An affiliate of the guarantor.
(5) The FDIC-supervised institution does not recognize any credit risk mitigation benefits of the guarantee or credit derivative for the hedged exposure other than through application of the double default treatment as provided in this section.
(6) The FDIC-supervised institution has implemented a process (which has received the prior, written approval of the FDIC) to detect excessive correlation between the creditworthiness of the obligor of the hedged exposure and the protection provider. If excessive correlation is present, the FDIC-supervised institution may not use the double default treatment for the hedged exposure.
(b) Full coverage. If a transaction meets the criteria in paragraph (a) of this section and the protection amount (P) of the guarantee or credit derivative is at least equal to the EAD of the hedged exposure, the FDIC-supervised institution may determine its risk-weighted asset amount for the hedged exposure under paragraph (e) of this section.
(c) Partial coverage. If a transaction meets the criteria in paragraph (a) of this section and the protection amount (P) of the guarantee or credit derivative is less than the EAD of the hedged exposure, the FDIC-supervised institution must treat the hedged exposure as two separate exposures (protected and unprotected) in order to recognize double default treatment on the protected portion of the exposure:
(1) For the protected exposure, the FDIC-supervised institution must set EAD equal to P and calculate its risk-weighted asset amount as provided in paragraph (e) of this section; and
(2) For the unprotected exposure, the FDIC-supervised institution must set EAD equal to the EAD of the original exposure minus P and then calculate its risk-weighted asset amount as provided in § 324.131.
(d) Mismatches. For any hedged exposure to which an FDIC-supervised institution applies double default treatment under this part, the FDIC-supervised institution must make applicable adjustments to the protection amount as required in §§ 324.134(d), (e), and (f).
(e) The double default dollar risk-based capital requirement. The dollar risk-based capital requirement for a hedged exposure to which an FDIC-supervised institution has applied double default treatment is KDD multiplied by the EAD of the exposure. KDD is calculated according to the following formula: KDD = Ko × (0.15 + 160 × PDg),
where:
(1)
(2) PDg equals PD of the protection provider.
(3) PDo equals PD of the obligor of the hedged exposure.
(4) LGDg equals:
(i) The lower of the LGD of the hedged exposure (not adjusted to reflect the guarantee or credit derivative) and the LGD of the guarantee or credit derivative, if the guarantee or credit derivative provides the FDIC-supervised institution with the option to receive immediate payout on triggering the protection; or
(ii) The LGD of the guarantee or credit derivative, if the guarantee or credit derivative does not provide the FDIC-supervised institution with the option to receive immediate payout on triggering the protection; and
(5) ρos (asset value correlation of the obligor) is calculated according to the appropriate formula for (R) provided in Table 1 in § 324.131, with PD equal to PDo.
(6) b (maturity adjustment coefficient) is calculated according to the formula for b provided in Table 1 in § 324.131, with PD equal to the lesser of PDo and PDg; and
(7) M (maturity) is the effective maturity of the guarantee or credit derivative, which may not be less than one year or greater than five years.
(a) Definitions. For purposes of this section:
(1) Delivery-versus-payment (DvP) transaction means a securities or commodities transaction in which the buyer is obligated to make payment only if the seller has made delivery of the securities or commodities and the seller is obligated to deliver the securities or commodities only if the buyer has made payment.
(2) Payment-versus-payment (PvP) transaction means a foreign exchange transaction in which each counterparty is obligated to make a final transfer of one or more currencies only if the other counterparty has made a final transfer of one or more currencies.
(3) A transaction has a normal settlement period if the contractual settlement period for the transaction is equal to or less than the market standard for the instrument underlying the transaction and equal to or less than five business days.
(4) The positive current exposure of an FDIC-supervised institution for a transaction is the difference between the transaction value at the agreed settlement price and the current market price of the transaction, if the difference results in a credit exposure of the FDIC-supervised institution to the counterparty.
(b) Scope. This section applies to all transactions involving securities, foreign exchange instruments, and commodities that have a risk of delayed settlement or delivery. This section does not apply to:
(1) Cleared transactions that are subject to daily marking-to-market and daily receipt and payment of variation margin;
(2) Repo-style transactions, including unsettled repo-style transactions (which are addressed in §§ 324.131 and 324.132);
(3) One-way cash payments on OTC derivative contracts (which are addressed in §§ 324.131 and 324.132); or
(4) Transactions with a contractual settlement period that is longer than the normal settlement period (which are treated as OTC derivative contracts and addressed in §§ 324.131 and 324.132).
(c) System-wide failures. In the case of a system-wide failure of a settlement or clearing system, or a central counterparty, the FDIC may waive risk-based capital requirements for unsettled and failed transactions until the situation is rectified.
(d) Delivery-versus-payment (DvP) and payment-versus-payment (PvP) transactions. An FDIC-supervised institution must hold risk-based capital against any DvP or PvP transaction with a normal settlement period if the FDIC-supervised institution's counterparty has not made delivery or payment within five business days after the settlement date. The FDIC-supervised institution must determine its risk-weighted asset amount for such a transaction by multiplying the positive current exposure of the transaction for the FDIC-supervised institution by the appropriate risk weight in Table 1 to § 324.136.
Table 1 to § 324.136 - Risk Weights for Unsettled DvP and PvP Transactions
| Number of business days after contractual settlement date | Risk weight to be applied to positive current exposure (in percent) |
|---|---|
| From 5 to 15 | 100 |
| From 16 to 30 | 625 |
| From 31 to 45 | 937.5 |
| 46 or more | 1,250 |
(e) Non-DvP/non-PvP (non-delivery-versus-payment/non-payment-versus-payment) transactions.
(1) An FDIC-supervised institution must hold risk-based capital against any non-DvP/non-PvP transaction with a normal settlement period if the FDIC-supervised institution has delivered cash, securities, commodities, or currencies to its counterparty but has not received its corresponding deliverables by the end of the same business day. The FDIC-supervised institution must continue to hold risk-based capital against the transaction until the FDIC-supervised institution has received its corresponding deliverables.
(2) From the business day after the FDIC-supervised institution has made its delivery until five business days after the counterparty delivery is due, the FDIC-supervised institution must calculate its risk-based capital requirement for the transaction by treating the current fair value of the deliverables owed to the FDIC-supervised institution as a wholesale exposure.
(i) An FDIC-supervised institution may use a 45 percent LGD for the transaction rather than estimating LGD for the transaction provided the FDIC-supervised institution uses the 45 percent LGD for all transactions described in paragraphs (e)(1) and (e)(2) of this section.
(ii) An FDIC-supervised institution may use a 100 percent risk weight for the transaction provided the FDIC-supervised institution uses this risk weight for all transactions described in paragraphs (e)(1) and (e)(2) of this section.
(3) If the FDIC-supervised institution has not received its deliverables by the fifth business day after the counterparty delivery was due, the FDIC-supervised institution must apply a 1,250 percent risk weight to the current fair value of the deliverables owed to the FDIC-supervised institution.
(f) Total risk-weighted assets for unsettled transactions. Total risk-weighted assets for unsettled transactions is the sum of the risk-weighted asset amounts of all DvP, PvP, and non-DvP/non-PvP transactions.
[78 FR 55471, Sept. 10, 2013, as amended at 80 FR 41425, July 15, 2015]
(a) Operational criteria for traditional securitizations. An FDIC-supervised institution that transfers exposures it has originated or purchased to a securitization SPE or other third party in connection with a traditional securitization may exclude the exposures from the calculation of its risk-weighted assets only if each of the conditions in this paragraph (a) is satisfied. An FDIC-supervised institution that meets these conditions must hold risk-based capital against any securitization exposures it retains in connection with the securitization. An FDIC-supervised institution that fails to meet these conditions must hold risk-based capital against the transferred exposures as if they had not been securitized and must deduct from common equity tier 1 capital any after-tax gain-on-sale resulting from the transaction. The conditions are:
(1) The exposures are not reported on the FDIC-supervised institution's consolidated balance sheet under GAAP;
(2) The FDIC-supervised institution has transferred to one or more third parties credit risk associated with the underlying exposures;
(3) Any clean-up calls relating to the securitization are eligible clean-up calls; and
(4) The securitization does not:
(i) Include one or more underlying exposures in which the borrower is permitted to vary the drawn amount within an agreed limit under a line of credit; and
(ii) Contain an early amortization provision.
(b) Operational criteria for synthetic securitizations. For synthetic securitizations, an FDIC-supervised institution may recognize for risk-based capital purposes under this subpart the use of a credit risk mitigant to hedge underlying exposures only if each of the conditions in this paragraph (b) is satisfied. An FDIC-supervised institution that meets these conditions must hold risk-based capital against any credit risk of the exposures it retains in connection with the synthetic securitization. An FDIC-supervised institution that fails to meet these conditions or chooses not to recognize the credit risk mitigant for purposes of this section must hold risk-based capital under this subpart against the underlying exposures as if they had not been synthetically securitized. The conditions are:
(1) The credit risk mitigant is:
(i) Financial collateral; or
(ii) A guarantee that meets all of the requirements of an eligible guarantee in § 324.2 except for paragraph (3) of the definition; or
(iii) A credit derivative that meets all of the requirements of an eligible credit derivative except for paragraph (3) of the definition of eligible guarantee in § 324.2.
(2) The FDIC-supervised institution transfers credit risk associated with the underlying exposures to third parties, and the terms and conditions in the credit risk mitigants employed do not include provisions that:
(i) Allow for the termination of the credit protection due to deterioration in the credit quality of the underlying exposures;
(ii) Require the FDIC-supervised institution to alter or replace the underlying exposures to improve the credit quality of the underlying exposures;
(iii) Increase the FDIC-supervised institution's cost of credit protection in response to deterioration in the credit quality of the underlying exposures;
(iv) Increase the yield payable to parties other than the FDIC-supervised institution in response to a deterioration in the credit quality of the underlying exposures; or
(v) Provide for increases in a retained first loss position or credit enhancement provided by the FDIC-supervised institution after the inception of the securitization;
(3) The FDIC-supervised institution obtains a well-reasoned opinion from legal counsel that confirms the enforceability of the credit risk mitigant in all relevant jurisdictions; and
(4) Any clean-up calls relating to the securitization are eligible clean-up calls.
(c) Due diligence requirements for securitization exposures.
(1) Except for exposures that are deducted from common equity tier 1 capital and exposures subject to § 324.142(k), if an FDIC-supervised institution is unable to demonstrate to the satisfaction of the FDIC a comprehensive understanding of the features of a securitization exposure that would materially affect the performance of the exposure, the FDIC-supervised institution must assign a 1,250 percent risk weight to the securitization exposure. The FDIC-supervised institution's analysis must be commensurate with the complexity of the securitization exposure and the materiality of the position in relation to regulatory capital according to this part.
(2) An FDIC-supervised institution must demonstrate its comprehensive understanding of a securitization exposure under paragraph (c)(1) of this section, for each securitization exposure by:
(i) Conducting an analysis of the risk characteristics of a securitization exposure prior to acquiring the exposure and document such analysis within three business days after acquiring the exposure, considering:
(A) Structural features of the securitization that would materially impact the performance of the exposure, for example, the contractual cash flow waterfall, waterfall-related triggers, credit enhancements, liquidity enhancements, fair value triggers, the performance of organizations that service the position, and deal-specific definitions of default;
(B) Relevant information regarding the performance of the underlying credit exposure(s), for example, the percentage of loans 30, 60, and 90 days past due; default rates; prepayment rates; loans in foreclosure; property types; occupancy; average credit score or other measures of creditworthiness; average loan-to-value ratio; and industry and geographic diversification data on the underlying exposure(s);
(C) Relevant market data of the securitization, for example, bid-ask spreads, most recent sales price and historical price volatility, trading volume, implied market rating, and size, depth and concentration level of the market for the securitization; and
(D) For resecuritization exposures, performance information on the underlying securitization exposures, for example, the issuer name and credit quality, and the characteristics and performance of the exposures underlying the securitization exposures; and
(ii) On an on-going basis (no less frequently than quarterly), evaluating, reviewing, and updating as appropriate the analysis required under this section for each securitization exposure.
(a) Hierarchy of approaches. Except as provided elsewhere in this section and in § 324.141:
(1) An FDIC-supervised institution must deduct from common equity tier 1 capital any after-tax gain-on-sale resulting from a securitization and must apply a 1,250 percent risk weight to the portion of any CEIO that does not constitute after tax gain-on-sale;
(2) If a securitization exposure does not require deduction or a 1,250 percent risk weight under paragraph (a)(1) of this section, the FDIC-supervised institution must apply the supervisory formula approach in § 324.143 to the exposure if the FDIC-supervised institution and the exposure qualify for the supervisory formula approach according to § 324.143(a);
(3) If a securitization exposure does not require deduction or a 1,250 percent risk weight under paragraph (a)(1) of this section and does not qualify for the supervisory formula approach, the FDIC-supervised institution may apply the simplified supervisory formula approach under § 324.144;
(4) If a securitization exposure does not require deduction or a 1,250 percent risk weight under paragraph (a)(1) of this section, does not qualify for the supervisory formula approach in § 324.143, and the FDIC-supervised institution does not apply the simplified supervisory formula approach in § 324.144, the FDIC-supervised institution must apply a 1,250 percent risk weight to the exposure; and
(5) If a securitization exposure is a derivative contract (other than protection provided by an FDIC-supervised institution in the form of a credit derivative) that has a first priority claim on the cash flows from the underlying exposures (notwithstanding amounts due under interest rate or currency derivative contracts, fees due, or other similar payments), an FDIC-supervised institution may choose to set the risk-weighted asset amount of the exposure equal to the amount of the exposure as determined in paragraph (e) of this section rather than apply the hierarchy of approaches described in paragraphs (a)(1) through (4) of this section.
(b) Total risk-weighted assets for securitization exposures. An FDIC-supervised institution's total risk-weighted assets for securitization exposures is equal to the sum of its risk-weighted assets calculated using §§ 324.141 through 146.
(c) Deductions. An FDIC-supervised institution may calculate any deduction from common equity tier 1 capital for a securitization exposure net of any DTLs associated with the securitization exposure.
(d) Maximum risk-based capital requirement. Except as provided in § 324.141(c), unless one or more underlying exposures does not meet the definition of a wholesale, retail, securitization, or equity exposure, the total risk-based capital requirement for all securitization exposures held by a single FDIC-supervised institution associated with a single securitization (excluding any risk-based capital requirements that relate to the FDIC-supervised institution's gain-on-sale or CEIOs associated with the securitization) may not exceed the sum of:
(1) The FDIC-supervised institution's total risk-based capital requirement for the underlying exposures calculated under this subpart as if the FDIC-supervised institution directly held the underlying exposures; and
(2) The total ECL of the underlying exposures calculated under this subpart.
(e) Exposure amount of a securitization exposure.
(1) The exposure amount of an on-balance sheet securitization exposure that is not a repo-style transaction, eligible margin loan, OTC derivative contract, or cleared transaction is the FDIC-supervised institution's carrying value.
(2) Except as provided in paragraph (m) of this section, the exposure amount of an off-balance sheet securitization exposure that is not an OTC derivative contract (other than a credit derivative), repo-style transaction, eligible margin loan, or cleared transaction (other than a credit derivative) is the notional amount of the exposure. For an off-balance-sheet securitization exposure to an ABCP program, such as an eligible ABCP liquidity facility, the notional amount may be reduced to the maximum potential amount that the FDIC-supervised institution could be required to fund given the ABCP program's current underlying assets (calculated without regard to the current credit quality of those assets).
(f) Overlapping exposures. If an FDIC-supervised institution has multiple securitization exposures that provide duplicative coverage of the underlying exposures of a securitization (such as when an FDIC-supervised institution provides a program-wide credit enhancement and multiple pool-specific liquidity facilities to an ABCP program), the FDIC-supervised institution is not required to hold duplicative risk-based capital against the overlapping position. Instead, the FDIC-supervised institution may assign to the overlapping securitization exposure the applicable risk-based capital treatment under this subpart that results in the highest risk-based capital requirement.
(g) Securitizations of non-IRB exposures. Except as provided in § 324.141(c), if an FDIC-supervised institution has a securitization exposure where any underlying exposure is not a wholesale exposure, retail exposure, securitization exposure, or equity exposure, the FDIC-supervised institution:
(1) Must deduct from common equity tier 1 capital any after-tax gain-on-sale resulting from the securitization and apply a 1,250 percent risk weight to the portion of any CEIO that does not constitute gain-on-sale, if the FDIC-supervised institution is an originating FDIC-supervised institution;
(2) May apply the simplified supervisory formula approach in § 324.144 to the exposure, if the securitization exposure does not require deduction or a 1,250 percent risk weight under paragraph (g)(1) of this section;
(3) Must assign a 1,250 percent risk weight to the exposure if the securitization exposure does not require deduction or a 1,250 percent risk weight under paragraph (g)(1) of this section, does not qualify for the supervisory formula approach in § 324.143, and the FDIC-supervised institution does not apply the simplified supervisory formula approach in § 324.144 to the exposure.
(h) Implicit support. If an FDIC-supervised institution provides support to a securitization in excess of the FDIC-supervised institution's contractual obligation to provide credit support to the securitization (implicit support):
(1) The FDIC-supervised institution must calculate a risk-weighted asset amount for underlying exposures associated with the securitization as if the exposures had not been securitized and must deduct from common equity tier 1 capital any after-tax gain-on-sale resulting from the securitization; and
(2) The FDIC-supervised institution must disclose publicly:
(i) That it has provided implicit support to the securitization; and
(ii) The regulatory capital impact to the FDIC-supervised institution of providing such implicit support.
(i) Undrawn portion of a servicer cash advance facility.
(1) Notwithstanding any other provision of this subpart, an FDIC-supervised institution that is a servicer under an eligible servicer cash advance facility is not required to hold risk-based capital against potential future cash advance payments that it may be required to provide under the contract governing the facility.
(2) For an FDIC-supervised institution that acts as a servicer, the exposure amount for a servicer cash advance facility that is not an eligible servicer cash advance facility is equal to the amount of all potential future cash advance payments that the FDIC-supervised institution may be contractually required to provide during the subsequent 12 month period under the contract governing the facility.
(j) Interest-only mortgage-backed securities. Regardless of any other provisions in this part, the risk weight for a non-credit-enhancing interest-only mortgage-backed security may not be less than 100 percent.
(k) Small-business loans and leases on personal property transferred with recourse.
(1) Notwithstanding any other provisions of this subpart E, an FDIC-supervised institution that has transferred small-business loans and leases on personal property (small-business obligations) with recourse must include in risk-weighted assets only the contractual amount of retained recourse if all the following conditions are met:
(i) The transaction is a sale under GAAP.
(ii) The FDIC-supervised institution establishes and maintains, pursuant to GAAP, a non-capital reserve sufficient to meet the FDIC-supervised institution's reasonably estimated liability under the recourse arrangement.
(iii) The loans and leases are to businesses that meet the criteria for a small-business concern established by the Small Business Administration under section 3(a) of the Small Business Act (15 U.S.C. 632 et seq.); and
(iv) The FDIC-supervised institution is well-capitalized, as defined in subpart H of this part. For purposes of determining whether an FDIC-supervised institution is well capitalized for purposes of this paragraph (k), the FDIC-supervised institution's capital ratios must be calculated without regard to the capital treatment for transfers of small-business obligations with recourse specified in paragraph (k)(1) of this section.
(2) The total outstanding amount of recourse retained by an FDIC-supervised institution on transfers of small-business obligations subject to paragraph (k)(1) of this section cannot exceed 15 percent of the FDIC-supervised institution's total capital.
(3) If an FDIC-supervised institution ceases to be well capitalized or exceeds the 15 percent capital limitation in paragraph (k)(2) of this section, the preferential capital treatment specified in paragraph (k)(1) of this section will continue to apply to any transfers of small-business obligations with recourse that occurred during the time that the FDIC-supervised institution was well capitalized and did not exceed the capital limit.
(4) The risk-based capital ratios of an FDIC-supervised institution must be calculated without regard to the capital treatment for transfers of small-business obligations with recourse specified in paragraph (k)(1) of this section.
(l) N th-to-default credit derivatives -
(1) Protection provider. An FDIC-supervised institution must determine a risk weight using the supervisory formula approach (SFA) pursuant to § 324.143 or the simplified supervisory formula approach (SSFA) pursuant to § 324.144 for an nth-to-default credit derivative in accordance with this paragraph (l). In the case of credit protection sold, an FDIC-supervised institution must determine its exposure in the nth-to-default credit derivative as the largest notional amount of all the underlying exposures.
(2) For purposes of determining the risk weight for an nth-to-default credit derivative using the SFA or the SSFA, the FDIC-supervised institution must calculate the attachment point and detachment point of its exposure as follows:
(i) The attachment point (parameter A) is the ratio of the sum of the notional amounts of all underlying exposures that are subordinated to the FDIC-supervised institution's exposure to the total notional amount of all underlying exposures. For purposes of the SSFA, parameter A is expressed as a decimal value between zero and one. For purposes of using the SFA to calculate the risk weight for its exposure in an nth-to-default credit derivative, parameter A must be set equal to the credit enhancement level (L) input to the SFA formula. In the case of a first-to-default credit derivative, there are no underlying exposures that are subordinated to the FDIC-supervised institution's exposure. In the case of a second-or-subsequent-to-default credit derivative, the smallest (n-1) risk-weighted asset amounts of the underlying exposure(s) are subordinated to the FDIC-supervised institution's exposure.
(ii) The detachment point (parameter D) equals the sum of parameter A plus the ratio of the notional amount of the FDIC-supervised institution's exposure in the nth-to-default credit derivative to the total notional amount of all underlying exposures. For purposes of the SSFA, parameter W is expressed as a decimal value between zero and one. For purposes of the SFA, parameter D must be set to equal L plus the thickness of tranche T input to the SFA formula.
(3) An FDIC-supervised institution that does not use the SFA or the SSFA to determine a risk weight for its exposure in an nth-to-default credit derivative must assign a risk weight of 1,250 percent to the exposure.
(4) Protection purchaser -
(i) First-to-default credit derivatives. An FDIC-supervised institution that obtains credit protection on a group of underlying exposures through a first-to-default credit derivative that meets the rules of recognition of § 324.134(b) must determine its risk-based capital requirement under this subpart for the underlying exposures as if the FDIC-supervised institution synthetically securitized the underlying exposure with the lowest risk-based capital requirement and had obtained no credit risk mitigant on the other underlying exposures. An FDIC-supervised institution must calculate a risk-based capital requirement for counterparty credit risk according to § 324.132 for a first-to-default credit derivative that does not meet the rules of recognition of § 324.134(b).
(ii) Second-or-subsequent-to-default credit derivatives.
(A) An FDIC-supervised institution that obtains credit protection on a group of underlying exposures through a nth-to-default credit derivative that meets the rules of recognition of § 324.134(b) (other than a first-to-default credit derivative) may recognize the credit risk mitigation benefits of the derivative only if:
(1) The FDIC-supervised institution also has obtained credit protection on the same underlying exposures in the form of first-through-(n-1)-to-default credit derivatives; or
(2) If n-1 of the underlying exposures have already defaulted.
(B) If an FDIC-supervised institution satisfies the requirements of paragraph (l)(3)(ii)(A) of this section, the FDIC-supervised institution must determine its risk-based capital requirement for the underlying exposures as if the bank had only synthetically securitized the underlying exposure with the nth smallest risk-based capital requirement and had obtained no credit risk mitigant on the other underlying exposures.
(C) An FDIC-supervised institution must calculate a risk-based capital requirement for counterparty credit risk according to § 324.132 for a nth-to-default credit derivative that does not meet the rules of recognition of § 324.134(b).
(m) Guarantees and credit derivatives other than n th-to-default credit derivatives -
(1) Protection provider. For a guarantee or credit derivative (other than an nth-to-default credit derivative) provided by an FDIC-supervised institution that covers the full amount or a pro rata share of a securitization exposure's principal and interest, the FDIC-supervised institution must risk weight the guarantee or credit derivative as if it holds the portion of the reference exposure covered by the guarantee or credit derivative.
(2) Protection purchaser.
(i) An FDIC-supervised institution that purchases an OTC credit derivative (other than an nth-to-default credit derivative) that is recognized under § 324.145 as a credit risk mitigant (including via recognized collateral) is not required to compute a separate counterparty credit risk capital requirement under § 324.131 in accordance with § 324.132(c)(3).
(ii) If an FDIC-supervised institution cannot, or chooses not to, recognize a purchased credit derivative as a credit risk mitigant under § 324.145, the FDIC-supervised institution must determine the exposure amount of the credit derivative under § 324.132(c).
(A) If the FDIC-supervised institution purchases credit protection from a counterparty that is not a securitization SPE, the FDIC-supervised institution must determine the risk weight for the exposure according to § 324.131.
(B) If the FDIC-supervised institution purchases the credit protection from a counterparty that is a securitization SPE, the FDIC-supervised institution must determine the risk weight for the exposure according to this section, including paragraph (a)(5) of this section for a credit derivative that has a first priority claim on the cash flows from the underlying exposures of the securitization SPE (notwithstanding amounts due under interest rate or currency derivative contracts, fees due, or other similar payments).
[78 FR 55471, Sept. 10, 2013, as amended at 79 FR 20761, Apr. 14, 2014]
(a) Eligibility requirements. An FDIC-supervised institution must use the SFA to determine its risk-weighted asset amount for a securitization exposure if the FDIC-supervised institution can calculate on an ongoing basis each of the SFA parameters in paragraph (e) of this section.
(b) Mechanics. The risk-weighted asset amount for a securitization exposure equals its SFA risk-based capital requirement as calculated under paragraph (c) and (d) of this section, multiplied by 12.5.
(c) The SFA risk-based capital requirement.
(1) If KIRB is greater than or equal to L + T, an exposure's SFA risk-based capital requirement equals the exposure amount.
(2) If KIRB is less than or equal to L, an exposure's SFA risk-based capital requirement is UE multiplied by TP multiplied by the greater of:
(i) F · T (where F is 0.016 for all securitization exposures); or
(ii) S[L + T] − S[L].
(3) If KIRB is greater than L and less than L + T, the FDIC-supervised institution must apply a 1,250 percent risk weight to an amount equal to UE · TP · (KIRB − L), and the exposure's SFA risk-based capital requirement is UE multiplied by TP multiplied by the greater of:
(i) F · (T − (KIRB − L)) (where F is 0.016 for all other securitization exposures); or
(ii) S[L + T] − S[KIRB].
(d) The supervisory formula:
(e) SFA parameters. For purposes of the calculations in paragraphs (c) and (d) of this section:
(1) Amount of the underlying exposures (UE). UE is the EAD of any underlying exposures that are wholesale and retail exposures (including the amount of any funded spread accounts, cash collateral accounts, and other similar funded credit enhancements) plus the amount of any underlying exposures that are securitization exposures (as defined in § 324.142(e)) plus the adjusted carrying value of any underlying exposures that are equity exposures (as defined in § 324.151(b)).
(2) Tranche percentage (TP ). TP is the ratio of the amount of the FDIC-supervised institution's securitization exposure to the amount of the tranche that contains the securitization exposure.
(3) Capital requirement on underlying exposures (KIRB) .
(i) KIRB is the ratio of:
(A) The sum of the risk-based capital requirements for the underlying exposures plus the expected credit losses of the underlying exposures (as determined under this subpart E as if the underlying exposures were directly held by the FDIC-supervised institution); to
(B) UE.
(ii) The calculation of KIRB must reflect the effects of any credit risk mitigant applied to the underlying exposures (either to an individual underlying exposure, to a group of underlying exposures, or to all of the underlying exposures).
(iii) All assets related to the securitization are treated as underlying exposures, including assets in a reserve account (such as a cash collateral account).
(4) Credit enhancement level (L).
(i) L is the ratio of:
(A) The amount of all securitization exposures subordinated to the tranche that contains the FDIC-supervised institution's securitization exposure; to
(B) UE.
(ii) An FDIC-supervised institution must determine L before considering the effects of any tranche-specific credit enhancements.
(iii) Any gain-on-sale or CEIO associated with the securitization may not be included in L.
(iv) Any reserve account funded by accumulated cash flows from the underlying exposures that is subordinated to the tranche that contains the FDIC-supervised institution's securitization exposure may be included in the numerator and denominator of L to the extent cash has accumulated in the account. Unfunded reserve accounts (that is, reserve accounts that are to be funded from future cash flows from the underlying exposures) may not be included in the calculation of L.
(v) In some cases, the purchase price of receivables will reflect a discount that provides credit enhancement (for example, first loss protection) for all or certain tranches of the securitization. When this arises, L should be calculated inclusive of this discount if the discount provides credit enhancement for the securitization exposure.
(5) Thickness of tranche (T). T is the ratio of:
(i) The amount of the tranche that contains the FDIC-supervised institution's securitization exposure; to
(ii) UE.
(6) Effective number of exposures (N).
(i) Unless the FDIC-supervised institution elects to use the formula provided in paragraph (f) of this section,

where EADi represents the EAD associated with the ith instrument in the underlying exposures.
(ii) Multiple exposures to one obligor must be treated as a single underlying exposure.
(iii) In the case of a resecuritization, the FDIC-supervised institution must treat each underlying exposure as a single underlying exposure and must not look through to the originally securitized underlying exposures.
(7) Exposure-weighted average loss given default (EWALGD). EWALGD is calculated as:

where LGDi represents the average LGD associated with all exposures to the ith obligor. In the case of a resecuritization, an LGD of 100 percent must be assumed for the underlying exposures that are themselves securitization exposures.
(f) Simplified method for computing N and EWALGD.
(1) If all underlying exposures of a securitization are retail exposures, an FDIC-supervised institution may apply the SFA using the following simplifications:
(i) h = 0; and
(ii) v = 0.
(2) Under the conditions in §§ 324.143(f)(3) and (f)(4), an FDIC-supervised institution may employ a simplified method for calculating N and EWALGD.
(3) If C1 is no more than 0.03, an FDIC-supervised institution may set EWALGD = 0.50 if none of the underlying exposures is a securitization exposure, or may set EWALGD = 1 if one or more of the underlying exposures is a securitization exposure, and may set N equal to the following amount:

where:
(i) Cm is the ratio of the sum of the amounts of the `m' largest underlying exposures to UE; and
(ii) The level of m is to be selected by the FDIC-supervised institution.
(4) Alternatively, if only C1 is available and C1 is no more than 0.03, the FDIC-supervised institution may set EWALGD = 0.50 if none of the underlying exposures is a securitization exposure, or may set EWALGD = 1 if one or more of the underlying exposures is a securitization exposure and may set N = 1/C1.
(a) General requirements for the SSFA. To use the SSFA to determine the risk weight for a securitization exposure, an FDIC-supervised institution must have data that enables it to assign accurately the parameters described in paragraph (b) of this section. Data used to assign the parameters described in paragraph (b) of this section must be the most currently available data; if the contracts governing the underlying exposures of the securitization require payments on a monthly or quarterly basis, the data used to assign the parameters described in paragraph (b) of this section must be no more than 91 calendar days old. An FDIC-supervised institution that does not have the appropriate data to assign the parameters described in paragraph (b) of this section must assign a risk weight of 1,250 percent to the exposure.
(b) SSFA parameters. To calculate the risk weight for a securitization exposure using the SSFA, an FDIC-supervised institution must have accurate information on the following five inputs to the SSFA calculation:
(1) KG is the weighted-average (with unpaid principal used as the weight for each exposure) total capital requirement of the underlying exposures calculated using subpart D of this part. KG is expressed as a decimal value between zero and one (that is, an average risk weight of 100 percent represents a value of KG equal to 0.08).
(2) Parameter W is expressed as a decimal value between zero and one. Parameter W is the ratio of the sum of the dollar amounts of any underlying exposures of the securitization that meet any of the criteria as set forth in paragraphs (b)(2)(i) through (vi) of this section to the balance, measured in dollars, of underlying exposures:
(i) Ninety days or more past due;
(ii) Subject to a bankruptcy or insolvency proceeding;
(iii) In the process of foreclosure;
(iv) Held as real estate owned;
(v) Has contractually deferred payments for 90 days or more, other than principal or interest payments deferred on:
(A) Federally-guaranteed student loans, in accordance with the terms of those guarantee programs; or
(B) Consumer loans, including non-federally-guaranteed student loans, provided that such payments are deferred pursuant to provisions included in the contract at the time funds are disbursed that provide for period(s) of deferral that are not initiated based on changes in the creditworthiness of the borrower; or
(vi) Is in default.
(3) Parameter A is the attachment point for the exposure, which represents the threshold at which credit losses will first be allocated to the exposure. Except as provided in § 324.142(l) for nth-to-default credit derivatives, parameter A equals the ratio of the current dollar amount of underlying exposures that are subordinated to the exposure of the FDIC-supervised institution to the current dollar amount of underlying exposures. Any reserve account funded by the accumulated cash flows from the underlying exposures that is subordinated to the FDIC-supervised institution's securitization exposure may be included in the calculation of parameter A to the extent that cash is present in the account. Parameter A is expressed as a decimal value between zero and one.
(4) Parameter D is the detachment point for the exposure, which represents the threshold at which credit losses of principal allocated to the exposure would result in a total loss of principal. Except as provided in § 324.142(l) for nth-to-default credit derivatives, parameter D equals parameter A plus the ratio of the current dollar amount of the securitization exposures that are pari passu with the exposure (that is, have equal seniority with respect to credit risk) to the current dollar amount of the underlying exposures. Parameter D is expressed as a decimal value between zero and one.
(5) A supervisory calibration parameter, p, is equal to 0.5 for securitization exposures that are not resecuritization exposures and equal to 1.5 for resecuritization exposures.
(c) Mechanics of the SSFA. KG and W are used to calculate KA, the augmented value of KG, which reflects the observed credit quality of the underlying exposures. KA is defined in paragraph (d) of this section. The values of parameters A and D, relative to KA determine the risk weight assigned to a securitization exposure as described in paragraph (d) of this section. The risk weight assigned to a securitization exposure, or portion of a securitization exposure, as appropriate, is the larger of the risk weight determined in accordance with this paragraph (c), paragraph (d) of this section, and a risk weight of 20 percent.
(1) When the detachment point, parameter D, for a securitization exposure is less than or equal to KA, the exposure must be assigned a risk weight of 1,250 percent;
(2) When the attachment point, parameter A, for a securitization exposure is greater than or equal to KA, the FDIC-supervised institution must calculate the risk weight in accordance with paragraph (d) of this section;
(3) When A is less than KA and D is greater than KA, the risk weight is a weighted-average of 1,250 percent and 1,250 percent times KSSFA calculated in accordance with paragraph (d) of this section. For the purpose of this weighted-average calculation:
[78 FR 55471, Sept. 10, 2013, as amended at 79 FR 20761, Apr. 14, 2014]
(a) General. An originating FDIC-supervised institution that has obtained a credit risk mitigant to hedge its securitization exposure to a synthetic or traditional securitization that satisfies the operational criteria in § 324.141 may recognize the credit risk mitigant, but only as provided in this section. An investing FDIC-supervised institution that has obtained a credit risk mitigant to hedge a securitization exposure may recognize the credit risk mitigant, but only as provided in this section.
(b) Collateral -
(1) Rules of recognition. An FDIC-supervised institution may recognize financial collateral in determining the FDIC-supervised institution's risk-weighted asset amount for a securitization exposure (other than a repo-style transaction, an eligible margin loan, or an OTC derivative contract for which the FDIC-supervised institution has reflected collateral in its determination of exposure amount under § 324.132) as follows. The FDIC-supervised institution's risk-weighted asset amount for the collateralized securitization exposure is equal to the risk-weighted asset amount for the securitization exposure as calculated under the SSFA in § 324.144 or under the SFA in § 324.143 multiplied by the ratio of adjusted exposure amount (SE*) to original exposure amount (SE), where:
(i) SE* equals max {0, [SE − C × (1− Hs − Hfx)]};
(ii) SE equals the amount of the securitization exposure calculated under § 324.142(e);
(iii) C equals the current fair value of the collateral;
(iv) Hs equals the haircut appropriate to the collateral type; and
(3) Standard supervisory haircuts. Unless an FDIC-supervised institution qualifies for use of and uses own-estimates haircuts in paragraph (b)(4) of this section:
(i) An FDIC-supervised institution must use the collateral type haircuts (Hs) in Table 1 to § 324.132 of this subpart;
(ii) An FDIC-supervised institution must use a currency mismatch haircut (Hfx) of 8 percent if the exposure and the collateral are denominated in different currencies;
(iii) An FDIC-supervised institution must multiply the supervisory haircuts obtained in paragraphs (b)(3)(i) and (ii) of this section by the square root of 6.5 (which equals 2.549510); and
(iv) An FDIC-supervised institution must adjust the supervisory haircuts upward on the basis of a holding period longer than 65 business days where and as appropriate to take into account the illiquidity of the collateral.
(4) Own estimates for haircuts. With the prior written approval of the FDIC, an FDIC-supervised institution may calculate haircuts using its own internal estimates of market price volatility and foreign exchange volatility, subject to § 324.132(b)(2)(iii). The minimum holding period (TM) for securitization exposures is 65 business days.
(c) Guarantees and credit derivatives -
(1) Limitations on recognition. An FDIC-supervised institution may only recognize an eligible guarantee or eligible credit derivative provided by an eligible guarantor in determining the FDIC-supervised institution's risk-weighted asset amount for a securitization exposure.
(2) ECL for securitization exposures. When an FDIC-supervised institution recognizes an eligible guarantee or eligible credit derivative provided by an eligible guarantor in determining the FDIC-supervised institution's risk-weighted asset amount for a securitization exposure, the FDIC-supervised institution must also:
(i) Calculate ECL for the protected portion of the exposure using the same risk parameters that it uses for calculating the risk-weighted asset amount of the exposure as described in paragraph (c)(3) of this section; and
(ii) Add the exposure's ECL to the FDIC-supervised institution's total ECL.
(3) Rules of recognition. An FDIC-supervised institution may recognize an eligible guarantee or eligible credit derivative provided by an eligible guarantor in determining the FDIC-supervised institution's risk-weighted asset amount for the securitization exposure as follows:
(i) Full coverage. If the protection amount of the eligible guarantee or eligible credit derivative equals or exceeds the amount of the securitization exposure, the FDIC-supervised institution may set the risk-weighted asset amount for the securitization exposure equal to the risk-weighted asset amount for a direct exposure to the eligible guarantor (as determined in the wholesale risk weight function described in § 324.131), using the FDIC-supervised institution's PD for the guarantor, the FDIC-supervised institution's LGD for the guarantee or credit derivative, and an EAD equal to the amount of the securitization exposure (as determined in § 324.142(e)).
(ii) Partial coverage. If the protection amount of the eligible guarantee or eligible credit derivative is less than the amount of the securitization exposure, the FDIC-supervised institution may set the risk-weighted asset amount for the securitization exposure equal to the sum of:
(A) Covered portion. The risk-weighted asset amount for a direct exposure to the eligible guarantor (as determined in the wholesale risk weight function described in § 324.131), using the FDIC-supervised institution's PD for the guarantor, the FDIC-supervised institution's LGD for the guarantee or credit derivative, and an EAD equal to the protection amount of the credit risk mitigant; and
(B) Uncovered portion. (1) 1.0 minus the ratio of the protection amount of the eligible guarantee or eligible credit derivative to the amount of the securitization exposure); multiplied by
(2) The risk-weighted asset amount for the securitization exposure without the credit risk mitigant (as determined in §§ 324.142 through 324.146).
(4) Mismatches. The FDIC-supervised institution must make applicable adjustments to the protection amount as required in § 324.134(d), (e), and (f) for any hedged securitization exposure and any more senior securitization exposure that benefits from the hedge. In the context of a synthetic securitization, when an eligible guarantee or eligible credit derivative covers multiple hedged exposures that have different residual maturities, the FDIC-supervised institution must use the longest residual maturity of any of the hedged exposures as the residual maturity of all the hedged exposures.
(a) General.
(1) To calculate its risk-weighted asset amounts for equity exposures that are not equity exposures to investment funds, an FDIC-supervised institution may apply either the Simple Risk Weight Approach (SRWA) in § 324.152 or, if it qualifies to do so, the Internal Models Approach (IMA) in § 324.153. An FDIC-supervised institution must use the look-through approaches provided in § 324.154 to calculate its risk-weighted asset amounts for equity exposures to investment funds.
(2) An FDIC-supervised institution must treat an investment in a separate account (as defined in § 324.2), as if it were an equity exposure to an investment fund as provided in § 324.154.
(3) Stable value protection.
(i) Stable value protection means a contract where the provider of the contract is obligated to pay:
(A) The policy owner of a separate account an amount equal to the shortfall between the fair value and cost basis of the separate account when the policy owner of the separate account surrenders the policy, or
(B) The beneficiary of the contract an amount equal to the shortfall between the fair value and book value of a specified portfolio of assets.
(ii) An FDIC-supervised institution that purchases stable value protection on its investment in a separate account must treat the portion of the carrying value of its investment in the separate account attributable to the stable value protection as an exposure to the provider of the protection and the remaining portion of the carrying value of its separate account as an equity exposure to an investment fund.
(iii) An FDIC-supervised institution that provides stable value protection must treat the exposure as an equity derivative with an adjusted carrying value determined as the sum of § 324.151(b)(1) and (2).
(b) Adjusted carrying value. For purposes of this subpart, the adjusted carrying value of an equity exposure is:
(1) For the on-balance sheet component of an equity exposure, the FDIC-supervised institution's carrying value of the exposure;
(2) For the off-balance sheet component of an equity exposure, the effective notional principal amount of the exposure, the size of which is equivalent to a hypothetical on-balance sheet position in the underlying equity instrument that would evidence the same change in fair value (measured in dollars) for a given small change in the price of the underlying equity instrument, minus the adjusted carrying value of the on-balance sheet component of the exposure as calculated in paragraph (b)(1) of this section.
(3) For unfunded equity commitments that are unconditional, the effective notional principal amount is the notional amount of the commitment. For unfunded equity commitments that are conditional, the effective notional principal amount is the FDIC-supervised institution's best estimate of the amount that would be funded under economic downturn conditions.
(a) General. Under the SRWA, an FDIC-supervised institution's aggregate risk-weighted asset amount for its equity exposures is equal to the sum of the risk-weighted asset amounts for each of the FDIC-supervised institution's individual equity exposures (other than equity exposures to an investment fund) as determined in this section and the risk-weighted asset amounts for each of the FDIC-supervised institution's individual equity exposures to an investment fund as determined in § 324.154.
(b) SRWA computation for individual equity exposures. An FDIC-supervised institution must determine the risk-weighted asset amount for an individual equity exposure (other than an equity exposure to an investment fund) by multiplying the adjusted carrying value of the equity exposure or the effective portion and ineffective portion of a hedge pair (as defined in paragraph (c) of this section) by the lowest applicable risk weight in this section.
(1) Zero percent risk weight equity exposures. An equity exposure to an entity whose credit exposures are exempt from the 0.03 percent PD floor in § 324.131(d)(2) is assigned a zero percent risk weight.
(2) 20 percent risk weight equity exposures. An equity exposure to a Federal Home Loan Bank or the Federal Agricultural Mortgage Corporation (Farmer Mac) is assigned a 20 percent risk weight.
(3) 100 percent risk weight equity exposures. The following equity exposures are assigned a 100 percent risk weight:
(i) Community development equity exposures. An equity exposure that qualifies as a community development investment under section 24 (Eleventh) of the National Bank Act, excluding equity exposures to an unconsolidated small business investment company and equity exposures held through a consolidated small business investment company described in section 302 of the Small Business Investment Act.
(ii) Effective portion of hedge pairs. The effective portion of a hedge pair.
(iii) Non-significant equity exposures. Equity exposures, excluding significant investments in the capital of an unconsolidated institution in the form of common stock and exposures to an investment firm that would meet the definition of a traditional securitization were it not for the FDIC's application of paragraph (8) of that definition in § 324.2 and has greater than immaterial leverage, to the extent that the aggregate adjusted carrying value of the exposures does not exceed 10 percent of the FDIC-supervised institution's total capital.
(A) To compute the aggregate adjusted carrying value of an FDIC-supervised institution's equity exposures for purposes of this section, the FDIC-supervised institution may exclude equity exposures described in paragraphs (b)(1), (b)(2), (b)(3)(i), and (b)(3)(ii) of this section, the equity exposure in a hedge pair with the smaller adjusted carrying value, and a proportion of each equity exposure to an investment fund equal to the proportion of the assets of the investment fund that are not equity exposures or that meet the criterion of paragraph (b)(3)(i) of this section. If an FDIC-supervised institution does not know the actual holdings of the investment fund, the FDIC-supervised institution may calculate the proportion of the assets of the fund that are not equity exposures based on the terms of the prospectus, partnership agreement, or similar contract that defines the fund's permissible investments. If the sum of the investment limits for all exposure classes within the fund exceeds 100 percent, the FDIC-supervised institution must assume for purposes of this section that the investment fund invests to the maximum extent possible in equity exposures.
(B) When determining which of an FDIC-supervised institution's equity exposures qualifies for a 100 percent risk weight under this section, an FDIC-supervised institution first must include equity exposures to unconsolidated small business investment companies or held through consolidated small business investment companies described in section 302 of the Small Business Investment Act, then must include publicly traded equity exposures (including those held indirectly through investment funds), and then must include non-publicly traded equity exposures (including those held indirectly through investment funds).
(4) 250 percent risk weight equity exposures. Significant investments in the capital of unconsolidated financial institutions in the form of common stock that are not deducted from capital pursuant to § 324.22(b)(4) are assigned a 250 percent risk weight.
(5) 300 percent risk weight equity exposures. A publicly traded equity exposure (other than an equity exposure described in paragraph (b)(7) of this section and including the ineffective portion of a hedge pair) is assigned a 300 percent risk weight.
(6) 400 percent risk weight equity exposures. An equity exposure (other than an equity exposure described in paragraph (b)(7) of this section) that is not publicly traded is assigned a 400 percent risk weight.
(7) 600 percent risk weight equity exposures. An equity exposure to an investment firm that:
(i) Would meet the definition of a traditional securitization were it not for the FDIC's application of paragraph (8) of that definition in § 324.2; and
(ii) Has greater than immaterial leverage is assigned a 600 percent risk weight.
(c) Hedge transactions -
(1) Hedge pair. A hedge pair is two equity exposures that form an effective hedge so long as each equity exposure is publicly traded or has a return that is primarily based on a publicly traded equity exposure.
(2) Effective hedge. Two equity exposures form an effective hedge if the exposures either have the same remaining maturity or each has a remaining maturity of at least three months; the hedge relationship is formally documented in a prospective manner (that is, before the FDIC-supervised institution acquires at least one of the equity exposures); the documentation specifies the measure of effectiveness (E) the FDIC-supervised institution will use for the hedge relationship throughout the life of the transaction; and the hedge relationship has an E greater than or equal to 0.8. An FDIC-supervised institution must measure E at least quarterly and must use one of three alternative measures of E:
(i) Under the dollar-offset method of measuring effectiveness, the FDIC-supervised institution must determine the ratio of value change (RVC). The RVC is the ratio of the cumulative sum of the periodic changes in value of one equity exposure to the cumulative sum of the periodic changes in the value of the other equity exposure. If RVC is positive, the hedge is not effective and E equals zero. If RVC is negative and greater than or equal to −1 (that is, between zero and −1), then E equals the absolute value of RVC. If RVC is negative and less than −1, then E equals 2 plus RVC.
(iii) Under the regression method of measuring effectiveness, E equals the coefficient of determination of a regression in which the change in value of one exposure in a hedge pair is the dependent variable and the change in value of the other exposure in a hedge pair is the independent variable. However, if the estimated regression coefficient is positive, then the value of E is zero.
(3) The effective portion of a hedge pair is E multiplied by the greater of the adjusted carrying values of the equity exposures forming a hedge pair.
(4) The ineffective portion of a hedge pair is (1-E) multiplied by the greater of the adjusted carrying values of the equity exposures forming a hedge pair.
[78 FR 55471, Sept. 10, 2013, as amended at 84 FR 35280, July 22, 2019]
(a) General. An FDIC-supervised institution may calculate its risk-weighted asset amount for equity exposures using the IMA by modeling publicly traded and non-publicly traded equity exposures (in accordance with paragraph (c) of this section) or by modeling only publicly traded equity exposures (in accordance with paragraphs (c) and (d) of this section).
(b) Qualifying criteria. To qualify to use the IMA to calculate risk-weighted assets for equity exposures, an FDIC-supervised institution must receive prior written approval from the FDIC. To receive such approval, the FDIC-supervised institution must demonstrate to the FDIC's satisfaction that the FDIC-supervised institution meets the following criteria:
(1) The FDIC-supervised institution must have one or more models that:
(i) Assess the potential decline in value of its modeled equity exposures;
(ii) Are commensurate with the size, complexity, and composition of the FDIC-supervised institution's modeled equity exposures; and
(iii) Adequately capture both general market risk and idiosyncratic risk.
(2) The FDIC-supervised institution's model must produce an estimate of potential losses for its modeled equity exposures that is no less than the estimate of potential losses produced by a VaR methodology employing a 99th percentile one-tailed confidence interval of the distribution of quarterly returns for a benchmark portfolio of equity exposures comparable to the FDIC-supervised institution's modeled equity exposures using a long-term sample period.
(3) The number of risk factors and exposures in the sample and the data period used for quantification in the FDIC-supervised institution's model and benchmarking exercise must be sufficient to provide confidence in the accuracy and robustness of the FDIC-supervised institution's estimates.
(4) The FDIC-supervised institution's model and benchmarking process must incorporate data that are relevant in representing the risk profile of the FDIC-supervised institution's modeled equity exposures, and must include data from at least one equity market cycle containing adverse market movements relevant to the risk profile of the FDIC-supervised institution's modeled equity exposures. In addition, the FDIC-supervised institution's benchmarking exercise must be based on daily market prices for the benchmark portfolio. If the FDIC-supervised institution's model uses a scenario methodology, the FDIC-supervised institution must demonstrate that the model produces a conservative estimate of potential losses on the FDIC-supervised institution's modeled equity exposures over a relevant long-term market cycle. If the FDIC-supervised institution employs risk factor models, the FDIC-supervised institution must demonstrate through empirical analysis the appropriateness of the risk factors used.
(5) The FDIC-supervised institution must be able to demonstrate, using theoretical arguments and empirical evidence, that any proxies used in the modeling process are comparable to the FDIC-supervised institution's modeled equity exposures and that the FDIC-supervised institution has made appropriate adjustments for differences. The FDIC-supervised institution must derive any proxies for its modeled equity exposures and benchmark portfolio using historical market data that are relevant to the FDIC-supervised institution's modeled equity exposures and benchmark portfolio (or, where not, must use appropriately adjusted data), and such proxies must be robust estimates of the risk of the FDIC-supervised institution's modeled equity exposures.
(c) Risk-weighted assets calculation for an FDIC-supervised institution using the IMA for publicly traded and non-publicly traded equity exposures. If an FDIC-supervised institution models publicly traded and non-publicly traded equity exposures, the FDIC-supervised institution's aggregate risk-weighted asset amount for its equity exposures is equal to the sum of:
(1) The risk-weighted asset amount of each equity exposure that qualifies for a 0 percent, 20 percent, or 100 percent risk weight under § 324.152(b)(1) through (b)(3)(i) (as determined under § 324.152) and each equity exposure to an investment fund (as determined under § 324.154); and
(2) The greater of:
(i) The estimate of potential losses on the FDIC-supervised institution's equity exposures (other than equity exposures referenced in paragraph (c)(1) of this section) generated by the FDIC-supervised institution's internal equity exposure model multiplied by 12.5; or
(ii) The sum of:
(A) 200 percent multiplied by the aggregate adjusted carrying value of the FDIC-supervised institution's publicly traded equity exposures that do not belong to a hedge pair, do not qualify for a 0 percent, 20 percent, or 100 percent risk weight under § 324.152(b)(1) through (b)(3)(i), and are not equity exposures to an investment fund;
(B) 200 percent multiplied by the aggregate ineffective portion of all hedge pairs; and
(C) 300 percent multiplied by the aggregate adjusted carrying value of the FDIC-supervised institution's equity exposures that are not publicly traded, do not qualify for a 0 percent, 20 percent, or 100 percent risk weight under § 324.152(b)(1) through (b)(3)(i), and are not equity exposures to an investment fund.
(d) Risk-weighted assets calculation for an FDIC-supervised institution using the IMA only for publicly traded equity exposures. If an FDIC-supervised institution models only publicly traded equity exposures, the FDIC-supervised institution's aggregate risk-weighted asset amount for its equity exposures is equal to the sum of:
(1) The risk-weighted asset amount of each equity exposure that qualifies for a 0 percent, 20 percent, or 100 percent risk weight under §§ 324.152(b)(1) through (b)(3)(i) (as determined under § 324.152), each equity exposure that qualifies for a 400 percent risk weight under § 324.152(b)(5) or a 600 percent risk weight under § 324.152(b)(6) (as determined under § 324.152), and each equity exposure to an investment fund (as determined under § 324.154); and
(2) The greater of:
(i) The estimate of potential losses on the FDIC-supervised institution's equity exposures (other than equity exposures referenced in paragraph (d)(1) of this section) generated by the FDIC-supervised institution's internal equity exposure model multiplied by 12.5; or
(ii) The sum of:
(A) 200 percent multiplied by the aggregate adjusted carrying value of the FDIC-supervised institution's publicly traded equity exposures that do not belong to a hedge pair, do not qualify for a 0 percent, 20 percent, or 100 percent risk weight under § 324.152(b)(1) through (b)(3)(i), and are not equity exposures to an investment fund; and
(B) 200 percent multiplied by the aggregate ineffective portion of all hedge pairs.
(a) Available approaches.
(1) Unless the exposure meets the requirements for a community development equity exposure in § 324.152(b)(3)(i), an FDIC-supervised institution must determine the risk-weighted asset amount of an equity exposure to an investment fund under the full look-through approach in paragraph (b) of this section, the simple modified look-through approach in paragraph (c) of this section, or the alternative modified look-through approach in paragraph (d) of this section.
(2) The risk-weighted asset amount of an equity exposure to an investment fund that meets the requirements for a community development equity exposure in § 324.152(b)(3)(i) is its adjusted carrying value.
(3) If an equity exposure to an investment fund is part of a hedge pair and the FDIC-supervised institution does not use the full look-through approach, the FDIC-supervised institution may use the ineffective portion of the hedge pair as determined under § 324.152(c) as the adjusted carrying value for the equity exposure to the investment fund. The risk-weighted asset amount of the effective portion of the hedge pair is equal to its adjusted carrying value.
(b) Full look-through approach. An FDIC-supervised institution that is able to calculate a risk-weighted asset amount for its proportional ownership share of each exposure held by the investment fund (as calculated under this subpart E of this part as if the proportional ownership share of each exposure were held directly by the FDIC-supervised institution) may either:
(1) Set the risk-weighted asset amount of the FDIC-supervised institution's exposure to the fund equal to the product of:
(i) The aggregate risk-weighted asset amounts of the exposures held by the fund as if they were held directly by the FDIC-supervised institution; and
(ii) The FDIC-supervised institution's proportional ownership share of the fund; or
(2) Include the FDIC-supervised institution's proportional ownership share of each exposure held by the fund in the FDIC-supervised institution's IMA.
(c) Simple modified look-through approach. Under this approach, the risk-weighted asset amount for an FDIC-supervised institution's equity exposure to an investment fund equals the adjusted carrying value of the equity exposure multiplied by the highest risk weight assigned according to subpart D of this part that applies to any exposure the fund is permitted to hold under its prospectus, partnership agreement, or similar contract that defines the fund's permissible investments (excluding derivative contracts that are used for hedging rather than speculative purposes and that do not constitute a material portion of the fund's exposures).
(d) Alternative modified look-through approach. Under this approach, an FDIC-supervised institution may assign the adjusted carrying value of an equity exposure to an investment fund on a pro rata basis to different risk weight categories assigned according to subpart D of this part based on the investment limits in the fund's prospectus, partnership agreement, or similar contract that defines the fund's permissible investments. The risk-weighted asset amount for the FDIC-supervised institution's equity exposure to the investment fund equals the sum of each portion of the adjusted carrying value assigned to an exposure class multiplied by the applicable risk weight. If the sum of the investment limits for all exposure types within the fund exceeds 100 percent, the FDIC-supervised institution must assume that the fund invests to the maximum extent permitted under its investment limits in the exposure type with the highest risk weight under subpart D of this part, and continues to make investments in order of the exposure type with the next highest risk weight under subpart D of this part until the maximum total investment level is reached. If more than one exposure type applies to an exposure, the FDIC-supervised institution must use the highest applicable risk weight. An FDIC-supervised institution may exclude derivative contracts held by the fund that are used for hedging rather than for speculative purposes and do not constitute a material portion of the fund's exposures.
(a) Under the IMA, in addition to holding risk-based capital against an equity derivative contract under this part, an FDIC-supervised institution must hold risk-based capital against the counterparty credit risk in the equity derivative contract by also treating the equity derivative contract as a wholesale exposure and computing a supplemental risk-weighted asset amount for the contract under § 324.132.
(b) Under the SRWA, an FDIC-supervised institution may choose not to hold risk-based capital against the counterparty credit risk of equity derivative contracts, as long as it does so for all such contracts. Where the equity derivative contracts are subject to a qualified master netting agreement, an FDIC-supervised institution using the SRWA must either include all or exclude all of the contracts from any measure used to determine counterparty credit risk exposure.
(a) Qualification to use operational risk mitigants. An FDIC-supervised institution may adjust its estimate of operational risk exposure to reflect qualifying operational risk mitigants if:
(1) The FDIC-supervised institution's operational risk quantification system is able to generate an estimate of the FDIC-supervised institution's operational risk exposure (which does not incorporate qualifying operational risk mitigants) and an estimate of the FDIC-supervised institution's operational risk exposure adjusted to incorporate qualifying operational risk mitigants; and
(2) The FDIC-supervised institution's methodology for incorporating the effects of insurance, if the FDIC-supervised institution uses insurance as an operational risk mitigant, captures through appropriate discounts to the amount of risk mitigation:
(i) The residual term of the policy, where less than one year;
(ii) The cancellation terms of the policy, where less than one year;
(iii) The policy's timeliness of payment;
(iv) The uncertainty of payment by the provider of the policy; and
(v) Mismatches in coverage between the policy and the hedged operational loss event.
(b) Qualifying operational risk mitigants. Qualifying operational risk mitigants are:
(1) Insurance that:
(i) Is provided by an unaffiliated company that the FDIC-supervised institution deems to have strong capacity to meet its claims payment obligations and the obligor rating category to which the FDIC-supervised institution assigns the company is assigned a PD equal to or less than 10 basis points;
(ii) Has an initial term of at least one year and a residual term of more than 90 days;
(iii) Has a minimum notice period for cancellation by the provider of 90 days;
(iv) Has no exclusions or limitations based upon regulatory action or for the receiver or liquidator of a failed depository institution; and
(v) Is explicitly mapped to a potential operational loss event;
(2) Operational risk mitigants other than insurance for which the FDIC has given prior written approval. In evaluating an operational risk mitigant other than insurance, the FDIC will consider whether the operational risk mitigant covers potential operational losses in a manner equivalent to holding total capital.
(a) If an FDIC-supervised institution does not qualify to use or does not have qualifying operational risk mitigants, the FDIC-supervised institution's dollar risk-based capital requirement for operational risk is its operational risk exposure minus eligible operational risk offsets (if any).
(b) If an FDIC-supervised institution qualifies to use operational risk mitigants and has qualifying operational risk mitigants, the FDIC-supervised institution's dollar risk-based capital requirement for operational risk is the greater of:
(1) The FDIC-supervised institution's operational risk exposure adjusted for qualifying operational risk mitigants minus eligible operational risk offsets (if any); or
(2) 0.8 multiplied by the difference between:
(i) The FDIC-supervised institution's operational risk exposure; and
(ii) Eligible operational risk offsets (if any).
(c) The FDIC-supervised institution's risk-weighted asset amount for operational risk equals the FDIC-supervised institution's dollar risk-based capital requirement for operational risk determined under sections 162(a) or (b) multiplied by 12.5.
§§ 324.171 through 324.173 establish public disclosure requirements related to the capital requirements of an FDIC-supervised institution that is an advanced approaches FDIC-supervised institution.
(a) An FDIC-supervised institution that is an advanced approaches FDIC-supervised institution that has completed the parallel run process and that has received notification from the FDIC pursuant to § 324.121(d) must publicly disclose each quarter its total and tier 1 risk-based capital ratios and their components as calculated under this subpart (that is, common equity tier 1 capital, additional tier 1 capital, tier 2 capital, total qualifying capital, and total risk-weighted assets).
(b) An FDIC-supervised institution that is an advanced approaches FDIC-supervised institution that has completed the parallel run process and that has received notification from the FDIC pursuant to section § 324.121(d) must comply with paragraph (c) of this section unless it is a consolidated subsidiary of a bank holding company, savings and loan holding company, or depository institution that is subject to these disclosure requirements or a subsidiary of a non-U.S. banking organization that is subject to comparable public disclosure requirements in its home jurisdiction.
(c)
(1) An FDIC-supervised institution described in paragraph (b) of this section must provide timely public disclosures each calendar quarter of the information in the applicable tables in § 324.173. If a significant change occurs, such that the most recent reported amounts are no longer reflective of the FDIC-supervised institution's capital adequacy and risk profile, then a brief discussion of this change and its likely impact must be disclosed as soon as practicable thereafter. Qualitative disclosures that typically do not change each quarter (for example, a general summary of the FDIC-supervised institution's risk management objectives and policies, reporting system, and definitions) may be disclosed annually after the end of the fourth calendar quarter, provided that any significant changes to these are disclosed in the interim. Management may provide all of the disclosures required by this subpart in one place on the FDIC-supervised institution's public Web site or may provide the disclosures in more than one public financial report or other regulatory reports, provided that the FDIC-supervised institution publicly provides a summary table specifically indicating the location(s) of all such disclosures.
(2) An FDIC-supervised institution described in paragraph (b) of this section must have a formal disclosure policy approved by the board of directors that addresses its approach for determining the disclosures it makes. The policy must address the associated internal controls and disclosure controls and procedures. The board of directors and senior management are responsible for establishing and maintaining an effective internal control structure over financial reporting, including the disclosures required by this subpart, and must ensure that appropriate review of the disclosures takes place. One or more senior officers of the FDIC-supervised institution must attest that the disclosures meet the requirements of this subpart.
(3) If an FDIC-supervised institution described in paragraph (b) of this section believes that disclosure of specific commercial or financial information would prejudice seriously its position by making public information that is either proprietary or confidential in nature, the FDIC-supervised institution is not required to disclose those specific items, but must disclose more general information about the subject matter of the requirement, together with the fact that, and the reason why, the specific items of information have not been disclosed.
(d)
(1) An FDIC-supervised institution that meets any of the criteria in § 324.100(b)(1) before January 1, 2015, must publicly disclose each quarter its supplementary leverage ratio and the components thereof (that is, tier 1 capital and total leverage exposure) as calculated under subpart B of this part, beginning with the first quarter in 2015. This disclosure requirement applies without regard to whether the FDIC-supervised institution has completed the parallel run process and received notification from the FDIC pursuant to § 324.121(d).
(2) An FDIC-supervised institution that meets any of the criteria in § 324.100(b)(1) on or after January 1, 2015, or a Category III FDIC-supervised institution must publicly disclose each quarter its supplementary leverage ratio and the components thereof (that is, tier 1 capital and total leverage exposure) as calculated under subpart B of this part beginning with the calendar quarter immediately following the quarter in which the FDIC-supervised institution becomes an advanced approaches FDIC-supervised institution or a Category III FDIC-supervised institution. This disclosure requirement applies without regard to whether the FDIC-supervised institution has completed the parallel run process and has received notification from the FDIC pursuant to § 324.121(d).
[78 FR 55471, Sept. 10, 2013, as amended at 79 FR 57750, Sept. 26, 2014; 80 FR 41425, July 15, 2015; 84 FR 59279, Nov. 1, 2019]
(a)
(1) An advanced approaches FDIC-supervised institution described in § 324.172(b) must make the disclosures described in Tables 1 through 12 to § 324.173.
(2) An advanced approaches FDIC-supervised institution and a Category III FDIC-supervised institution that is required to publicly disclose its supplementary leverage ratio pursuant to § 324.172(d) must make the disclosures required under Table 13 to this section unless the FDIC-supervised institution is a consolidated subsidiary of a bank holding company, savings and loan holding company, or depository institution that is subject to these disclosure requirements or a subsidiary of a non-U.S. banking organization that is subject to comparable public disclosure requirements in its home jurisdiction.
(3) The disclosures described in Tables 1 through 12 to § 324.173 must be made publicly available for twelve consecutive quarters beginning on January 1, 2014, or a shorter period, as applicable, for the quarters after the FDIC-supervised institution has completed the parallel run process and received notification from the FDIC pursuant to § 324.121(d). The disclosures described in Table 13 to § 324.173 must be made publicly available for twelve consecutive quarters beginning on January 1, 2015, or a shorter period, as applicable, for the quarters after the FDIC-supervised institution becomes subject to the disclosure of the supplementary leverage ratio pursuant to § 324.172(d) and § 324.173(a)(2).
Table 1 to § 324.173 - Scope of Application
| Qualitative disclosures | (a) | The name of the top corporate entity in the group to which subpart E of this part applies. |
| (b) | A brief description of the differences in the basis for consolidating entities1 for accounting and regulatory purposes, with a description of those entities: (1) That are fully consolidated; (2) That are deconsolidated and deducted from total capital; (3) For which the total capital requirement is deducted; and (4) That are neither consolidated nor deducted (for example, where the investment in the entity is assigned a risk weight in accordance with this subpart E). |
|
| (c) | Any restrictions, or other major impediments, on transfer of funds or total capital within the group. | |
| Quantitative disclosures | (d) | The aggregate amount of surplus capital of insurance subsidiaries included in the total capital of the consolidated group. |
| (e) | The aggregate amount by which actual total capital is less than the minimum total capital requirement in all subsidiaries, with total capital requirements and the name(s) of the subsidiaries with such deficiencies. |
1 Such entities include securities, insurance and other financial subsidiaries, commercial subsidiaries (where permitted), and significant minority equity investments in insurance, financial and commercial entities.
Table 2 to § 324.173 - Capital Structure
| Qualitative disclosures | (a) | Summary information on the terms and conditions of the main features of all regulatory capital instruments. |
| Quantitative disclosures | (b) | The amount of common equity tier 1 capital, with separate disclosure of: (1) Common stock and related surplus; (2) Retained earnings; (3) Common equity minority interest; (4) AOCI (net of tax) and other reserves; and (5) Regulatory adjustments and deductions made to common equity tier 1 capital. |
| (c) | The amount of tier 1 capital, with separate disclosure of: (1) Additional tier 1 capital elements, including additional tier 1 capital instruments and tier 1 minority interest not included in common equity tier 1 capital; and (2) Regulatory adjustments and deductions made to tier 1 capital. |
|
| (d) | The amount of total capital, with separate disclosure of: (1) Tier 2 capital elements, including tier 2 capital instruments and total capital minority interest not included in tier 1 capital; and (2) Regulatory adjustments and deductions made to total capital. |
|
| (e) | (1) Whether the FDIC-supervised institution has elected to phase in recognition of the transitional amounts as defined in § 324.300(f) (2) The FDIC-supervised institution's common equity tier 1 capital, tier 1 capital, and total capital without including the transitional amounts as defined in § 324.300(f). |
Table 3 to § 324.173 - Capital Adequacy
| Qualitative disclosures | (a) | A summary discussion of the FDIC-supervised institution's approach to assessing the adequacy of its capital to support current and future activities. |
| Quantitative disclosures | (b) | Risk-weighted assets for credit risk from: (1) Wholesale exposures; (2) Residential mortgage exposures; (3) Qualifying revolving exposures; (4) Other retail exposures; (5) Securitization exposures; (6) Equity exposures: (7) Equity exposures subject to the simple risk weight approach; and (8) Equity exposures subject to the internal models approach. |
| (c) | Standardized market risk-weighted assets and advanced market risk-weighted assets as calculated under subpart F of this part: (1) Standardized approach for specific risk; and (2) Internal models approach for specific risk. |
|
| (d) | Risk-weighted assets for operational risk. | |
| (e) | (1) Common equity tier 1, tier 1 and total risk-based capital ratios reflecting the transition provisions described in § 324.300(f): (A) For the top consolidated group; and (2) For each depository institution subsidiary. |
|
| (f) | Common equity tier 1, tier 1 and total risk-based capital ratios reflecting the full adoption of CECL: (1) For the top consolidated group; and (2) For each depository institution subsidiary. |
|
| (g) | Total risk-weighted assets. |
Table 4 to § 324.173 - Capital Conservation and Countercyclical Capital Buffers
| Qualitative disclosures | (a) | The FDIC-supervised institution must publicly disclose the geographic breakdown of its private sector credit exposures used in the calculation of the countercyclical capital buffer. |
| Quantitative disclosures | (b) | At least quarterly, the FDIC-supervised institution must calculate and publicly disclose the capital conservation buffer and the countercyclical capital buffer as described under § 324.11 of subpart B. |
| (c) | At least quarterly, the FDIC-supervised institution must calculate and publicly disclose the buffer retained income of the FDIC-supervised institution, as described under § 324.11 of subpart B. | |
| (d) | At least quarterly, the FDIC-supervised institution must calculate and publicly disclose any limitations it has on distributions and discretionary bonus payments resulting from the capital conservation buffer and the countercyclical capital buffer framework described under § 324.11 of subpart B, including the maximum payout amount for the quarter. |
(b) General qualitative disclosure requirement. For each separate risk area described in Tables 5 through 12 to § 324.173, the FDIC-supervised institution must describe its risk management objectives and policies, including:
(1) Strategies and processes;
(2) The structure and organization of the relevant risk management function;
(3) The scope and nature of risk reporting and/or measurement systems; and
(4) Policies for hedging and/or mitigating risk and strategies and processes for monitoring the continuing effectiveness of hedges/mitigants.
Table 51 to § 324.173 - Credit Risk: General Disclosures
| Qualitative disclosures | (a) | The general qualitative disclosure requirement with respect to credit risk (excluding counterparty credit risk disclosed in accordance with Table 7 to § 324.173), including: (1) Policy for determining past due or delinquency status; (2) Policy for placing loans on nonaccrual; (3) Policy for returning loans to accrual status; (4) Definition of and policy for identifying impaired loans (for financial accounting purposes). (5) Description of the methodology that the entity uses to estimate its allowance for loan and lease losses or adjusted allowance for credit losses, as applicable, including statistical methods used where applicable; (6) Policy for charging-off uncollectible amounts; and (7) Discussion of the FDIC-supervised institution's credit risk management policy |
| Quantitative disclosures | (b) | Total credit risk exposures and average credit risk exposures, after accounting offsets in accordance with GAAP,2 without taking into account the effects of credit risk mitigation techniques (for example, collateral and netting not permitted under GAAP), over the period categorized by major types of credit exposure. For example, FDIC-supervised institutions could use categories similar to that used for financial statement purposes. Such categories might include, for instance: (1) Loans, off-balance sheet commitments, and other non-derivative off-balance sheet exposures; (2) Debt securities; and (3) OTC derivatives. |
| (c) | Geographic3 distribution of exposures, categorized in significant areas by major types of credit exposure. | |
| (d) | Industry or counterparty type distribution of exposures, categorized by major types of credit exposure. | |
| (e) | By major industry or counterparty type: (1) Amount of impaired loans for which there was a related allowance under GAAP; (2) Amount of impaired loans for which there was no related allowance under GAAP; (3) Amount of loans past due 90 days and on nonaccrual; (4) Amount of loans past due 90 days and still accruing;4 (5) The balance in the allowance for loan and lease losses or adjusted allowance for credit losses, as applicable, at the end of each period, disaggregated on the basis of the entity's impairment method. To disaggregate the information required on the basis of impairment methodology, an entity shall separately disclose the amounts based on the requirements in GAAP; and (6) Charge-offs during the period. |
|
| (f) | Amount of impaired loans and, if available, the amount of past due loans categorized by significant geographic areas including, if practical, the amounts of allowances related to each geographical area,5 further categorized as required by GAAP. | |
| (g) | Reconciliation of changes in ALLL or AACL, as applicable.6 | |
| (h) | Remaining contractual maturity breakdown (for example, one year or less) of the whole portfolio, categorized by credit exposure. |
1 Table 5 to § 324.173 does not cover equity exposures, which should be reported in Table 9 to § 324.173.
2See, for example, ASC Topic 815-10 and 210-20, as they may be amended from time to time.
3 Geographical areas may comprise individual countries, groups of countries, or regions within countries. An FDIC-supervised institution might choose to define the geographical areas based on the way the company's portfolio is geographically managed. The criteria used to allocate the loans to geographical areas must be specified.
4 An FDIC-supervised institution is encouraged also to provide an analysis of the aging of past-due loans.
5 The portion of the general allowance that is not allocated to a geographical area should be disclosed separately.
6 The reconciliation should include the following: a description of the allowance; the opening balance of the allowance; charge-offs taken against the allowance during the period; amounts provided (or reversed) for estimated probable loan losses during the period; any other adjustments (for example, exchange rate differences, business combinations, acquisitions and disposals of subsidiaries), including transfers between allowances; and the closing balance of the allowance. Charge-offs and recoveries that have been recorded directly to the income statement should be disclosed separately.
Table 6 to § 324.173 - Credit Risk: Disclosures for Portfolios Subject to IRB Risk-Based Capital Formulas
| Qualitative disclosures | (a) | Explanation and review of the: (1) Structure of internal rating systems and if the FDIC-supervised institution considers external ratings, the relation between internal and external ratings; (2) Use of risk parameter estimates other than for regulatory capital purposes; (3) Process for managing and recognizing credit risk mitigation (see Table 8 to § 324.173); and (4) Control mechanisms for the rating system, including discussion of independence, accountability, and rating systems review. |
| (b) | (1) Description of the internal ratings process, provided separately for the following: (i) Wholesale category; (ii) Retail subcategories; (iii) Residential mortgage exposures; (iv) Qualifying revolving exposures; and (v) Other retail exposures. (2) For each category and subcategory above the description should include: (i) The types of exposure included in the category/subcategories; and (ii) The definitions, methods and data for estimation and validation of PD, LGD, and EAD, including assumptions employed in the derivation of these variables.1 |
|
| Quantitative disclosures: risk assessment | (c) | (1) For wholesale exposures, present the following information across a sufficient number of PD grades (including default) to allow for a meaningful differentiation of credit risk:2 (i) Total EAD;3 (ii) Exposure-weighted average LGD (percentage); (iii) Exposure-weighted average risk weight; and (iv) Amount of undrawn commitments and exposure-weighted average EAD including average drawdowns prior to default for wholesale exposures. (2) For each retail subcategory, present the disclosures outlined above across a sufficient number of segments to allow for a meaningful differentiation of credit risk. |
| Quantitative disclosures: historical results | (d) | Actual losses in the preceding period for each category and subcategory and how this differs from past experience. A discussion of the factors that impacted the loss experience in the preceding period - for example, has the FDIC-supervised institution experienced higher than average default rates, loss rates or EADs. |
| (e) | The FDIC-supervised institution's estimates compared against actual outcomes over a longer period.4 At a minimum, this should include information on estimates of losses against actual losses in the wholesale category and each retail subcategory over a period sufficient to allow for a meaningful assessment of the performance of the internal rating processes for each category/subcategory.5 Where appropriate, the FDIC-supervised institution should further decompose this to provide analysis of PD, LGD, and EAD outcomes against estimates provided in the quantitative risk assessment disclosures above.6 |
1 This disclosure item does not require a detailed description of the model in full - it should provide the reader with a broad overview of the model approach, describing definitions of the variables and methods for estimating and validating those variables set out in the quantitative risk disclosures below. This should be done for each of the four category/subcategories. The FDIC-supervised institution must disclose any significant differences in approach to estimating these variables within each category/subcategories.
2 The PD, LGD and EAD disclosures in Table 6 (c) to § 324.173 should reflect the effects of collateral, qualifying master netting agreements, eligible guarantees and eligible credit derivatives as defined under this part. Disclosure of each PD grade should include the exposure-weighted average PD for each grade. Where an FDIC-supervised institution aggregates PD grades for the purposes of disclosure, this should be a representative breakdown of the distribution of PD grades used for regulatory capital purposes.
3 Outstanding loans and EAD on undrawn commitments can be presented on a combined basis for these disclosures.
4 These disclosures are a way of further informing the reader about the reliability of the information provided in the “quantitative disclosures: risk assessment” over the long run. The disclosures are requirements from year-end 2010; in the meantime, early adoption is encouraged. The phased implementation is to allow an FDIC-supervised institution sufficient time to build up a longer run of data that will make these disclosures meaningful.
5 This disclosure item is not intended to be prescriptive about the period used for this assessment. Upon implementation, it is expected that an FDIC-supervised institution would provide these disclosures for as long a set of data as possible - for example, if an FDIC-supervised institution has 10 years of data, it might choose to disclose the average default rates for each PD grade over that 10-year period. Annual amounts need not be disclosed.
6 An FDIC-supervised institution must provide this further decomposition where it will allow users greater insight into the reliability of the estimates provided in the “quantitative disclosures: risk assessment.” In particular, it must provide this information where there are material differences between its estimates of PD, LGD or EAD compared to actual outcomes over the long run. The FDIC-supervised institution must also provide explanations for such differences.
Table 7 to § 324.173 - General Disclosure for Counterparty Credit Risk of OTC Derivative Contracts, Repo-Style Transactions, and Eligible Margin Loans
| Qualitative Disclosures | (a) | The general qualitative disclosure requirement with respect to OTC derivatives, eligible margin loans, and repo-style transactions, including: (1) Discussion of methodology used to assign economic capital and credit limits for counterparty credit exposures; (2) Discussion of policies for securing collateral, valuing and managing collateral, and establishing credit reserves; (3) Discussion of the primary types of collateral taken; (4) Discussion of policies with respect to wrong-way risk exposures; and (5) Discussion of the impact of the amount of collateral the FDIC-supervised institution would have to provide if the FDIC-supervised institution were to receive a credit rating downgrade. |
| Quantitative Disclosures | (b) | Gross positive fair value of contracts, netting benefits, netted current credit exposure, collateral held (including type, for example, cash, government securities), and net unsecured credit exposure.1 Also report measures for EAD used for regulatory capital for these transactions, the notional value of credit derivative hedges purchased for counterparty credit risk protection, and, for FDIC-supervised institutions not using the internal models methodology in § 324.132(d), the distribution of current credit exposure by types of credit exposure.2 |
| (c) | Notional amount of purchased and sold credit derivatives, segregated between use for the FDIC-supervised institution's own credit portfolio and for its intermediation activities, including the distribution of the credit derivative products used, categorized further by protection bought and sold within each product group. | |
| (d) | The estimate of alpha if the FDIC-supervised institution has received supervisory approval to estimate alpha. |
1 Net unsecured credit exposure is the credit exposure after considering the benefits from legally enforceable netting agreements and collateral arrangements, without taking into account haircuts for price volatility, liquidity, etc.
2 This may include interest rate derivative contracts, foreign exchange derivative contracts, equity derivative contracts, credit derivatives, commodity or other derivative contracts, repo-style transactions, and eligible margin loans.
Table 8 to § 324.173 - Credit Risk Mitigation1 2
| Qualitative disclosures | (a) | The general qualitative disclosure requirement with respect to credit risk mitigation, including: (1) Policies and processes for, and an indication of the extent to which the FDIC-supervised institution uses, on- or off-balance sheet netting; (2) Policies and processes for collateral valuation and management; (3) A description of the main types of collateral taken by the FDIC-supervised institution; (4) The main types of guarantors/credit derivative counterparties and their creditworthiness; and (5) Information about (market or credit) risk concentrations within the mitigation taken. |
| Quantitative disclosures | (b) | For each separately disclosed portfolio, the total exposure (after, where applicable, on- or off-balance sheet netting) that is covered by guarantees/credit derivatives. |
1 At a minimum, an FDIC-supervised institution must provide the disclosures in Table 8 to § 324.173 in relation to credit risk mitigation that has been recognized for the purposes of reducing capital requirements under this subpart. Where relevant, FDIC-supervised institutions are encouraged to give further information about mitigants that have not been recognized for that purpose.
2 Credit derivatives and other credit mitigation that are treated for the purposes of this subpart as synthetic securitization exposures should be excluded from the credit risk mitigation disclosures (in Table 8 to § 324.173) and included within those relating to securitization (in Table 9 to § 324.173).
Table 9 to § 324.173 - Securitization
| Qualitative disclosures | (a) | The general qualitative disclosure requirement with respect to securitization (including synthetic securitizations), including a discussion of: (1) The FDIC-supervised institution's objectives for securitizing assets, including the extent to which these activities transfer credit risk of the underlying exposures away from the FDIC-supervised institution to other entities and including the type of risks assumed and retained with resecuritization activity;1 (2) The nature of the risks (e.g. liquidity risk) inherent in the securitized assets; (3) The roles played by the FDIC-supervised institution in the securitization process2 and an indication of the extent of the FDIC-supervised institution's involvement in each of them; (4) The processes in place to monitor changes in the credit and market risk of securitization exposures including how those processes differ for resecuritization exposures; (5) The FDIC-supervised institution's policy for mitigating the credit risk retained through securitization and resecuritization exposures; and (6) The risk-based capital approaches that the FDIC-supervised institution follows for its securitization exposures including the type of securitization exposure to which each approach applies. |
| (b) | A list of: (1) The type of securitization SPEs that the FDIC-supervised institution, as sponsor, uses to securitize third-party exposures. The FDIC-supervised institution must indicate whether it has exposure to these SPEs, either on- or off- balance sheet; and (2) Affiliated entities: (i) That the FDIC-supervised institution manages or advises; and (ii) That invest either in the securitization exposures that the FDIC-supervised institution has securitized or in securitization SPEs that the FDIC-supervised institution sponsors.3 |
|
| (c) | Summary of the FDIC-supervised institution's accounting policies for securitization activities, including: (1) Whether the transactions are treated as sales or financings; (2) Recognition of gain-on-sale; (3) Methods and key assumptions and inputs applied in valuing retained or purchased interests; (4) Changes in methods and key assumptions and inputs from the previous period for valuing retained interests and impact of the changes; (5) Treatment of synthetic securitizations; (6) How exposures intended to be securitized are valued and whether they are recorded under subpart E of this part; and (7) Policies for recognizing liabilities on the balance sheet for arrangements that could require the FDIC-supervised institution to provide financial support for securitized assets. |
|
| (d) | An explanation of significant changes to any of the quantitative information set forth below since the last reporting period. | |
| Quantitative disclosures | (e) | The total outstanding exposures securitized4 by the FDIC-supervised institution in securitizations that meet the operational criteria in § 324.141 (categorized into traditional/synthetic), by underlying exposure type5 separately for securitizations of third-party exposures for which the FDIC-supervised institution acts only as sponsor. |
| (f) | For exposures securitized by the FDIC-supervised institution in securitizations that meet the operational criteria in § 324.141: (1) Amount of securitized assets that are impaired6/past due categorized by exposure type; and (2) Losses recognized by the FDIC-supervised institution during the current period categorized by exposure type.7 |
|
| (g) | The total amount of outstanding exposures intended to be securitized categorized by exposure type. | |
| (h) | Aggregate amount of: (1) On-balance sheet securitization exposures retained or purchased categorized by exposure type; and (2) Off-balance sheet securitization exposures categorized by exposure type. |
|
| (i) | (1) Aggregate amount of securitization exposures retained or purchased and the associated capital requirements for these exposures, categorized between securitization and resecuritization exposures, further categorized into a meaningful number of risk weight bands and by risk-based capital approach (e.g. SA, SFA, or SSFA). (2) Aggregate amount disclosed separately by type of underlying exposure in the pool of any: |
|
| (i) After-tax gain-on-sale on a securitization that has been deducted from common equity tier 1 capital; and | ||
| (ii) Credit-enhancing interest-only strip that is assigned a 1,250 percent risk weight. | ||
| (j) | Summary of current year's securitization activity, including the amount of exposures securitized (by exposure type), and recognized gain or loss on sale by asset type. | |
| (k) | Aggregate amount of resecuritization exposures retained or purchased categorized according to: (1) Exposures to which credit risk mitigation is applied and those not applied; and (2) Exposures to guarantors categorized according to guarantor creditworthiness categories or guarantor name. |
1 The FDIC-supervised institution must describe the structure of resecuritizations in which it participates; this description must be provided for the main categories of resecuritization products in which the FDIC-supervised institution is active.
2 For example, these roles would include originator, investor, servicer, provider of credit enhancement, sponsor, liquidity provider, or swap provider.
3 For example, money market mutual funds should be listed individually, and personal and private trusts, should be noted collectively.
4 “Exposures securitized” include underlying exposures originated by the FDIC-supervised institution, whether generated by them or purchased, and recognized in the balance sheet, from third parties, and third-party exposures included in sponsored transactions. Securitization transactions (including underlying exposures originally on the FDIC-supervised institution's balance sheet and underlying exposures acquired by the FDIC-supervised institution from third-party entities) in which the originating bank does not retain any securitization exposure should be shown separately but need only be reported for the year of inception.
5 An FDIC-supervised institution is required to disclose exposures regardless of whether there is a capital charge under this part.
6 An FDIC-supervised institution must include credit-related other than temporary impairment (OTTI).
7 For example, charge-offs/allowances (if the assets remain on the FDIC-supervised institution's balance sheet) or credit-related OTTI of I/O strips and other retained residual interests, as well as recognition of liabilities for probable future financial support required of the FDIC-supervised institution with respect to securitized assets.
Table 10 to § 324.173 - Operational Risk
| Qualitative disclosures | (a) | The general qualitative disclosure requirement for operational risk. |
| (b) | Description of the AMA, including a discussion of relevant internal and external factors considered in the FDIC-supervised institution's measurement approach. | |
| (c) | A description of the use of insurance for the purpose of mitigating operational risk. |
Table 11 to § 324.173 - Equities Not Subject to Subpart F of This Part
| Qualitative disclosures | (a) | The general qualitative disclosure requirement with respect to the equity risk of equity holdings not subject to subpart F of this part, including: (1) Differentiation between holdings on which capital gains are expected and those held for other objectives, including for relationship and strategic reasons; and (2) Discussion of important policies covering the valuation of and accounting for equity holdings not subject to subpart F of this part. This includes the accounting methodology and valuation methodologies used, including key assumptions and practices affecting valuation as well as significant changes in these practices. |
| Quantitative disclosures | (b) | Carrying value on the balance sheet of equity investments, as well as the fair value of those investments. |
| (c) | The types and nature of investments, including the amount that is: (1) Publicly traded; and (2) Non-publicly traded. |
|
| (d) | The cumulative realized gains (losses) arising from sales and liquidations in the reporting period. | |
| (e) | (1) Total unrealized gains (losses)1 (2) Total latent revaluation gains (losses)2 (3) Any amounts of the above included in tier 1 and/or tier 2 capital. |
|
| (f) | Capital requirements categorized by appropriate equity groupings, consistent with the FDIC-supervised institution's methodology, as well as the aggregate amounts and the type of equity investments subject to any supervisory transition regarding total capital requirements.3 |
1 Unrealized gains (losses) recognized in the balance sheet but not through earnings.
2 Unrealized gains (losses) not recognized either in the balance sheet or through earnings.
3 This disclosure must include a breakdown of equities that are subject to the 0 percent, 20 percent, 100 percent, 300 percent, 400 percent, and 600 percent risk weights, as applicable.
Table 12 to § 324.173 - Interest Rate Risk for Non-trading Activities
| Qualitative disclosures | (a) | The general qualitative disclosure requirement, including the nature of interest rate risk for non-trading activities and key assumptions, including assumptions regarding loan prepayments and behavior of non-maturity deposits, and frequency of measurement of interest rate risk for non-trading activities. |
| Quantitative disclosures | (b) | The increase (decline) in earnings or economic value (or relevant measure used by management) for upward and downward rate shocks according to management's method for measuring interest rate risk for non-trading activities, categorized by currency (as appropriate). |
(c) Except as provided in § 324.172(b), an FDIC-supervised institution described in § 324.172(d) must make the disclosures described in Table 13 to § 324.173; provided, however, the disclosures required under this paragraph are required without regard to whether the FDIC-supervised institution has completed the parallel run process and has received notification from the FDIC pursuant to § 324.121(d). The FDIC-supervised institution must make these disclosures publicly available beginning on January 1, 2015.
Table 13 to § 324.173 - Supplementary Leverage Ratio
| Dollar amounts in thousands | ||||
|---|---|---|---|---|
| Tril | Bil | Mil | Thou | |
| Part 1: Summary comparison of accounting assets and total leverage exposure | ||||
| 1 Total consolidated assets as reported in published financial statements | ||||
| 2 Adjustment for investments in banking, financial, insurance or commercial entities that are consolidated for accounting purposes but outside the scope of regulatory consolidation | ||||
| 3 Adjustment for fiduciary assets recognized on balance sheet but excluded from total leverage exposure | ||||
| 4 Adjustment for derivative exposures | ||||
| 5 Adjustment for repo-style transactions | ||||
| 6 Adjustment for off-balance sheet exposures (that is, conversion to credit equivalent amounts of off-balance sheet exposures) | ||||
| 7 Other adjustments | ||||
| 8 Total leverage exposure | ||||
| Part 2: Supplementary leverage ratio | ||||
| On-balance sheet exposures | ||||
| 1 On-balance sheet assets (excluding on-balance sheet assets for repo-style transactions and derivative exposures, but including cash collateral received in derivative transactions) | ||||
| 2 LESS: Amounts deducted from tier 1 capital | ||||
| 3 Total on-balance sheet exposures (excluding on-balance sheet assets for repo-style transactions and derivative exposures, but including cash collateral received in derivative transactions) (sum of lines 1 and 2) | ||||
| Derivative exposures | ||||
| 4 Current exposure for derivative exposures (that is, net of cash variation margin) | ||||
| 5 Add-on amounts for potential future exposure (PFE) for derivative exposures | ||||
| 6 Gross-up for cash collateral posted if deducted from the on-balance sheet assets, except for cash variation margin | ||||
| 7 LESS: Deductions of receivable assets for cash variation margin posted in derivative transactions, if included in on-balance sheet assets | ||||
| 8 LESS: Exempted CCP leg of client-cleared transactions | ||||
| 9 Effective notional principal amount of sold credit protection | ||||
| 10 LESS: Effective notional principal amount offsets and PFE adjustments for sold credit protection | ||||
| 11 Total derivative exposures (sum of lines 4 to 10) | ||||
| Repo-style transactions | ||||
| 12 On-balance sheet assets for repo-style transactions, except include the gross value of receivables for reverse repurchase transactions. Exclude from this item the value of securities received in a security-for-security repo-style transaction where the securities lender has not sold or re-hypothecated the securities received. Include in this item the value of securities that qualified for sales treatment that must be reversed | ||||
| 13 LESS: Reduction of the gross value of receivables in reverse repurchase transactions by cash payables in repurchase transactions under netting agreements | ||||
| 14 Counterparty credit risk for all repo-style transactions | ||||
| 15 Exposure for repo-style transactions where a banking organization acts as an agent | ||||
| 16 Total exposures for repo-style transactions (sum of lines 12 to 15) | ||||
| Other off-balance sheet exposures | ||||
| 17 Off-balance sheet exposures at gross notional amounts | ||||
| 18 LESS: Adjustments for conversion to credit equivalent amounts | ||||
| 19 Off-balance sheet exposures (sum of lines 17 and 18) | ||||
| Capital and total leverage exposure | ||||
| 20 Tier 1 capital | ||||
| 21 Total leverage exposure (sum of lines 3, 11, 16 and 19) | ||||
| Supplementary leverage ratio | ||||
| 22 Supplementary leverage ratio | (in percent) | |||
[78 FR 55471, Sept. 10, 2013, as amended at 79 FR 57750, Sept. 26, 2014; 80 FR 41425, July 15, 2015; 84 FR 4247, Feb. 14, 2019; 84 FR 59279, Nov. 1, 2019; 85 FR 4442, Jan. 24, 2020]
(a) Purpose. This subpart F establishes risk-based capital requirements for FDIC-supervised institutions with significant exposure to market risk, provides methods for these FDIC-supervised institutions to calculate their standardized measure for market risk and, if applicable, advanced measure for market risk, and establishes public disclosure requirements.
(b) Applicability.
(1) This subpart F applies to any FDIC-supervised institution with aggregate trading assets and trading liabilities (as reported in the FDIC-supervised institution's most recent quarterly Call Report), equal to:
(i) 10 percent or more of quarter-end total assets as reported on the most recent quarterly Call Report; or
(ii) $1 billion or more.
(2) The FDIC may apply this subpart to any FDIC-supervised institution if the FDIC deems it necessary or appropriate because of the level of market risk of the FDIC-supervised institution or to ensure safe and sound banking practices.
(3) The FDIC may exclude an FDIC-supervised institution that meets the criteria of paragraph (b)(1) of this section from application of this subpart if the FDIC determines that the exclusion is appropriate based on the level of market risk of the FDIC-supervised institution and is consistent with safe and sound banking practices.
(c) Reservation of authority
(1) The FDIC may require an FDIC-supervised institution to hold an amount of capital greater than otherwise required under this subpart if the FDIC determines that the FDIC-supervised institution's capital requirement for market risk as calculated under this subpart is not commensurate with the market risk of the FDIC-supervised institution's covered positions. In making determinations under paragraphs (c)(1) through (c)(3) of this section, the FDIC will apply notice and response procedures generally in the same manner as the notice and response procedures set forth in § 324.5(c).
(2) If the FDIC determines that the risk-based capital requirement calculated under this subpart by the FDIC-supervised institution for one or more covered positions or portfolios of covered positions is not commensurate with the risks associated with those positions or portfolios, the FDIC may require the FDIC-supervised institution to assign a different risk-based capital requirement to the positions or portfolios that more accurately reflects the risk of the positions or portfolios.
(3) The FDIC may also require an FDIC-supervised institution to calculate risk-based capital requirements for specific positions or portfolios under this subpart, or under subpart D or subpart E of this part, as appropriate, to more accurately reflect the risks of the positions.
(4) Nothing in this subpart limits the authority of the FDIC under any other provision of law or regulation to take supervisory or enforcement action, including action to address unsafe or unsound practices or conditions, deficient capital levels, or violations of law.
(a) Terms set forth in § 324.2 and used in this subpart have the definitions assigned thereto in § 324.2.
(b) For the purposes of this subpart, the following terms are defined as follows:
Backtesting means the comparison of an FDIC-supervised institution's internal estimates with actual outcomes during a sample period not used in model development. For purposes of this subpart, backtesting is one form of out-of-sample testing.
Commodity position means a position for which price risk arises from changes in the price of a commodity.
Corporate debt position means a debt position that is an exposure to a company that is not a sovereign entity, the Bank for International Settlements, the European Central Bank, the European Commission, the International Monetary Fund, the European Stability Mechanism, the European Financial Stability Facility, a multilateral development bank, a depository institution, a foreign bank, a credit union, a public sector entity, a GSE, or a securitization.
Correlation trading position means:
(1) A securitization position for which all or substantially all of the value of the underlying exposures is based on the credit quality of a single company for which a two-way market exists, or on commonly traded indices based on such exposures for which a two-way market exists on the indices; or
(2) A position that is not a securitization position and that hedges a position described in paragraph (1) of this definition; and
(3) A correlation trading position does not include:
(i) A resecuritization position;
(ii) A derivative of a securitization position that does not provide a pro rata share in the proceeds of a securitization tranche; or
(iii) A securitization position for which the underlying assets or reference exposures are retail exposures, residential mortgage exposures, or commercial mortgage exposures.
Covered position means the following positions:
(1) A trading asset or trading liability (whether on- or off-balance sheet),[32] as reported on Call Report, that meets the following conditions:
(i) The position is a trading position or hedges another covered position;[33] and
(ii) The position is free of any restrictive covenants on its tradability or the FDIC-supervised institution is able to hedge the material risk elements of the position in a two-way market;
(2) A foreign exchange or commodity position, regardless of whether the position is a trading asset or trading liability (excluding any structural foreign currency positions that the FDIC-supervised institution chooses to exclude with prior supervisory approval); and
(3) Notwithstanding paragraphs (1) and (2) of this definition, a covered position does not include:
(i) An intangible asset, including any servicing asset;
(ii) Any hedge of a trading position that the FDIC determines to be outside the scope of the FDIC-supervised institution's hedging strategy required in paragraph (a)(2) of § 324.203;
(iii) Any position that, in form or substance, acts as a liquidity facility that provides support to asset-backed commercial paper;
(iv) A credit derivative the FDIC-supervised institution recognizes as a guarantee for risk-weighted asset amount calculation purposes under subpart D or subpart E of this part;
(v) Any position that is recognized as a credit valuation adjustment hedge under § 324.132(e)(5) or § 324.132(e)(6), except as provided in § 324.132(e)(6)(vii);
(vi) Any equity position that is not publicly traded, other than a derivative that references a publicly traded equity and other than a position in an investment company as defined in and registered with the SEC under the Investment Company Act, provided that all the underlying equities held by the investment company are publicly traded;
(vii) Any equity position that is not publicly traded, other than a derivative that references a publicly traded equity and other than a position in an entity not domiciled in the United States (or a political subdivision thereof) that is supervised and regulated in a manner similar to entities described in paragraph (3)(vi) of this definition;
(viii) Any position an FDIC-supervised institution holds with the intent to securitize; or
(ix) Any direct real estate holding.
Debt position means a covered position that is not a securitization position or a correlation trading position and that has a value that reacts primarily to changes in interest rates or credit spreads.
Default by a sovereign entity has the same meaning as the term sovereign default under § 324.2.
Equity position means a covered position that is not a securitization position or a correlation trading position and that has a value that reacts primarily to changes in equity prices.
Event risk means the risk of loss on equity or hybrid equity positions as a result of a financial event, such as the announcement or occurrence of a company merger, acquisition, spin-off, or dissolution.
Foreign exchange position means a position for which price risk arises from changes in foreign exchange rates.
General market risk means the risk of loss that could result from broad market movements, such as changes in the general level of interest rates, credit spreads, equity prices, foreign exchange rates, or commodity prices.
Hedge means a position or positions that offset all, or substantially all, of one or more material risk factors of another position.
Idiosyncratic risk means the risk of loss in the value of a position that arises from changes in risk factors unique to that position.
Incremental risk means the default risk and credit migration risk of a position. Default risk means the risk of loss on a position that could result from the failure of an obligor to make timely payments of principal or interest on its debt obligation, and the risk of loss that could result from bankruptcy, insolvency, or similar proceeding. Credit migration risk means the price risk that arises from significant changes in the underlying credit quality of the position.
Market risk means the risk of loss on a position that could result from movements in market prices.
Resecuritization position means a covered position that is:
(1) An on- or off-balance sheet exposure to a resecuritization; or
(2) An exposure that directly or indirectly references a resecuritization exposure in paragraph (1) of this definition.
Securitization means a transaction in which:
(1) All or a portion of the credit risk of one or more underlying exposures is transferred to one or more third parties;
(2) The credit risk associated with the underlying exposures has been separated into at least two tranches that reflect different levels of seniority;
(3) Performance of the securitization exposures depends upon the performance of the underlying exposures;
(4) All or substantially all of the underlying exposures are financial exposures (such as loans, commitments, credit derivatives, guarantees, receivables, asset-backed securities, mortgage-backed securities, other debt securities, or equity securities);
(5) For non-synthetic securitizations, the underlying exposures are not owned by an operating company;
(6) The underlying exposures are not owned by a small business investment company described in section 302 of the Small Business Investment Act;
(7) The underlying exposures are not owned by a firm an investment in which qualifies as a community development investment under section 24(Eleventh) of the National Bank Act;
(8) The FDIC may determine that a transaction in which the underlying exposures are owned by an investment firm that exercises substantially unfettered control over the size and composition of its assets, liabilities, and off-balance sheet exposures is not a securitization based on the transaction's leverage, risk profile, or economic substance;
(9) The FDIC may deem an exposure to a transaction that meets the definition of a securitization, notwithstanding paragraph (5), (6), or (7) of this definition, to be a securitization based on the transaction's leverage, risk profile, or economic substance; and
(10) The transaction is not:
(i) An investment fund;
(ii) A collective investment fund (as defined in 12 CFR 344.3 (state nonmember bank) and 12 CFR 390.203 (state savings association));
(iii) An employee benefit plan as defined in paragraphs (3) and (32) of section 3 of ERISA, a “governmental plan” (as defined in 29 USC 1002(32)) that complies with the tax deferral qualification requirements provided in the Internal Revenue Code, or any similar employee benefit plan established under the laws of a foreign jurisdiction; or
(iv) Registered with the SEC under the Investment Company Act or foreign equivalents thereof.
Securitization position means a covered position that is:
(1) An on-balance sheet or off-balance sheet credit exposure (including credit-enhancing representations and warranties) that arises from a securitization (including a resecuritization); or
(2) An exposure that directly or indirectly references a securitization exposure described in paragraph (1) of this definition.
Sovereign debt position means a direct exposure to a sovereign entity.
Specific risk means the risk of loss on a position that could result from factors other than broad market movements and includes event risk, default risk, and idiosyncratic risk.
Structural position in a foreign currency means a position that is not a trading position and that is:
(1) Subordinated debt, equity, or minority interest in a consolidated subsidiary that is denominated in a foreign currency;
(2) Capital assigned to foreign branches that is denominated in a foreign currency;
(3) A position related to an unconsolidated subsidiary or another item that is denominated in a foreign currency and that is deducted from the FDIC-supervised institution's tier 1 or tier 2 capital; or
(4) A position designed to hedge an FDIC-supervised institution's capital ratios or earnings against the effect on paragraphs (1), (2), or (3) of this definition of adverse exchange rate movements.
Term repo-style transaction means a repo-style transaction that has an original maturity in excess of one business day.
Trading position means a position that is held by the FDIC-supervised institution for the purpose of short-term resale or with the intent of benefiting from actual or expected short-term price movements, or to lock in arbitrage profits.
Two-way market means a market where there are independent bona fide offers to buy and sell so that a price reasonably related to the last sales price or current bona fide competitive bid and offer quotations can be determined within one day and settled at that price within a relatively short time frame conforming to trade custom.
Value-at-Risk (VaR) means the estimate of the maximum amount that the value of one or more positions could decline due to market price or rate movements during a fixed holding period within a stated confidence interval.
[78 FR 55471, Sept. 10, 2013, as amended at 81 FR 71354, Oct. 17, 2016; 84 FR 35280, July 22, 2019; 85 FR 4434, Jan. 24, 2020]
[32] Securities subject to repurchase and lending agreements are included as if they are still owned by the lender.
[33] A position that hedges a trading position must be within the scope of the bank's hedging strategy as described in paragraph (a)(2) of § 324.203.
(a) Trading positions -
(1) Identification of trading positions. An FDIC-supervised institution must have clearly defined policies and procedures for determining which of its trading assets and trading liabilities are trading positions and which of its trading positions are correlation trading positions. These policies and procedures must take into account:
(i) The extent to which a position, or a hedge of its material risks, can be marked-to-market daily by reference to a two-way market; and
(ii) Possible impairments to the liquidity of a position or its hedge.
(2) Trading and hedging strategies. An FDIC-supervised institution must have clearly defined trading and hedging strategies for its trading positions that are approved by senior management of the FDIC-supervised institution.
(i) The trading strategy must articulate the expected holding period of, and the market risk associated with, each portfolio of trading positions.
(ii) The hedging strategy must articulate for each portfolio of trading positions the level of market risk the FDIC-supervised institution is willing to accept and must detail the instruments, techniques, and strategies the FDIC-supervised institution will use to hedge the risk of the portfolio.
(b) Management of covered positions -
(1) Active management. An FDIC-supervised institution must have clearly defined policies and procedures for actively managing all covered positions. At a minimum, these policies and procedures must require:
(i) Marking positions to market or to model on a daily basis;
(ii) Daily assessment of the FDIC-supervised institution's ability to hedge position and portfolio risks, and of the extent of market liquidity;
(iii) Establishment and daily monitoring of limits on positions by a risk control unit independent of the trading business unit;
(iv) Daily monitoring by senior management of information described in paragraphs (b)(1)(i) through (b)(1)(iii) of this section;
(v) At least annual reassessment of established limits on positions by senior management; and
(vi) At least annual assessments by qualified personnel of the quality of market inputs to the valuation process, the soundness of key assumptions, the reliability of parameter estimation in pricing models, and the stability and accuracy of model calibration under alternative market scenarios.
(2) Valuation of covered positions. The FDIC-supervised institution must have a process for prudent valuation of its covered positions that includes policies and procedures on the valuation of positions, marking positions to market or to model, independent price verification, and valuation adjustments or reserves. The valuation process must consider, as appropriate, unearned credit spreads, close-out costs, early termination costs, investing and funding costs, liquidity, and model risk.
(c) Requirements for internal models.
(1) An FDIC-supervised institution must obtain the prior written approval of the FDIC before using any internal model to calculate its risk-based capital requirement under this subpart.
(2) An FDIC-supervised institution must meet all of the requirements of this section on an ongoing basis. The FDIC-supervised institution must promptly notify the FDIC when:
(i) The FDIC-supervised institution plans to extend the use of a model that the FDIC has approved under this subpart to an additional business line or product type;
(ii) The FDIC-supervised institution makes any change to an internal model approved by the FDIC under this subpart that would result in a material change in the FDIC-supervised institution's risk-weighted asset amount for a portfolio of covered positions; or
(iii) The FDIC-supervised institution makes any material change to its modeling assumptions.
(3) The FDIC may rescind its approval of the use of any internal model (in whole or in part) or of the determination of the approach under § 324.209(a)(2)(ii) for an FDIC-supervised institution's modeled correlation trading positions and determine an appropriate capital requirement for the covered positions to which the model would apply, if the FDIC determines that the model no longer complies with this subpart or fails to reflect accurately the risks of the FDIC-supervised institution's covered positions.
(4) The FDIC-supervised institution must periodically, but no less frequently than annually, review its internal models in light of developments in financial markets and modeling technologies, and enhance those models as appropriate to ensure that they continue to meet the FDIC's standards for model approval and employ risk measurement methodologies that are most appropriate for the FDIC-supervised institution's covered positions.
(5) The FDIC-supervised institution must incorporate its internal models into its risk management process and integrate the internal models used for calculating its VaR-based measure into its daily risk management process.
(6) The level of sophistication of an FDIC-supervised institution's internal models must be commensurate with the complexity and amount of its covered positions. An FDIC-supervised institution's internal models may use any of the generally accepted approaches, including but not limited to variance-covariance models, historical simulations, or Monte Carlo simulations, to measure market risk.
(7) The FDIC-supervised institution's internal models must properly measure all the material risks in the covered positions to which they are applied.
(8) The FDIC-supervised institution's internal models must conservatively assess the risks arising from less liquid positions and positions with limited price transparency under realistic market scenarios.
(9) The FDIC-supervised institution must have a rigorous and well-defined process for re-estimating, re-evaluating, and updating its internal models to ensure continued applicability and relevance.
(10) If an FDIC-supervised institution uses internal models to measure specific risk, the internal models must also satisfy the requirements in paragraph (b)(1) of § 324.207.
(d) Control, oversight, and validation mechanisms.
(1) The FDIC-supervised institution must have a risk control unit that reports directly to senior management and is independent from the business trading units.
(2) The FDIC-supervised institution must validate its internal models initially and on an ongoing basis. The FDIC-supervised institution's validation process must be independent of the internal models' development, implementation, and operation, or the validation process must be subjected to an independent review of its adequacy and effectiveness. Validation must include:
(i) An evaluation of the conceptual soundness of (including developmental evidence supporting) the internal models;
(ii) An ongoing monitoring process that includes verification of processes and the comparison of the FDIC-supervised institution's model outputs with relevant internal and external data sources or estimation techniques; and
(iii) An outcomes analysis process that includes backtesting. For internal models used to calculate the VaR-based measure, this process must include a comparison of the changes in the FDIC-supervised institution's portfolio value that would have occurred were end-of-day positions to remain unchanged (therefore, excluding fees, commissions, reserves, net interest income, and intraday trading) with VaR-based measures during a sample period not used in model development.
(3) The FDIC-supervised institution must stress test the market risk of its covered positions at a frequency appropriate to each portfolio, and in no case less frequently than quarterly. The stress tests must take into account concentration risk (including but not limited to concentrations in single issuers, industries, sectors, or markets), illiquidity under stressed market conditions, and risks arising from the FDIC-supervised institution's trading activities that may not be adequately captured in its internal models.
(4) The FDIC-supervised institution must have an internal audit function independent of business-line management that at least annually assesses the effectiveness of the controls supporting the FDIC-supervised institution's market risk measurement systems, including the activities of the business trading units and independent risk control unit, compliance with policies and procedures, and calculation of the FDIC-supervised institution's measures for market risk under this subpart. At least annually, the internal audit function must report its findings to the FDIC-supervised institution's board of directors (or a committee thereof).
(e) Internal assessment of capital adequacy. The FDIC-supervised institution must have a rigorous process for assessing its overall capital adequacy in relation to its market risk. The assessment must take into account risks that may not be captured fully in the VaR-based measure, including concentration and liquidity risk under stressed market conditions.
(f) Documentation. The FDIC-supervised institution must adequately document all material aspects of its internal models, management and valuation of covered positions, control, oversight, validation and review processes and results, and internal assessment of capital adequacy.
(a) General requirement.
(1) An FDIC-supervised institution must calculate its standardized measure for market risk by following the steps described in paragraph (a)(2) of this section. An advanced approaches FDIC-supervised institution also must calculate an advanced measure for market risk by following the steps in paragraph (a)(2) of this section.
(2) Measure for market risk. An FDIC-supervised institution must calculate the standardized measure for market risk, which equals the sum of the VaR-based capital requirement, stressed VaR-based capital requirement, specific risk add-ons, incremental risk capital requirement, comprehensive risk capital requirement, and capital requirement for de minimis exposures all as defined under this paragraph (a)(2), (except, that the FDIC-supervised institution may not use the SFA in § 324.210(b)(2)(vii)(B) for purposes of this calculation), plus any additional capital requirement established by the FDIC. An advanced approaches FDIC-supervised institution that has completed the parallel run process and that has received notifications from the FDIC pursuant to § 324.121(d) also must calculate the advanced measure for market risk, which equals the sum of the VaR-based capital requirement, stressed VaR-based capital requirement, specific risk add-ons, incremental risk capital requirement, comprehensive risk capital requirement, and capital requirement for de minimis exposures as defined under this paragraph (a)(2), plus any additional capital requirement established by the FDIC.
(i) VaR-based capital requirement. An FDIC-supervised institution's VaR-based capital requirement equals the greater of:
(A) The previous day's VaR-based measure as calculated under § 324.205; or
(B) The average of the daily VaR-based measures as calculated under § 324.205 for each of the preceding 60 business days multiplied by three, except as provided in paragraph (b) of this section.
(ii) Stressed VaR-based capital requirement. An FDIC-supervised institution's stressed VaR-based capital requirement equals the greater of:
(A) The most recent stressed VaR-based measure as calculated under § 324.206; or
(B) The average of the stressed VaR-based measures as calculated under § 324.206 for each of the preceding 12 weeks multiplied by three, except as provided in paragraph (b) of this section.
(iii) Specific risk add-ons. An FDIC-supervised institution's specific risk add-ons equal any specific risk add-ons that are required under § 324.207 and are calculated in accordance with § 324.210.
(iv) Incremental risk capital requirement. An FDIC-supervised institution's incremental risk capital requirement equals any incremental risk capital requirement as calculated under § 324.208.
(v) Comprehensive risk capital requirement. An FDIC-supervised institution's comprehensive risk capital requirement equals any comprehensive risk capital requirement as calculated under § 324.209.
(vi) Capital requirement for de minimis exposures. An FDIC-supervised institution's capital requirement for de minimis exposures equals:
(A) The absolute value of the fair value of those de minimis exposures that are not captured in the FDIC-supervised institution's VaR-based measure or under paragraph (a)(2)(vi)(B) of this section; and
(B) With the prior written approval of the FDIC, the capital requirement for any de minimis exposures using alternative techniques that appropriately measure the market risk associated with those exposures.
(b) Backtesting. An FDIC-supervised institution must compare each of its most recent 250 business days' trading losses (excluding fees, commissions, reserves, net interest income, and intraday trading) with the corresponding daily VaR-based measures calibrated to a one-day holding period and at a one-tail, 99.0 percent confidence level. An FDIC-supervised institution must begin backtesting as required by this paragraph (b) no later than one year after the later of January 1, 2014, and the date on which the FDIC-supervised institution becomes subject to this subpart. In the interim, consistent with safety and soundness principles, an FDIC-supervised institution subject to this subpart as of January 1, 2014 should continue to follow backtesting procedures in accordance with the FDIC's supervisory expectations.
(1) Once each quarter, the FDIC-supervised institution must identify the number of exceptions (that is, the number of business days for which the actual daily net trading loss, if any, exceeds the corresponding daily VaR-based measure) that have occurred over the preceding 250 business days.
(2) An FDIC-supervised institution must use the multiplication factor in Table 1 to § 324.204 that corresponds to the number of exceptions identified in paragraph (b)(1) of this section to determine its VaR-based capital requirement for market risk under paragraph (a)(2)(i) of this section and to determine its stressed VaR-based capital requirement for market risk under paragraph (a)(2)(ii) of this section until it obtains the next quarter's backtesting results, unless the FDIC notifies the FDIC-supervised institution in writing that a different adjustment or other action is appropriate.
Table 1 to § 324.204 - Multiplication Factors Based on Results of Backtesting
| Number of exceptions | Multiplication factor |
|---|---|
| 4 or fewer | 3.00 |
| 5 | 3.40 |
| 6 | 3.50 |
| 7 | 3.65 |
| 8 | 3.75 |
| 9 | 3.85 |
| 10 or more | 4.00 |
(a) General requirement. An FDIC-supervised institution must use one or more internal models to calculate daily a VaR-based measure of the general market risk of all covered positions. The daily VaR-based measure also may reflect the FDIC-supervised institution's specific risk for one or more portfolios of debt and equity positions, if the internal models meet the requirements of § 324.207(b)(1). The daily VaR-based measure must also reflect the FDIC-supervised institution's specific risk for any portfolio of correlation trading positions that is modeled under § 324.209. An FDIC-supervised institution may elect to include term repo-style transactions in its VaR-based measure, provided that the FDIC-supervised institution includes all such term repo-style transactions consistently over time.
(1) The FDIC-supervised institution's internal models for calculating its VaR-based measure must use risk factors sufficient to measure the market risk inherent in all covered positions. The market risk categories must include, as appropriate, interest rate risk, credit spread risk, equity price risk, foreign exchange risk, and commodity price risk. For material positions in the major currencies and markets, modeling techniques must incorporate enough segments of the yield curve - in no case less than six - to capture differences in volatility and less than perfect correlation of rates along the yield curve.
(2) The VaR-based measure may incorporate empirical correlations within and across risk categories, provided the FDIC-supervised institution validates and demonstrates the reasonableness of its process for measuring correlations. If the VaR-based measure does not incorporate empirical correlations across risk categories, the FDIC-supervised institution must add the separate measures from its internal models used to calculate the VaR-based measure for the appropriate market risk categories (interest rate risk, credit spread risk, equity price risk, foreign exchange rate risk, and/or commodity price risk) to determine its aggregate VaR-based measure.
(3) The VaR-based measure must include the risks arising from the nonlinear price characteristics of options positions or positions with embedded optionality and the sensitivity of the fair value of the positions to changes in the volatility of the underlying rates, prices, or other material risk factors. An FDIC-supervised institution with a large or complex options portfolio must measure the volatility of options positions or positions with embedded optionality by different maturities and/or strike prices, where material.
(4) The FDIC-supervised institution must be able to justify to the satisfaction of the FDIC the omission of any risk factors from the calculation of its VaR-based measure that the FDIC-supervised institution uses in its pricing models.
(5) The FDIC-supervised institution must demonstrate to the satisfaction of the FDIC the appropriateness of any proxies used to capture the risks of the FDIC-supervised institution's actual positions for which such proxies are used.
(b) Quantitative requirements for VaR-based measure.
(1) The VaR-based measure must be calculated on a daily basis using a one-tail, 99.0 percent confidence level, and a holding period equivalent to a 10-business-day movement in underlying risk factors, such as rates, spreads, and prices. To calculate VaR-based measures using a 10-business-day holding period, the FDIC-supervised institution may calculate 10-business-day measures directly or may convert VaR-based measures using holding periods other than 10 business days to the equivalent of a 10-business-day holding period. An FDIC-supervised institution that converts its VaR-based measure in such a manner must be able to justify the reasonableness of its approach to the satisfaction of the FDIC.
(2) The VaR-based measure must be based on a historical observation period of at least one year. Data used to determine the VaR-based measure must be relevant to the FDIC-supervised institution's actual exposures and of sufficient quality to support the calculation of risk-based capital requirements. The FDIC-supervised institution must update data sets at least monthly or more frequently as changes in market conditions or portfolio composition warrant. For an FDIC-supervised institution that uses a weighting scheme or other method for the historical observation period, the FDIC-supervised institution must either:
(i) Use an effective observation period of at least one year in which the average time lag of the observations is at least six months; or
(ii) Demonstrate to the FDIC that its weighting scheme is more effective than a weighting scheme with an average time lag of at least six months representing the volatility of the FDIC-supervised institution's trading portfolio over a full business cycle. An FDIC-supervised institution using this option must update its data more frequently than monthly and in a manner appropriate for the type of weighting scheme.
(c) An FDIC-supervised institution must divide its portfolio into a number of significant subportfolios approved by the FDIC for subportfolio backtesting purposes. These subportfolios must be sufficient to allow the FDIC-supervised institution and the FDIC to assess the adequacy of the VaR model at the risk factor level; the FDIC will evaluate the appropriateness of these subportfolios relative to the value and composition of the FDIC-supervised institution's covered positions. The FDIC-supervised institution must retain and make available to the FDIC the following information for each subportfolio for each business day over the previous two years (500 business days), with no more than a 60-day lag:
(1) A daily VaR-based measure for the subportfolio calibrated to a one-tail, 99.0 percent confidence level;
(2) The daily profit or loss for the subportfolio (that is, the net change in price of the positions held in the portfolio at the end of the previous business day); and
(3) The p-value of the profit or loss on each day (that is, the probability of observing a profit that is less than, or a loss that is greater than, the amount reported for purposes of paragraph (c)(2) of this section based on the model used to calculate the VaR-based measure described in paragraph (c)(1) of this section).
(a) General requirement. At least weekly, an FDIC-supervised institution must use the same internal model(s) used to calculate its VaR-based measure to calculate a stressed VaR-based measure.
(b) Quantitative requirements for stressed VaR-based measure.
(1) An FDIC-supervised institution must calculate a stressed VaR-based measure for its covered positions using the same model(s) used to calculate the VaR-based measure, subject to the same confidence level and holding period applicable to the VaR-based measure under § 324.205, but with model inputs calibrated to historical data from a continuous 12-month period that reflects a period of significant financial stress appropriate to the FDIC-supervised institution's current portfolio.
(2) The stressed VaR-based measure must be calculated at least weekly and be no less than the FDIC-supervised institution's VaR-based measure.
(3) An FDIC-supervised institution must have policies and procedures that describe how it determines the period of significant financial stress used to calculate the FDIC-supervised institution's stressed VaR-based measure under this section and must be able to provide empirical support for the period used. The FDIC-supervised institution must obtain the prior approval of the FDIC for, and notify the FDIC if the FDIC-supervised institution makes any material changes to, these policies and procedures. The policies and procedures must address:
(i) How the FDIC-supervised institution links the period of significant financial stress used to calculate the stressed VaR-based measure to the composition and directional bias of its current portfolio; and
(ii) The FDIC-supervised institution's process for selecting, reviewing, and updating the period of significant financial stress used to calculate the stressed VaR-based measure and for monitoring the appropriateness of the period to the FDIC-supervised institution's current portfolio.
(4) Nothing in this section prevents the FDIC from requiring an FDIC-supervised institution to use a different period of significant financial stress in the calculation of the stressed VaR-based measure.
(a) General requirement. An FDIC-supervised institution must use one of the methods in this section to measure the specific risk for each of its debt, equity, and securitization positions with specific risk.
(b) Modeled specific risk. An FDIC-supervised institution may use models to measure the specific risk of covered positions as provided in § 324.205(a) (therefore, excluding securitization positions that are not modeled under § 324.209). An FDIC-supervised institution must use models to measure the specific risk of correlation trading positions that are modeled under § 324.209.
(1) Requirements for specific risk modeling.
(i) If an FDIC-supervised institution uses internal models to measure the specific risk of a portfolio, the internal models must:
(A) Explain the historical price variation in the portfolio;
(B) Be responsive to changes in market conditions;
(C) Be robust to an adverse environment, including signaling rising risk in an adverse environment; and
(D) Capture all material components of specific risk for the debt and equity positions in the portfolio. Specifically, the internal models must:
(1) Capture event risk and idiosyncratic risk; and
(2) Capture and demonstrate sensitivity to material differences between positions that are similar but not identical and to changes in portfolio composition and concentrations.
(ii) If an FDIC-supervised institution calculates an incremental risk measure for a portfolio of debt or equity positions under § 324.208, the FDIC-supervised institution is not required to capture default and credit migration risks in its internal models used to measure the specific risk of those portfolios.
(2) Specific risk fully modeled for one or more portfolios. If the FDIC-supervised institution's VaR-based measure captures all material aspects of specific risk for one or more of its portfolios of debt, equity, or correlation trading positions, the FDIC-supervised institution has no specific risk add-on for those portfolios for purposes of § 324.204(a)(2)(iii).
(c) Specific risk not modeled.
(1) If the FDIC-supervised institution's VaR-based measure does not capture all material aspects of specific risk for a portfolio of debt, equity, or correlation trading positions, the FDIC-supervised institution must calculate a specific-risk add-on for the portfolio under the standardized measurement method as described in § 324.210.
(a) General requirement. An FDIC-supervised institution that measures the specific risk of a portfolio of debt positions under § 324.207(b) using internal models must calculate at least weekly an incremental risk measure for that portfolio according to the requirements in this section. The incremental risk measure is the FDIC-supervised institution's measure of potential losses due to incremental risk over a one-year time horizon at a one-tail, 99.9 percent confidence level, either under the assumption of a constant level of risk, or under the assumption of constant positions. With the prior approval of the FDIC, an FDIC-supervised institution may choose to include portfolios of equity positions in its incremental risk model, provided that it consistently includes such equity positions in a manner that is consistent with how the FDIC-supervised institution internally measures and manages the incremental risk of such positions at the portfolio level. If equity positions are included in the model, for modeling purposes default is considered to have occurred upon the default of any debt of the issuer of the equity position. An FDIC-supervised institution may not include correlation trading positions or securitization positions in its incremental risk measure.
(b) Requirements for incremental risk modeling. For purposes of calculating the incremental risk measure, the incremental risk model must:
(1) Measure incremental risk over a one-year time horizon and at a one-tail, 99.9 percent confidence level, either under the assumption of a constant level of risk, or under the assumption of constant positions.
(i) A constant level of risk assumption means that the FDIC-supervised institution rebalances, or rolls over, its trading positions at the beginning of each liquidity horizon over the one-year horizon in a manner that maintains the FDIC-supervised institution's initial risk level. The FDIC-supervised institution must determine the frequency of rebalancing in a manner consistent with the liquidity horizons of the positions in the portfolio. The liquidity horizon of a position or set of positions is the time required for an FDIC-supervised institution to reduce its exposure to, or hedge all of its material risks of, the position(s) in a stressed market. The liquidity horizon for a position or set of positions may not be less than the shorter of three months or the contractual maturity of the position.
(ii) A constant position assumption means that the FDIC-supervised institution maintains the same set of positions throughout the one-year horizon. If an FDIC-supervised institution uses this assumption, it must do so consistently across all portfolios.
(iii) An FDIC-supervised institution's selection of a constant position or a constant risk assumption must be consistent between the FDIC-supervised institution's incremental risk model and its comprehensive risk model described in § 324.209, if applicable.
(iv) An FDIC-supervised institution's treatment of liquidity horizons must be consistent between the FDIC-supervised institution's incremental risk model and its comprehensive risk model described in § 324.209, if applicable.
(2) Recognize the impact of correlations between default and migration events among obligors.
(3) Reflect the effect of issuer and market concentrations, as well as concentrations that can arise within and across product classes during stressed conditions.
(4) Reflect netting only of long and short positions that reference the same financial instrument.
(5) Reflect any material mismatch between a position and its hedge.
(6) Recognize the effect that liquidity horizons have on dynamic hedging strategies. In such cases, an FDIC-supervised institution must:
(i) Choose to model the rebalancing of the hedge consistently over the relevant set of trading positions;
(ii) Demonstrate that the inclusion of rebalancing results in a more appropriate risk measurement;
(iii) Demonstrate that the market for the hedge is sufficiently liquid to permit rebalancing during periods of stress; and
(iv) Capture in the incremental risk model any residual risks arising from such hedging strategies.
(7) Reflect the nonlinear impact of options and other positions with material nonlinear behavior with respect to default and migration changes.
(8) Maintain consistency with the FDIC-supervised institution's internal risk management methodologies for identifying, measuring, and managing risk.
(c) Calculation of incremental risk capital requirement. The incremental risk capital requirement is the greater of:
(1) The average of the incremental risk measures over the previous 12 weeks; or
(2) The most recent incremental risk measure.
(a) General requirement.
(1) Subject to the prior approval of the FDIC, an FDIC-supervised institution may use the method in this section to measure comprehensive risk, that is, all price risk, for one or more portfolios of correlation trading positions.
(2) An FDIC-supervised institution that measures the price risk of a portfolio of correlation trading positions using internal models must calculate at least weekly a comprehensive risk measure that captures all price risk according to the requirements of this section. The comprehensive risk measure is either:
(i) The sum of:
(A) The FDIC-supervised institution's modeled measure of all price risk determined according to the requirements in paragraph (b) of this section; and
(B) A surcharge for the FDIC-supervised institution's modeled correlation trading positions equal to the total specific risk add-on for such positions as calculated under § 324.210 multiplied by 8.0 percent; or
(ii) With approval of the FDIC and provided the FDIC-supervised institution has met the requirements of this section for a period of at least one year and can demonstrate the effectiveness of the model through the results of ongoing model validation efforts including robust benchmarking, the greater of:
(A) The FDIC-supervised institution's modeled measure of all price risk determined according to the requirements in paragraph (b) of this section; or
(B) The total specific risk add-on that would apply to the bank's modeled correlation trading positions as calculated under § 324.210 multiplied by 8.0 percent.
(b) Requirements for modeling all price risk. If an FDIC-supervised institution uses an internal model to measure the price risk of a portfolio of correlation trading positions:
(1) The internal model must measure comprehensive risk over a one-year time horizon at a one-tail, 99.9 percent confidence level, either under the assumption of a constant level of risk, or under the assumption of constant positions.
(2) The model must capture all material price risk, including but not limited to the following:
(i) The risks associated with the contractual structure of cash flows of the position, its issuer, and its underlying exposures;
(ii) Credit spread risk, including nonlinear price risks;
(iii) The volatility of implied correlations, including nonlinear price risks such as the cross-effect between spreads and correlations;
(iv) Basis risk;
(v) Recovery rate volatility as it relates to the propensity for recovery rates to affect tranche prices; and
(vi) To the extent the comprehensive risk measure incorporates the benefits of dynamic hedging, the static nature of the hedge over the liquidity horizon must be recognized. In such cases, an FDIC-supervised institution must:
(A) Choose to model the rebalancing of the hedge consistently over the relevant set of trading positions;
(B) Demonstrate that the inclusion of rebalancing results in a more appropriate risk measurement;
(C) Demonstrate that the market for the hedge is sufficiently liquid to permit rebalancing during periods of stress; and
(D) Capture in the comprehensive risk model any residual risks arising from such hedging strategies;
(3) The FDIC-supervised institution must use market data that are relevant in representing the risk profile of the FDIC-supervised institution's correlation trading positions in order to ensure that the FDIC-supervised institution fully captures the material risks of the correlation trading positions in its comprehensive risk measure in accordance with this section; and
(4) The FDIC-supervised institution must be able to demonstrate that its model is an appropriate representation of comprehensive risk in light of the historical price variation of its correlation trading positions.
(c) Requirements for stress testing.
(1) An FDIC-supervised institution must at least weekly apply specific, supervisory stress scenarios to its portfolio of correlation trading positions that capture changes in:
(i) Default rates;
(ii) Recovery rates;
(iii) Credit spreads;
(iv) Correlations of underlying exposures; and
(v) Correlations of a correlation trading position and its hedge.
(2) Other requirements.
(i) An FDIC-supervised institution must retain and make available to the FDIC the results of the supervisory stress testing, including comparisons with the capital requirements generated by the FDIC-supervised institution's comprehensive risk model.
(ii) An FDIC-supervised institution must report to the FDIC promptly any instances where the stress tests indicate any material deficiencies in the comprehensive risk model.
(d) Calculation of comprehensive risk capital requirement. The comprehensive risk capital requirement is the greater of:
(1) The average of the comprehensive risk measures over the previous 12 weeks; or
(2) The most recent comprehensive risk measure.
(a) General requirement. An FDIC-supervised institution must calculate a total specific risk add-on for each portfolio of debt and equity positions for which the FDIC-supervised institution's VaR-based measure does not capture all material aspects of specific risk and for all securitization positions that are not modeled under § 324.209. An FDIC-supervised institution must calculate each specific risk add-on in accordance with the requirements of this section. Notwithstanding any other definition or requirement in this subpart, a position that would have qualified as a debt position or an equity position but for the fact that it qualifies as a correlation trading position under paragraph (2) of the definition of correlation trading position in § 324.2, shall be considered a debt position or an equity position, respectively, for purposes of this § 324.210.
(1) The specific risk add-on for an individual debt or securitization position that represents sold credit protection is capped at the notional amount of the credit derivative contract. The specific risk add-on for an individual debt or securitization position that represents purchased credit protection is capped at the current fair value of the transaction plus the absolute value of the present value of all remaining payments to the protection seller under the transaction. This sum is equal to the value of the protection leg of the transaction.
(2) For debt, equity, or securitization positions that are derivatives with linear payoffs, an FDIC-supervised institution must assign a specific risk-weighting factor to the fair value of the effective notional amount of the underlying instrument or index portfolio, except for a securitization position for which the FDIC-supervised institution directly calculates a specific risk add-on using the SFA in paragraph (b)(2)(vii)(B) of this section. A swap must be included as an effective notional position in the underlying instrument or portfolio, with the receiving side treated as a long position and the paying side treated as a short position. For debt, equity, or securitization positions that are derivatives with nonlinear payoffs, an FDIC-supervised institution must risk weight the fair value of the effective notional amount of the underlying instrument or portfolio multiplied by the derivative's delta.
(3) For debt, equity, or securitization positions, an FDIC-supervised institution may net long and short positions (including derivatives) in identical issues or identical indices. An FDIC-supervised institution may also net positions in depositary receipts against an opposite position in an identical equity in different markets, provided that the FDIC-supervised institution includes the costs of conversion.
(4) A set of transactions consisting of either a debt position and its credit derivative hedge or a securitization position and its credit derivative hedge has a specific risk add-on of zero if:
(i) The debt or securitization position is fully hedged by a total return swap (or similar instrument where there is a matching of swap payments and changes in fair value of the debt or securitization position);
(ii) There is an exact match between the reference obligation of the swap and the debt or securitization position;
(iii) There is an exact match between the currency of the swap and the debt or securitization position; and
(iv) There is either an exact match between the maturity date of the swap and the maturity date of the debt or securitization position; or, in cases where a total return swap references a portfolio of positions with different maturity dates, the total return swap maturity date must match the maturity date of the underlying asset in that portfolio that has the latest maturity date.
(5) The specific risk add-on for a set of transactions consisting of either a debt position and its credit derivative hedge or a securitization position and its credit derivative hedge that does not meet the criteria of paragraph (a)(4) of this section is equal to 20.0 percent of the capital requirement for the side of the transaction with the higher specific risk add-on when:
(i) The credit risk of the position is fully hedged by a credit default swap or similar instrument;
(ii) There is an exact match between the reference obligation of the credit derivative hedge and the debt or securitization position;
(iii) There is an exact match between the currency of the credit derivative hedge and the debt or securitization position; and
(iv) There is either an exact match between the maturity date of the credit derivative hedge and the maturity date of the debt or securitization position; or, in the case where the credit derivative hedge has a standard maturity date:
(A) The maturity date of the credit derivative hedge is within 30 business days of the maturity date of the debt or securitization position; or
(B) For purchased credit protection, the maturity date of the credit derivative hedge is later than the maturity date of the debt or securitization position, but is no later than the standard maturity date for that instrument that immediately follows the maturity date of the debt or securitization position. The maturity date of the credit derivative hedge may not exceed the maturity date of the debt or securitization position by more than 90 calendar days.
(6) The specific risk add-on for a set of transactions consisting of either a debt position and its credit derivative hedge or a securitization position and its credit derivative hedge that does not meet the criteria of either paragraph (a)(4) or (a)(5) of this section, but in which all or substantially all of the price risk has been hedged, is equal to the specific risk add-on for the side of the transaction with the higher specific risk add-on.
(b) Debt and securitization positions.
(1) The total specific risk add-on for a portfolio of debt or securitization positions is the sum of the specific risk add-ons for individual debt or securitization positions, as computed under this section. To determine the specific risk add-on for individual debt or securitization positions, an FDIC-supervised institution must multiply the absolute value of the current fair value of each net long or net short debt or securitization position in the portfolio by the appropriate specific risk-weighting factor as set forth in paragraphs (b)(2)(i) through (b)(2)(vii) of this section.
(2) For the purpose of this section, the appropriate specific risk-weighting factors include:
(i) Sovereign debt positions.
(A) In accordance with Table 1 to § 324.210, an FDIC-supervised institution must assign a specific risk-weighting factor to a sovereign debt position based on the CRC applicable to the sovereign, and, as applicable, the remaining contractual maturity of the position, or if there is no CRC applicable to the sovereign, based on whether the sovereign entity is a member of the OECD. Notwithstanding any other provision in this subpart, sovereign debt positions that are backed by the full faith and credit of the United States are treated as having a CRC of 0.
Table 1 to § 324.210 - Specific Risk-Weighting Factors for Sovereign Debt Positions
| Specific risk-weighting factor (in percent) | |||
| CRC | 0-1 | 0.0 | |
| 2-3 | Remaining contractual maturity of 6 months or less | 0.25 | |
| Remaining contractual maturity of greater than 6 and up to and including 24 months | 1.0 | ||
| Remaining contractual maturity exceeds 24 months | 1.6 | ||
| 4-6 | 8.0 | ||
| 7 | 12.0 | ||
| OECD Member with No CRC | 0.0 | ||
| Non-OECD Member with No CRC | 8.0 | ||
| Sovereign Default | 12.0 | ||
(B) Notwithstanding paragraph (b)(2)(i)(A) of this section, an FDIC-supervised institution may assign to a sovereign debt position a specific risk-weighting factor that is lower than the applicable specific risk-weighting factor in Table 1 to § 324.210 if:
(1) The position is denominated in the sovereign entity's currency;
(2) The FDIC-supervised institution has at least an equivalent amount of liabilities in that currency; and
(3) The sovereign entity allows banks under its jurisdiction to assign the lower specific risk-weighting factor to the same exposures to the sovereign entity.
(C) An FDIC-supervised institution must assign a 12.0 percent specific risk-weighting factor to a sovereign debt position immediately upon determination a default has occurred; or if a default has occurred within the previous five years.
(D) An FDIC-supervised institution must assign a 0.0 percent specific risk-weighting factor to a sovereign debt position if the sovereign entity is a member of the OECD and does not have a CRC assigned to it, except as provided in paragraph (b)(2)(i)(C) of this section.
(E) An FDIC-supervised institution must assign an 8.0 percent specific risk-weighting factor to a sovereign debt position if the sovereign is not a member of the OECD and does not have a CRC assigned to it, except as provided in paragraph (b)(2)(i)(C) of this section.
(ii) Certain supranational entity and multilateral development bank debt positions. An FDIC-supervised institution may assign a 0.0 percent specific risk-weighting factor to a debt position that is an exposure to the Bank for International Settlements, the European Central Bank, the European Commission, the International Monetary Fund, the European Stability Mechanism, the European Financial Stability Facility, or an MDB.
(iii) GSE debt positions. An FDIC-supervised institution must assign a 1.6 percent specific risk-weighting factor to a debt position that is an exposure to a GSE. Notwithstanding the foregoing, an FDIC-supervised institution must assign an 8.0 percent specific risk-weighting factor to preferred stock issued by a GSE.
(iv) Depository institution, foreign bank, and credit union debt positions.
(A) Except as provided in paragraph (b)(2)(iv)(B) of this section, an FDIC-supervised institution must assign a specific risk-weighting factor to a debt position that is an exposure to a depository institution, a foreign bank, or a credit union, in accordance with Table 2 to § 324.210 of this section, based on the CRC that corresponds to that entity's home country or the OECD membership status of that entity's home country if there is no CRC applicable to the entity's home country, and, as applicable, the remaining contractual maturity of the position.
Table 2 to § 324.210 - Specific Risk-weighting Factors for Depository Institution, Foreign Bank, and Credit Union Debt Positions
| Specific risk-weighting factor | Percent | |
| CRC 0-2 or OECD Member with No CRC | Remaining contractual maturity of 6 months or less | 0.25 |
| Remaining contractual maturity of greater than 6 and up to and including 24 months | 1.0 | |
| Remaining contractual maturity exceeds 24 months | 1.6 | |
| CRC 3 | 8.0 | |
| CRC 4-7 | 12.0 | |
| Non-OECD Member with No CRC | 8.0 | |
| Sovereign Default | 12.0 |
(B) An FDIC-supervised institution must assign a specific risk-weighting factor of 8.0 percent to a debt position that is an exposure to a depository institution or a foreign bank that is includable in the depository institution's or foreign bank's regulatory capital and that is not subject to deduction as a reciprocal holding under § 324.22.
(C) An FDIC-supervised institution must assign a 12.0 percent specific risk-weighting factor to a debt position that is an exposure to a foreign bank immediately upon determination that a default by the foreign bank's home country has occurred or if a default by the foreign bank's home country has occurred within the previous five years.
(v) PSE debt positions.
(A) Except as provided in paragraph (b)(2)(v)(B) of this section, an FDIC-supervised institution must assign a specific risk-weighting factor to a debt position that is an exposure to a PSE in accordance with Tables 3 and 4 to § 324.210 depending on the position's categorization as a general obligation or revenue obligation based on the CRC that corresponds to the PSE's home country or the OECD membership status of the PSE's home country if there is no CRC applicable to the PSE's home country, and, as applicable, the remaining contractual maturity of the position, as set forth in Tables 3 and 4 to § 324.210.
(B) An FDIC-supervised institution may assign a lower specific risk-weighting factor than would otherwise apply under Tables 3 and 4 to § 324.210 to a debt position that is an exposure to a foreign PSE if:
(1) The PSE's home country allows banks under its jurisdiction to assign a lower specific risk-weighting factor to such position; and
(2) The specific risk-weighting factor is not lower than the risk weight that corresponds to the PSE's home country in Table 1 to § 324.210.
(C) An FDIC-supervised institution must assign a 12.0 percent specific risk-weighting factor to a PSE debt position immediately upon determination that a default by the PSE's home country has occurred or if a default by the PSE's home country has occurred within the previous five years.
Table 3 to § 324.210 - Specific Risk-weighting Factors for PSE General Obligation Debt Positions
| General obligation specific risk-weighting factor | Percent | |
| CRC 0-2 or OECD Member with No CRC | Remaining contractual maturity of 6 months or less | 0.25 |
| Remaining contractual maturity of greater than 6 and up to and including 24 months | 1.0 | |
| Remaining contractual maturity exceeds 24 months | 1.6 | |
| CRC 3 | 8.0 | |
| CRC 4-7 | 12.0 | |
| Non-OECD Member with No CRC | 8.0 | |
| Sovereign Default | 12.0 |
Table 4 to § 324.210 - Specific Risk-weighting Factors for PSE Revenue Obligation Debt Positions
| Revenue obligation specific risk-weighting factor | Percent | |
| CRC 0-1 or OECD Member with No CRC | Remaining contractual maturity of 6 months or less | 0.25 |
| Remaining contractual maturity of greater than 6 and up to and including 24 months | 1.0 | |
| Remaining contractual maturity exceeds 24 months | 1.6 | |
| CRC 2-3 | 8.0 | |
| CRC 4-7 | 12.0 | |
| Non-OECD Member with No CRC | 8.0 | |
| Sovereign Default | 12.0 |
(vi) Corporate debt positions. Except as otherwise provided in paragraph (b)(2)(vi)(B) of this section, an FDIC-supervised institution must assign a specific risk-weighting factor to a corporate debt position in accordance with the investment grade methodology in paragraph (b)(2)(vi)(A) of this section.
(A) Investment grade methodology.
(1) For corporate debt positions that are exposures to entities that have issued and outstanding publicly traded instruments, an FDIC-supervised institution must assign a specific risk-weighting factor based on the category and remaining contractual maturity of the position, in accordance with Table 5 to § 324.210. For purposes of this paragraph (b)(2)(vi)(A)(1), the FDIC-supervised institution must determine whether the position is in the investment grade or not investment grade category.
Table 5 to § 324.210 - Specific Risk-weighting Factors for Corporate Debt Positions Under the Investment Grade Methodology
| Category | Remaining contractual maturity | Specific risk-weighting factor (in percent) |
|---|---|---|
| Investment Grade | 6 months or less | 0.50 |
| Greater than 6 and up to and including 24 months | 2.00 | |
| Greater than 24 months | 4.00 | |
| Non-investment Grade | 12.00 |
(2) An FDIC-supervised institution must assign an 8.0 percent specific risk-weighting factor for corporate debt positions that are exposures to entities that do not have publicly traded instruments outstanding.
(B) Limitations.
(1) An FDIC-supervised institution must assign a specific risk-weighting factor of at least 8.0 percent to an interest-only mortgage-backed security that is not a securitization position.
(2) An FDIC-supervised institution shall not assign a corporate debt position a specific risk-weighting factor that is lower than the specific risk-weighting factor that corresponds to the CRC of the issuer's home country, if applicable, in Table 1 to § 324.210.
(vii) Securitization positions.
(A) General requirements.
(1) An FDIC-supervised institution that is not an advanced approaches FDIC-supervised institution must assign a specific risk-weighting factor to a securitization position using either the simplified supervisory formula approach (SSFA) in paragraph (b)(2)(vii)(C) of this section (and § 324.211) or assign a specific risk-weighting factor of 100 percent to the position.
(2) An FDIC-supervised institution that is an advanced approaches FDIC-supervised institution must calculate a specific risk add-on for a securitization position in accordance with paragraph (b)(2)(vii)(B) of this section if the FDIC-supervised institution and the securitization position each qualifies to use the SFA in § 324.143. An FDIC-supervised institution that is an advanced approaches FDIC-supervised institution with a securitization position that does not qualify for the SFA under paragraph (b)(2)(vii)(B) of this section may assign a specific risk-weighting factor to the securitization position using the SSFA in accordance with paragraph (b)(2)(vii)(C) of this section or assign a specific risk-weighting factor of 100 percent to the position.
(3) An FDIC-supervised institution must treat a short securitization position as if it is a long securitization position solely for calculation purposes when using the SFA in paragraph (b)(2)(vii)(B) of this section or the SSFA in paragraph (b)(2)(vii)(C) of this section.
(B) SFA. To calculate the specific risk add-on for a securitization position using the SFA, an FDIC-supervised institution that is an advanced approaches FDIC-supervised institution must set the specific risk add-on for the position equal to the risk-based capital requirement as calculated under § 324.143.
(C) SSFA. To use the SSFA to determine the specific risk-weighting factor for a securitization position, an FDIC-supervised institution must calculate the specific risk-weighting factor in accordance with § 324.211.
(D) Nth-to-default credit derivatives. An FDIC-supervised institution must determine a specific risk add-on using the SFA in paragraph (b)(2)(vii)(B) of this section, or assign a specific risk-weighting factor using the SSFA in paragraph (b)(2)(vii)(C) of this section to an nth-to-default credit derivative in accordance with this paragraph (b)(2)(vii)(D), regardless of whether the FDIC-supervised institution is a net protection buyer or net protection seller. An FDIC-supervised institution must determine its position in the nth-to-default credit derivative as the largest notional amount of all the underlying exposures.
(1) For purposes of determining the specific risk add-on using the SFA in paragraph (b)(2)(vii)(B) of this section or the specific risk-weighting factor for an nth-to-default credit derivative using the SSFA in paragraph (b)(2)(vii)(C) of this section the FDIC-supervised institution must calculate the attachment point and detachment point of its position as follows:
(i) The attachment point (parameter A) is the ratio of the sum of the notional amounts of all underlying exposures that are subordinated to the FDIC-supervised institution's position to the total notional amount of all underlying exposures. For purposes of the SSFA, parameter A is expressed as a decimal value between zero and one. For purposes of using the SFA in paragraph (b)(2)(vii)(B) of this section to calculate the specific add-on for its position in an nth-to-default credit derivative, parameter A must be set equal to the credit enhancement level (L) input to the SFA formula in § 324.143. In the case of a first-to-default credit derivative, there are no underlying exposures that are subordinated to the FDIC-supervised institution's position. In the case of a second-or-subsequent-to-default credit derivative, the smallest (n-1) notional amounts of the underlying exposure(s) are subordinated to the FDIC-supervised institution's position.
(ii) The detachment point (parameter D) equals the sum of parameter A plus the ratio of the notional amount of the FDIC-supervised institution's position in the nth-to-default credit derivative to the total notional amount of all underlying exposures. For purposes of the SSFA, parameter A is expressed as a decimal value between zero and one. For purposes of using the SFA in paragraph (b)(2)(vii)(B) of this section to calculate the specific risk add-on for its position in an nth-to-default credit derivative, parameter D must be set to equal the L input plus the thickness of tranche (T) input to the SFA formula in § 324.143.
(2) An FDIC-supervised institution that does not use the SFA in paragraph (b)(2)(vii)(B) of this section to determine a specific risk-add on, or the SSFA in paragraph (b)(2)(vii)(C) of this section to determine a specific risk-weighting factor for its position in an nth-to-default credit derivative must assign a specific risk-weighting factor of 100 percent to the position.
(c) Modeled correlation trading positions. For purposes of calculating the comprehensive risk measure for modeled correlation trading positions under either paragraph (a)(2)(i) or (a)(2)(ii) of § 324.209, the total specific risk add-on is the greater of:
(1) The sum of the FDIC-supervised institution's specific risk add-ons for each net long correlation trading position calculated under this section; or
(2) The sum of the FDIC-supervised institution's specific risk add-ons for each net short correlation trading position calculated under this section.
(d) Non-modeled securitization positions. For securitization positions that are not correlation trading positions and for securitizations that are correlation trading positions not modeled under § 324.209, the total specific risk add-on is the greater of:
(1) The sum of the FDIC-supervised institution's specific risk add-ons for each net long securitization position calculated under this section; or
(2) The sum of the FDIC-supervised institution's specific risk add-ons for each net short securitization position calculated under this section.
(e) Equity positions. The total specific risk add-on for a portfolio of equity positions is the sum of the specific risk add-ons of the individual equity positions, as computed under this section. To determine the specific risk add-on of individual equity positions, an FDIC-supervised institution must multiply the absolute value of the current fair value of each net long or net short equity position by the appropriate specific risk-weighting factor as determined under this paragraph (e):
(1) The FDIC-supervised institution must multiply the absolute value of the current fair value of each net long or net short equity position by a specific risk-weighting factor of 8.0 percent. For equity positions that are index contracts comprising a well-diversified portfolio of equity instruments, the absolute value of the current fair value of each net long or net short position is multiplied by a specific risk-weighting factor of 2.0 percent.[34]
(2) For equity positions arising from the following futures-related arbitrage strategies, an FDIC-supervised institution may apply a 2.0 percent specific risk-weighting factor to one side (long or short) of each position with the opposite side exempt from an additional capital requirement:
(i) Long and short positions in exactly the same index at different dates or in different market centers; or
(ii) Long and short positions in index contracts at the same date in different, but similar indices.
(3) For futures contracts on main indices that are matched by offsetting positions in a basket of stocks comprising the index, an FDIC-supervised institution may apply a 2.0 percent specific risk-weighting factor to the futures and stock basket positions (long and short), provided that such trades are deliberately entered into and separately controlled, and that the basket of stocks is comprised of stocks representing at least 90.0 percent of the capitalization of the index.
(f) Due diligence requirements for securitization positions.
(1) An FDIC-supervised institution must demonstrate to the satisfaction of the FDIC a comprehensive understanding of the features of a securitization position that would materially affect the performance of the position by conducting and documenting the analysis set forth in paragraph (f)(2) of this section. The FDIC-supervised institution's analysis must be commensurate with the complexity of the securitization position and the materiality of the position in relation to capital.
(2) An FDIC-supervised institution must demonstrate its comprehensive understanding for each securitization position by:
(i) Conducting an analysis of the risk characteristics of a securitization position prior to acquiring the position and document such analysis within three business days after acquiring position, considering:
(A) Structural features of the securitization that would materially impact the performance of the position, for example, the contractual cash flow waterfall, waterfall-related triggers, credit enhancements, liquidity enhancements, fair value triggers, the performance of organizations that service the position, and deal-specific definitions of default;
(B) Relevant information regarding the performance of the underlying credit exposure(s), for example, the percentage of loans 30, 60, and 90 days past due; default rates; prepayment rates; loans in foreclosure; property types; occupancy; average credit score or other measures of creditworthiness; average loan-to-value ratio; and industry and geographic diversification data on the underlying exposure(s);
(C) Relevant market data of the securitization, for example, bid-ask spreads, most recent sales price and historical price volatility, trading volume, implied market rating, and size, depth and concentration level of the market for the securitization; and
(D) For resecuritization positions, performance information on the underlying securitization exposures, for example, the issuer name and credit quality, and the characteristics and performance of the exposures underlying the securitization exposures.
(ii) On an on-going basis (no less frequently than quarterly), evaluating, reviewing, and updating as appropriate the analysis required under paragraph (f)(1) of this section for each securitization position.
[78 FR 55471, Sept. 10, 2013, as amended at 79 FR 20761, Apr. 14, 2014; 81 FR 71354, Oct. 17, 2016; 84 FR 35280, July 22, 2019; 85 FR 4434, Jan. 24, 2020]
(a) General requirements. To use the SSFA to determine the specific risk-weighting factor for a securitization position, an FDIC-supervised institution must have data that enables it to assign accurately the parameters described in paragraph (b) of this section. Data used to assign the parameters described in paragraph (b) of this section must be the most currently available data; if the contracts governing the underlying exposures of the securitization require payments on a monthly or quarterly basis, the data used to assign the parameters described in paragraph (b) of this section must be no more than 91 calendar days old. An FDIC-supervised institution that does not have the appropriate data to assign the parameters described in paragraph (b) of this section must assign a specific risk-weighting factor of 100 percent to the position.
(b) SSFA parameters. To calculate the specific risk-weighting factor for a securitization position using the SSFA, an FDIC-supervised institution must have accurate information on the five inputs to the SSFA calculation described in paragraphs (b)(1) through (b)(5) of this section.
(1) KG is the weighted-average (with unpaid principal used as the weight for each exposure) total capital requirement of the underlying exposures calculated using subpart D. KG is expressed as a decimal value between zero and one (that is, an average risk weight of 100 percent represents a value of KG equal to 0.08).
(2) Parameter W is expressed as a decimal value between zero and one. Parameter W is the ratio of the sum of the dollar amounts of any underlying exposures of the securitization that meet any of the criteria as set forth in paragraphs (b)(2)(i) through (vi) of this section to the balance, measured in dollars, of underlying exposures:
(i) Ninety days or more past due;
(ii) Subject to a bankruptcy or insolvency proceeding;
(iii) In the process of foreclosure;
(iv) Held as real estate owned;
(v) Has contractually deferred payments for 90 days or more, other than principal or interest payments deferred on:
(A) Federally-guaranteed student loans, in accordance with the terms of those guarantee programs; or
(B) Consumer loans, including non-federally-guaranteed student loans, provided that such payments are deferred pursuant to provisions included in the contract at the time funds are disbursed that provide for period(s) of deferral that are not initiated based on changes in the creditworthiness of the borrower; or
(vi) Is in default.
(3) Parameter A is the attachment point for the position, which represents the threshold at which credit losses will first be allocated to the position. Except as provided in § 324.210(b)(2)(vii)(D) for nth-to-default credit derivatives, parameter A equals the ratio of the current dollar amount of underlying exposures that are subordinated to the position of the FDIC-supervised institution to the current dollar amount of underlying exposures. Any reserve account funded by the accumulated cash flows from the underlying exposures that is subordinated to the position that contains the FDIC-supervised institution's securitization exposure may be included in the calculation of parameter A to the extent that cash is present in the account. Parameter A is expressed as a decimal value between zero and one.
(4) Parameter D is the detachment point for the position, which represents the threshold at which credit losses of principal allocated to the position would result in a total loss of principal. Except as provided in § 324.210(b)(2)(vii)(D) for nth-to-default credit derivatives, parameter D equals parameter A plus the ratio of the current dollar amount of the securitization positions that are pari passu with the position (that is, have equal seniority with respect to credit risk) to the current dollar amount of the underlying exposures. Parameter D is expressed as a decimal value between zero and one.
(5) A supervisory calibration parameter, p, is equal to 0.5 for securitization positions that are not resecuritization positions and equal to 1.5 for resecuritization positions.
(c) Mechanics of the SSFA. KG and W are used to calculate KA, the augmented value of KG, which reflects the observed credit quality of the underlying exposures. KA is defined in paragraph (d) of this section. The values of parameters A and D, relative to KA determine the specific risk-weighting factor assigned to a position as described in this paragraph (c) and paragraph (d) of this section. The specific risk-weighting factor assigned to a securitization position, or portion of a position, as appropriate, is the larger of the specific risk-weighting factor determined in accordance with this paragraph (c), paragraph (d) of this section, and a specific risk-weighting factor of 1.6 percent.
(1) When the detachment point, parameter D, for a securitization position is less than or equal to KA, the position must be assigned a specific risk-weighting factor of 100 percent.
(2) When the attachment point, parameter A, for a securitization position is greater than or equal to KA, the FDIC-supervised institution must calculate the specific risk-weighting factor in accordance with paragraph (d) of this section.
(3) When A is less than KA and D is greater than KA, the specific risk-weighting factor is a weighted-average of 1.00 and KSSFA calculated under paragraphs (c)(3)(i) and (c)(3)(ii) of this section. For the purpose of this calculation:
[78 FR 55471, Sept. 10, 2013, as amended at 79 FR 20761, Apr. 14, 2014]
(a) Scope. An FDIC-supervised institution must comply with this section unless it is a consolidated subsidiary of a bank holding company or a depository institution that is subject to these requirements or of a non-U.S. banking organization that is subject to comparable public disclosure requirements in its home jurisdiction. An FDIC-supervised institution must make timely public disclosures each calendar quarter. If a significant change occurs, such that the most recent reporting amounts are no longer reflective of the FDIC-supervised institution's capital adequacy and risk profile, then a brief discussion of this change and its likely impact must be provided as soon as practicable thereafter. Qualitative disclosures that typically do not change each quarter may be disclosed annually, provided any significant changes are disclosed in the interim. If an FDIC-supervised institution believes that disclosure of specific commercial or financial information would prejudice seriously its position by making public certain information that is either proprietary or confidential in nature, the FDIC-supervised institution is not required to disclose these specific items, but must disclose more general information about the subject matter of the requirement, together with the fact that, and the reason why, the specific items of information have not been disclosed. The FDIC-supervised institution's management may provide all of the disclosures required by this section in one place on the FDIC-supervised institution's public Web site or may provide the disclosures in more than one public financial report or other regulatory reports, provided that the FDIC-supervised institution publicly provides a summary table specifically indicating the location(s) of all such disclosures.
(b) Disclosure policy. The FDIC-supervised institution must have a formal disclosure policy approved by the board of directors that addresses the FDIC-supervised institution's approach for determining its market risk disclosures. The policy must address the associated internal controls and disclosure controls and procedures. The board of directors and senior management must ensure that appropriate verification of the disclosures takes place and that effective internal controls and disclosure controls and procedures are maintained. One or more senior officers of the FDIC-supervised institution must attest that the disclosures meet the requirements of this subpart, and the board of directors and senior management are responsible for establishing and maintaining an effective internal control structure over financial reporting, including the disclosures required by this section.
(c) Quantitative disclosures.
(1) For each material portfolio of covered positions, the FDIC-supervised institution must provide timely public disclosures of the following information at least quarterly:
(i) The high, low, and mean VaR-based measures over the reporting period and the VaR-based measure at period-end;
(ii) The high, low, and mean stressed VaR-based measures over the reporting period and the stressed VaR-based measure at period-end;
(iii) The high, low, and mean incremental risk capital requirements over the reporting period and the incremental risk capital requirement at period-end;
(iv) The high, low, and mean comprehensive risk capital requirements over the reporting period and the comprehensive risk capital requirement at period-end, with the period-end requirement broken down into appropriate risk classifications (for example, default risk, migration risk, correlation risk);
(v) Separate measures for interest rate risk, credit spread risk, equity price risk, foreign exchange risk, and commodity price risk used to calculate the VaR-based measure; and
(vi) A comparison of VaR-based estimates with actual gains or losses experienced by the FDIC-supervised institution, with an analysis of important outliers.
(2) In addition, the FDIC-supervised institution must disclose publicly the following information at least quarterly:
(i) The aggregate amount of on-balance sheet and off-balance sheet securitization positions by exposure type; and
(ii) The aggregate amount of correlation trading positions.
(d) Qualitative disclosures. For each material portfolio of covered positions, the FDIC-supervised institution must provide timely public disclosures of the following information at least annually after the end of the fourth calendar quarter, or more frequently in the event of material changes for each portfolio:
(1) The composition of material portfolios of covered positions;
(2) The FDIC-supervised institution's valuation policies, procedures, and methodologies for covered positions including, for securitization positions, the methods and key assumptions used for valuing such positions, any significant changes since the last reporting period, and the impact of such change;
(3) The characteristics of the internal models used for purposes of this subpart. For the incremental risk capital requirement and the comprehensive risk capital requirement, this must include:
(i) The approach used by the FDIC-supervised institution to determine liquidity horizons;
(ii) The methodologies used to achieve a capital assessment that is consistent with the required soundness standard; and
(iii) The specific approaches used in the validation of these models;
(4) A description of the approaches used for validating and evaluating the accuracy of internal models and modeling processes for purposes of this subpart;
(5) For each market risk category (that is, interest rate risk, credit spread risk, equity price risk, foreign exchange risk, and commodity price risk), a description of the stress tests applied to the positions subject to the factor;
(6) The results of the comparison of the FDIC-supervised institution's internal estimates for purposes of this subpart with actual outcomes during a sample period not used in model development;
(7) The soundness standard on which the FDIC-supervised institution's internal capital adequacy assessment under this subpart is based, including a description of the methodologies used to achieve a capital adequacy assessment that is consistent with the soundness standard;
(8) A description of the FDIC-supervised institution's processes for monitoring changes in the credit and market risk of securitization positions, including how those processes differ for resecuritization positions; and
(9) A description of the FDIC-supervised institution's policy governing the use of credit risk mitigation to mitigate the risks of securitization and resecuritization positions.
(a) Capital conservation and countercyclical capital buffer.
(1) From January 1, 2014, through December 31, 2015, an FDIC-supervised institution is not subject to limits on distributions and discretionary bonus payments under § 324.11 notwithstanding the amount of its capital conservation buffer or any applicable countercyclical capital buffer amount.
(2) Beginning January 1, 2016, through December 31, 2018, an FDIC-supervised institution's maximum payout ratio shall be determined as set forth in Table 1 to § 324.300.
Table 1 to § 324.300
| Transition period | Capital conservation buffer | Maximum payout ratio (as a percentage of eligible retained income) |
|---|---|---|
| Calendar year 2016 | Greater than 0.625 percent (plus 25 percent of any applicable countercyclical capital buffer amount) | No payout ratio limitation applies under this section. |
| Less than or equal to 0.625 percent (plus 25 percent of any applicable countercyclical capital buffer amount), and greater than 0.469 percent (plus 17.25 percent of any applicable countercyclical capital buffer amount) | 60 percent. | |
| Less than or equal to 0.469 percent (plus 17.25 percent of any applicable countercyclical capital buffer amount), and greater than 0.313 percent (plus 12.5 percent of any applicable countercyclical capital buffer amount) | 40 percent. | |
| Less than or equal to 0.313 percent (plus 12.5 percent of any applicable countercyclical capital buffer amount), and greater than 0.156 percent (plus 6.25 percent of any applicable countercyclical capital buffer amount) | 20 percent. | |
| Less than or equal to 0.156 percent (plus 6.25 percent of any applicable countercyclical capital buffer amount) | 0 percent. | |
| Calendar year 2017 | Greater than 1.25 percent (plus 50 percent of any applicable countercyclical capital buffer amount) | No payout ratio limitation applies under this section. |
| Less than or equal to 1.25 percent (plus 50 percent of any applicable countercyclical capital buffer amount), and greater than 0.938 percent (plus 37.5 percent of any applicable countercyclical capital buffer amount) | 60 percent. | |
| Less than or equal to 0.938 percent (plus 37.5 percent of any applicable countercyclical capital buffer amount), and greater than 0.625 percent (plus 25 percent of any applicable countercyclical capital buffer amount) | 40 percent. | |
| Less than or equal to 0.625 percent (plus 25 percent of any applicable countercyclical capital buffer amount), and greater than 0.313 percent (plus 12.5 percent of any applicable countercyclical capital buffer amount) | 20 percent. | |
| Less than or equal to 0.313 percent (plus 12.5 percent of any applicable countercyclical capital buffer amount) | 0 percent. | |
| Calendar year 2018 | Greater than 1.875 percent (plus 75 percent of any applicable countercyclical capital buffer amount) | No payout ratio limitation applies under this section. |
| Less than or equal to 1.875 percent (plus 75 percent of any applicable countercyclical capital buffer amount), and greater than 1.406 percent (plus 56.25 percent of any applicable countercyclical capital buffer amount) | 60 percent. | |
| Less than or equal to 1.406 percent (plus 56.25 percent of any applicable countercyclical capital buffer amount), and greater than 0.938 percent (plus 37.5 percent of any applicable countercyclical capital buffer amount) | 40 percent. | |
| Less than or equal to 0.938 percent (plus 37.5 percent of any applicable countercyclical capital buffer amount), and greater than 0.469 percent (plus 18.75 percent of any applicable countercyclical capital buffer amount) | 20 percent. | |
| Less than or equal to 0.469 percent (plus 18.75 percent of any applicable countercyclical capital buffer amount) | 0 percent. |
(b) [Reserved]
(c) Non-qualifying capital instruments. Depository institutions.
(1) Beginning on January 1, 2014, a depository institution that is an advanced approaches FDIC-supervised institution, and beginning on January 1, 2015, all other depository institutions may include in regulatory capital debt or equity instruments issued prior to September 12, 2010, that do not meet the criteria for additional tier 1 or tier 2 capital instruments in § 324.20 but that were included in tier 1 or tier 2 capital respectively as of September 12, 2010 (non-qualifying capital instruments issued prior to September 12, 2010) up to the percentage of the outstanding principal amount of such non-qualifying capital instruments as of January 1, 2014 in accordance with Table 8 to § 324.300.
(2) Table 8 to § 324.300 applies separately to tier 1 and tier 2 non-qualifying capital instruments.
(3) The amount of non-qualifying capital instruments that cannot be included in additional tier 1 capital under this section may be included in tier 2 capital without limitation, provided that the instruments meet the criteria for tier 2 capital instruments under § 324.20(d).
Table 8 to § 324.300
| Transition period (calendar year) |
Percentage of non-qualifying capital instruments includable in additional tier 1 or tier 2 capital |
|---|---|
| Calendar year 2014 | 80 |
| Calendar year 2015 | 70 |
| Calendar year 2016 | 60 |
| Calendar year 2017 | 50 |
| Calendar year 2018 | 40 |
| Calendar year 2019 | 30 |
| Calendar year 2020 | 20 |
| Calendar year 2021 | 10 |
| Calendar year 2022 and thereafter | 0 |
(d) [Reserved]
(e) Prompt corrective action. For purposes of subpart H of this part, an FDIC-supervised institution must calculate its capital measures and tangible equity ratio in accordance with the transition provisions in this section.
(f) An FDIC-supervised institution that is not an advanced approaches FDIC-supervised institution may apply the treatment under §§ 324.21 and 324.22(c)(2), (5), (6), and (d)(2) applicable to an advanced approaches FDIC-supervised institution during the calendar quarter beginning January 1, 2020. During the quarter beginning January 1, 2020, an FDIC-supervised institution that makes such an election must deduct 80 percent of the amount otherwise required to be deducted under § 324.22(d)(2) and must apply a 100 percent risk weight to assets not deducted under § 324.22(d)(2). In addition, during the quarter beginning January 1, 2020, an FDIC-supervised institution that makes such an election must include in its regulatory capital 20 percent of any minority interest that exceeds the amount of minority interest includable in regulatory capital under § 324.21 as it applies to an advanced approaches FDIC-supervised institution. An FDIC-supervised institution that is not an advanced approaches institution must apply the treatment under §§ 324.21 and 324.22 applicable to an FDIC-supervised institution that is a non-advanced approaches institution beginning April 1, 2020, and thereafter.
(g) SA-CCR. An advanced approaches FDIC-supervised institution may use CEM rather than SA-CCR for purposes of §§ 324.34(a) and 324.132(c) until January 1, 2022. A FDIC-supervised institution must provide prior notice to the FDIC if it decides to begin using SA-CCR before January 1, 2022. On January 1, 2022, and thereafter, an advanced approaches FDIC-supervised institution must use SA-CCR for purposes of §§ 324.34(a), 324.132(c), and 324.133(d). Once an advanced approaches FDIC-supervised institution has begun to use SA-CCR, the advanced approaches FDIC-supervised institution may not change to use CEM.
(h) Default fund contributions. Prior to January 1, 2022, a FDIC-supervised institution that calculates the exposure amounts of its derivative contracts under the standardized approach for counterparty credit risk in § 324.132(c) may calculate the risk-weighted asset amount for a default fund contribution to a QCCP under either method 1 under § 324.35(d)(3)(i) or method 2 under § 324.35(d)(3)(ii), rather than under § 324.133(d).
[78 FR 55471, Sept. 10, 2013, as amended at 82 FR 55317, Nov. 21, 2017; 84 FR 35280, July 22, 2019; 84 FR 61808, Nov. 13, 2019; 85 FR 4443, Jan. 24, 2020]
(a) CECL transition provision.
(1) Except as provided in paragraph (d) of this section, an FDIC-supervised institution may elect to use a CECL transition provision pursuant to this section only if the FDIC-supervised institution records a reduction in retained earnings due to the adoption of CECL as of the beginning of the fiscal year in which the FDIC-supervised institution adopts CECL.
(2) Except as provided in paragraph (d) of this section, an FDIC-supervised institution that elects to use the CECL transition provision must elect to use the CECL transition provision in the first Call Report that includes CECL filed by the FDIC-supervised institution after it adopts CECL.
(3) An FDIC-supervised institution that does not elect to use the CECL transition provision as of the first Call Report that includes CECL filed as described in paragraph (a)(2) of this section may not elect to use the CECL transition provision in subsequent reporting periods.
(b) Definitions. For purposes of this section, the following definitions apply:
(1) Transition period means the three-year period, beginning the first day of the fiscal year in which an FDIC-supervised institution adopts CECL and reflects CECL in its first Call Report filed after that date; or, for the 2020 CECL transition provision under paragraph (d) of this section, the five-year period beginning on the earlier of the date an FDIC-supervised institution was required to adopt CECL for accounting purposes under GAAP (as in effect January 1, 2020), or the first day of the fiscal year that begins during the 2020 calendar year in which the FDIC-supervised institution files regulatory reports that include CECL.
(2) CECL transitional amount means the difference, net of any DTAs, in the amount of an FDIC-supervised institution's retained earnings as of the beginning of the fiscal year in which the FDIC-supervised institution adopts CECL from the amount of the FDIC-supervised institution's retained earnings as of the closing of the fiscal year-end immediately prior to the FDIC-supervised institution's adoption of CECL.
(3) DTA transitional amount means the difference in the amount of an FDIC-supervised institution's DTAs arising from temporary differences as of the beginning of the fiscal year in which the FDIC-supervised institution adopts CECL from the amount of the FDIC-supervised institution's DTAs arising from temporary differences as of the closing of the fiscal year-end immediately prior to the FDIC-supervised institution's adoption of CECL.
(4) AACL transitional amount means the difference in the amount of an FDIC-supervised institution's AACL as of the beginning of the fiscal year in which the FDIC-supervised institution adopts CECL and the amount of the FDIC-supervised institution's ALLL as of the closing of the fiscal year-end immediately prior to the FDIC-supervised institution's adoption of CECL.
(5) Eligible credit reserves transitional amount means the difference in the amount of an FDIC-supervised institution's eligible credit reserves as of the beginning of the fiscal year in which the FDIC-supervised institution adopts CECL from the amount of the FDIC-supervised institution's eligible credit reserves as of the closing of the fiscal year-end immediately prior to the FDIC-supervised institution's adoption of CECL.
(c) Calculation of the three-year CECL transition provision.
(1) For purposes of the election described in paragraph (a)(1) of this section and except as provided in paragraph (d) of this section, an FDIC-supervised institution must make the following adjustments in its calculation of regulatory capital ratios:
(i) Increase retained earnings by seventy-five percent of its CECL transitional amount during the first year of the transition period, increase retained earnings by fifty percent of its CECL transitional amount during the second year of the transition period, and increase retained earnings by twenty-five percent of its CECL transitional amount during the third year of the transition period;
(ii) Decrease amounts of DTAs arising from temporary differences by seventy-five percent of its DTA transitional amount during the first year of the transition period, decrease amounts of DTAs arising from temporary differences by fifty percent of its DTA transitional amount during the second year of the transition period, and decrease amounts of DTAs arising from temporary differences by twenty-five percent of its DTA transitional amount during the third year of the transition period;
(iii) Decrease amounts of AACL by seventy-five percent of its AACL transitional amount during the first year of the transition period, decrease amounts of AACL by fifty percent of its AACL transitional amount during the second year of the transition period, and decrease amounts of AACL by twenty-five percent of its AACL transitional amount during the third year of the transition period; and
(iv) Increase average total consolidated assets as reported on the Call Report for purposes of the leverage ratio by seventy-five percent of its CECL transitional amount during the first year of the transition period, increase average total consolidated assets as reported on the Call Report for purposes of the leverage ratio by fifty percent of its CECL transitional amount during the second year of the transition period, and increase average total consolidated assets as reported on the Call Report for purposes of the leverage ratio by twenty-five percent of its CECL transitional amount during the third year of the transition period.
(2) For purposes of the election described in paragraph (a)(1) of this section, an advanced approaches or Category III FDIC-supervised institution must make the following additional adjustments to its calculation of its applicable regulatory capital ratios:
(i) Increase total leverage exposure for purposes of the supplementary leverage ratio by seventy-five percent of its CECL transitional amount during the first year of the transition period, increase total leverage exposure for purposes of the supplementary leverage ratio by fifty percent of its CECL transitional amount during the second year of the transition period, and increase total leverage exposure for purposes of the supplementary leverage ratio by twenty-five percent of its CECL transitional amount during the third year of the transition period; and
(ii) An advanced approaches FDIC-supervised institution that has completed the parallel run process and that has received notification from the FDIC pursuant to § 324.121(d) must decrease amounts of eligible credit reserves by seventy-five percent of its eligible credit reserves transitional amount during the first year of the transition period, decrease amounts of eligible credit reserves by fifty percent of its eligible credit reserves transitional amount during the second year of the transition provision, and decrease amounts of eligible credit reserves by twenty-five percent of its eligible credit reserves transitional amount during the third year of the transition period.
(d) 2020 CECL transition provision. Notwithstanding paragraph (a) of this section, an FDIC-supervised institution that adopts CECL for accounting purposes under GAAP as of the first day of a fiscal year that begins during the 2020 calendar year may elect to use the transitional amounts and modified transitional amounts in paragraph (d)(1) of this section with the 2020 CECL transition provision calculation in paragraph (d)(2) of this section to adjust its calculation of regulatory capital ratios during each quarter of the transition period in which an FDIC-supervised institution uses CECL for purposes of its Call Report. An FDIC supervised-institution may use the transition provision in this paragraph (d) if it has a positive modified CECL transitional amount during any quarter ending in 2020 and makes the election in the Call Report filed for the same quarter. An FDIC-supervised institution that does not calculate a positive modified CECL transitional amount in any quarter is not required to apply the adjustments in its calculation of regulatory capital ratios in paragraph (d)(2) of this section in that quarter.
(1) Definitions. For purposes of the 2020 CECL transition provision calculation in paragraph (d)(2) of this section, the following definitions apply:
(i) Modified CECL transitional amount means:
(A) During the first two years of the transition period, the difference between AACL as reported in the most recent Call Report and the AACL as of the beginning of the fiscal year in which the FDIC-supervised institution adopts CECL, multiplied by 0.25, plus the CECL transitional amount; and
(B) During the last three years of the transition period, the difference between AACL as reported in the Call Report at the end of the second year of the transition period and the AACL as of the beginning of the fiscal year in which the FDIC-supervised institution adopts CECL, multiplied by 0.25, plus the CECL transitional amount.
(ii) Modified AACL transitional amount means:
(A) During the first two years of the transition period, the difference between AACL as reported in the most recent Call Report, and the AACL as of the beginning of the fiscal year in which the FDIC-supervised institution adopts CECL, multiplied by 0.25, plus the AACL transitional amount; and
(B) During the last three years of the transition period, the difference between AACL as reported in the Call Report at the end of the second year of the transition period and the AACL as of the beginning of the fiscal year in which the FDIC-supervised institution adopts CECL, multiplied by 0.25, plus the AACL transitional amount.
(2) Calculation of 2020 CECL transition provision.
(i) An FDIC-supervised institution that has elected the 2020 CECL transition provision described in this paragraph (d) may make the following adjustments in its calculation of regulatory capital ratios:
(A) Increase retained earnings by one-hundred percent of its modified CECL transitional amount during the first year of the transition period, increase retained earnings by one hundred percent of its modified CECL transitional amount during the second year of the transition period, increase retained earnings by seventy-five percent of its modified CECL transitional amount during the third year of the transition period, increase retained earnings by fifty percent of its modified CECL transitional amount during the fourth year of the transition period, and increase retained earnings by twenty-five percent of its modified CECL transitional amount during the fifth year of the transition period;
(B) Decrease amounts of DTAs arising from temporary differences by one-hundred percent of its DTA transitional amount during the first year of the transition period, decrease amounts of DTAs arising from temporary differences by one hundred percent of its DTA transitional amount during the second year of the transition period, decrease amounts of DTAs arising from temporary differences by seventy-five percent of its DTA transitional amount during the third year of the transition period, decrease amounts of DTAs arising from temporary differences by fifty percent of its DTA transitional amount during the fourth year of the transition period, and decrease amounts of DTAs arising from temporary differences by twenty-five percent of its DTA transitional amount during the fifth year of the transition period;
(C) Decrease amounts of AACL by one-hundred percent of its modified AACL transitional amount during the first year of the transition period, decrease amounts of AACL by one hundred percent of its modified AACL transitional amount during the second year of the transition period, decrease amounts of AACL by seventy-five percent of its modified AACL transitional amount during the third year of the transition period, decrease amounts of AACL by fifty percent of its modified AACL transitional amount during the fourth year of the transition period, and decrease amounts of AACL by twenty-five percent of its modified AACL transitional amount during the fifth year of the transition period; and
(D) Increase average total consolidated assets as reported on the Call Report for purposes of the leverage ratio by one-hundred percent of its modified CECL transitional amount during the first year of the transition period, increase average total consolidated assets as reported on the Call Report for purposes of the leverage ratio by one hundred percent of its modified CECL transitional amount during the second year of the transition period, increase average total consolidated assets as reported on the Call Report for purposes of the leverage ratio by seventy-five percent of its modified CECL transitional amount during the third year of the transition period, increase average total consolidated assets as reported on the Call Report for purposes of the leverage ratio by fifty percent of its modified CECL transitional amount during the fourth year of the transition period, and increase average total consolidated assets as reported on the Call Report for purposes of the leverage ratio by twenty-five percent of its modified CECL transitional amount during the fifth year of the transition period.
(ii) An advanced approaches or Category III FDIC-supervised institution that has elected the 2020 CECL transition provision described in this paragraph (d) may make the following additional adjustments to its calculation of its applicable regulatory capital ratios:
(A) Increase total leverage exposure for purposes of the supplementary leverage ratio by one-hundred percent of its modified CECL transitional amount during the first year of the transition period, increase total leverage exposure for purposes of the supplementary leverage ratio by one hundred percent of its modified CECL transitional amount during the second year of the transition period, increase total leverage exposure for purposes of the supplementary leverage ratio by seventy-five percent of its modified CECL transitional amount during the third year of the transition period, increase total leverage exposure for purposes of the supplementary leverage ratio by fifty percent of its modified CECL transitional amount during the fourth year of the transition period, and increase total leverage exposure for purposes of the supplementary leverage ratio by twenty-five percent of its modified CECL transitional amount during the fifth year of the transition period; and
(B) An advanced approaches FDIC-supervised institution that has completed the parallel run process and that has received notification from the FDIC pursuant to § 324.121(d) must decrease amounts of eligible credit reserves by one-hundred percent of its eligible credit reserves transitional amount during the first year of the transition period, decrease amounts of eligible credit reserves by one hundred percent of its eligible credit reserves transitional amount during the second year of the transition period, decrease amounts of eligible credit reserves by seventy-five percent of its eligible credit reserves transitional amount during the third year of the transition period, decrease amounts of eligible credit reserves by fifty percent of its eligible credit reserves transitional amount during the fourth year of the transition period, and decrease amounts of eligible credit reserves by twenty-five percent of its eligible credit reserves transitional amount during the fifth year of the transition period.
(e) Eligible credit reserves shortfall. An advanced approaches FDIC-supervised institution that has completed the parallel run process and that has received notification from the FDIC pursuant to § 324.121(d), whose amount of expected credit loss exceeded its eligible credit reserves immediately prior to the adoption of CECL, and that has an increase in common equity tier 1 capital as of the beginning of the fiscal year in which it adopts CECL after including the first year portion of the CECL transitional amount (or modified CECL transitional amount) must decrease its CECL transitional amount used in paragraph (c) of this section (or modified CECL transitional amount used in paragraph (d) of this section) by the full amount of its DTA transitional amount.
(f) Business combinations. Notwithstanding any other requirement in this section, for purposes of this paragraph (f), in the event of a business combination involving an FDIC-supervised institution where one or both FDIC-supervised institutions have elected the treatment described in this section:
(1) If the acquirer FDIC-supervised institution (as determined under GAAP) elected the treatment described in this section, the acquirer FDIC-supervised institution must continue to use the transitional amounts (unaffected by the business combination) that it calculated as of the date that it adopted CECL through the end of its transition period.
(2) If the acquired insured depository institution (as determined under GAAP) elected the treatment described in this section, any transitional amount of the acquired insured depository institution does not transfer to the resulting FDIC-supervised institution.
[85 FR 61591, Sept. 30, 2020]
Notwithstanding any other section of this part, an FDIC-supervised institution may exclude exposures acquired pursuant to a non-recourse loan that is provided as part of the Money Market Mutual Fund Liquidity Facility, announced by the Federal Reserve on March 18, 2020, from total leverage exposure, average total consolidated assets, advanced approaches total risk-weighted assets, and standardized total risk-weighted assets, as applicable.
For the purpose of this provision, an FDIC-supervised institution's liability under the facility must be reduced by the purchase price of the assets acquired with funds advanced from the facility.
[85 FR 16237, Mar. 23, 2020]
(a)
(1) An FDIC-supervised institution that is not an advanced approaches FDIC-supervised institution and that meets all the criteria to be a qualifying community banking organization under § 324.12(a)(2) but for § 324.12(a)(2)(i) is a qualifying community banking organization if it has a leverage ratio equal to or greater than 8 percent.
(2) Notwithstanding § 324.12(a)(1), a qualifying community banking organization that has made an election to use the community bank leverage ratio framework under § 324.12(a)(3) shall be considered to have met the minimum capital requirements under § 324.10, the capital ratio requirements for the well capitalized capital category under § 324.403(b)(1) of this part, and any other capital or leverage requirements to which the qualifying community banking organization is subject, if it has a leverage ratio equal to or greater than 8 percent.
(b) Notwithstanding § 324.12(c)(6) and subject to § 324.12(c)(5), a qualifying community banking organization that has a leverage ratio of 7 percent or greater has the grace period described in § 324.12(c)(1) through (4). An FDIC-supervised institution that has a leverage ratio of less than 7 percent does not have a grace period and must comply with the minimum capital requirements under § 324.10(a)(1) and must report the required capital measures under § 324.10(a)(1) for the quarter in which it reports a leverage ratio of less than 7 percent.
(c) Pursuant to section 4012 of the Coronavirus Aid, Relief, and Economic Security Act, the requirements provided under paragraphs (a) and (b) of this section are effective during the period beginning on April 23, 2020 and ending on the sooner of:
(1) The termination date of the national emergency concerning the novel coronavirus disease outbreak declared by the President on March 13, 2020, under the National Emergencies Act (50 U.S.C. 1601 et seq.); or
(2) December 31, 2020.
(d) Upon the termination of the requirements in paragraphs (a) and (b) of this section as provided in paragraph (c) of this section, a qualifying community banking organization, as defined in § 324.12(a)(2), is subject to the following:
(1) Through December 31, 2020:
(i) An FDIC-supervised institution that is not an advanced approaches FDIC-supervised institution and that meets all the criteria to be a qualifying community banking organization under § 324.12(a)(2) but for § 324.12(a)(2)(i) is a qualifying banking organization if it has a leverage ratio greater than 8 percent.
(ii) Notwithstanding § 324.12(a)(1), a qualifying community banking organization that has made an election to use the community bank leverage ratio framework under § 324.12(a)(3) shall be considered to have met the minimum capital requirements under § 324.10, the capital ratio requirements for the well capitalized capital category under § 324.403(b)(1) of this part, and any other capital or leverage requirements to which the qualifying community banking organization is subject, if it has a leverage ratio greater than 8 percent.
(iii) Notwithstanding § 324.12(c)(6) and subject to § 324.12(c)(5), a qualifying community banking organization that has a leverage ratio of greater than 7 percent has the grace period described in § 324.12(c)(1) through (4). An FDIC-supervised institution that has a leverage ratio of 7 percent or less does not have a grace period and must comply with the minimum capital requirements under § 324.10(a)(1) and must report the required capital measures under § 324.10(a)(1) for the quarter in which it reports a leverage ratio of 7 percent or less.
(2) From January 1, 2021, through December 31, 2021:
(i) An FDIC-supervised institution that is not an advanced approaches FDIC-supervised institution and that meets all the criteria to be a qualifying community banking organization under § 324.12(a)(2) but for § 324.12(a)(2)(i) is a qualifying banking organization if it has a leverage ratio greater than 8.5 percent.
(ii) Notwithstanding § 324.12(a)(1), a qualifying community banking organization that has made an election to use the community bank leverage ratio framework under § 324.12(a)(3) shall be considered to have met the minimum capital requirements under § 324.10, the capital ratio requirements for the well capitalized capital category under § 324.403(b)(1) of this part, and any other capital or leverage requirements to which the qualifying community banking organization is subject, if it has a leverage ratio greater than 8.5 percent.
(iii) Notwithstanding § 324.12(c)(6) and subject to § 3247.12(c)(5), a qualifying community banking organization that has a leverage ratio of greater than 7.5 percent has the grace period described in § 324.12(c)(1) through (4). An FDIC-supervised institution that has a leverage ratio of 7.5 percent or less does not have a grace period and must comply with the minimum capital requirements under § 324.10(a)(1) and must report the required capital measures under § 324.10(a)(1) for the quarter in which it reports a leverage ratio of 7.5 percent or less.
[85 FR 22929, Apr. 23, 2020, as amended at 85 FR 22938, Apr. 23, 2020]
(a) In general. Subject to paragraphs (b) through (g) of this section, and notwithstanding any other requirement in this part, an FDIC-supervised institution, when calculating on-balance sheet assets as of each day of a reporting quarter for purposes of determining the FDIC-supervised institution's total leverage exposure under § 324.10(c), may exclude the balance sheet carrying value of the following items:
(1) U.S. Treasury securities; and
(2) Funds on deposit at a Federal Reserve Bank.
(b) Opt-in period. Before applying the relief provided in paragraph (a) of this section, an FDIC-supervised institution must first notify the appropriate regional director of the FDIC Division of Risk Management Supervision before July 1, 2020.
(c) Calculation of relief. When calculating on-balance sheet assets as of each day of a reporting quarter, the relief provided in paragraph (a) of this section applies from the beginning of the reporting quarter in which the FDIC-supervised institution filed an opt-in notice through the termination date specified in paragraph (d) of this section.
(d) Termination of exclusions. This section shall cease to be effective after the reporting period that ends March 31, 2021.
(e) Custody bank. A custody bank must reduce the amount in § 324.10(c)(2)(x)(A) (to no less than zero) by any amount excluded under paragraph (a)(2) of this section.
(f) Disclosure. Notwithstanding Table 13 to § 324.173, an FDIC-supervised institution that is required to make the disclosures pursuant to § 324.173 must exclude the items excluded pursuant to paragraph (a) of this section from Table 13 to § 324.173.
(g) FDIC approval for distributions. During the calendar quarter beginning on July 1, 2020, and until March 31, 2021, no FDIC-supervised institution that has opted in to the relief provided under paragraph (a) of this section may make a distribution, or create an obligation to make such a distribution, without prior FDIC approval. When reviewing a request under this paragraph (g), the FDIC will consider all relevant factors, including whether the distribution would be contrary to the safety and soundness of the FDIC-supervised institution; the nature, purpose, and extent of the request; and the particular circumstances giving rise to the request.
[85 FR 32990, June 1, 2020, as amended at 86 FR 745, Jan. 6, 2021]
Notwithstanding any other section of this part, an FDIC-supervised institution may exclude exposures pledged as collateral for a non-recourse loan that is provided as part of the Paycheck Protection Program Lending Facility, announced by the Federal Reserve on April 7, 2020, from total leverage exposure, average total consolidated assets, advanced approaches total risk-weighted assets, and standardized total risk-weighted assets, as applicable. For the purpose of this section, an FDIC-supervised institution's liability under the facility must be reduced by the principal amount of the loans pledged as collateral for funds advanced under the facility.
[85 FR 20394, Apr. 13, 2020. Redesignated at 85 FR 32990, June 1, 2020]
(a) Authority. This subpart H is issued by the FDIC pursuant to section 38 of the Federal Deposit Insurance Act (FDI Act), as added by section 131 of the Federal Deposit Insurance Corporation Improvement Act of 1991 (Pub.L. 102-242, 105 Stat. 2236 (1991)) (12 U.S.C. 1831o).
(b) Purpose. Section 38 of the FDI Act establishes a framework of supervisory actions for insured depository institutions that are not adequately capitalized. The principal purpose of this subpart is to define, for FDIC-supervised institutions, the capital measures and capital levels, and for insured branches of foreign banks, comparable asset-based measures and levels, that are used for determining the supervisory actions authorized under section 38 of the FDI Act. This subpart also establishes procedures for submission and review of capital restoration plans and for issuance and review of directives and orders pursuant to section 38 of the FDI Act.
(c) Scope. Until January 1, 2015, subpart B of part 325 of this chapter will continue to apply to banks and insured branches of foreign banks for which the FDIC is the appropriate Federal banking agency. Until January 1, 2015, subpart Y of part 390 of this chapter will continue to apply to state savings associations. Beginning on, and thereafter, January 1, 2015, this subpart H implements the provisions of section 38 of the FDI Act as they apply to FDIC-supervised institutions and insured branches of foreign banks for which the FDIC is the appropriate Federal banking agency. Certain of these provisions also apply to officers, directors and employees of those insured institutions. In addition, certain provisions of this subpart apply to all insured depository institutions that are deemed critically undercapitalized.
(d) Other supervisory authority. Neither section 38 of the FDI Act nor this subpart H in any way limits the authority of the FDIC under any other provision of law to take supervisory actions to address unsafe or unsound practices, deficient capital levels, violations of law, unsafe or unsound conditions, or other practices. Action under section 38 of the FDI Act and this subpart H may be taken independently of, in conjunction with, or in addition to any other enforcement action available to the FDIC, including issuance of cease and desist orders, capital directives, approval or denial of applications or notices, assessment of civil money penalties, or any other actions authorized by law.
(e) Disclosure of capital categories. The assignment of an FDIC-supervised institution or an insured branch of a foreign bank for which the FDIC is the appropriate Federal banking agency under this subpart H within a particular capital category is for purposes of implementing and applying the provisions of section 38 of the FDI Act. Unless permitted by the FDIC or otherwise required by law, no FDIC-supervised institution or insured branch of a foreign bank for which the FDIC is the appropriate Federal banking agency may state in any advertisement or promotional material its capital category under this subpart H or that the FDIC or any other Federal banking agency has assigned it to a particular capital category.
(f) Transition procedures -
(1) Definitions applicable before January 1, 2015, for certain FDIC-supervised institutions. Before January 1, 2015, notwithstanding any other requirement in this subpart H and with respect to any FDIC-supervised institution that is not an advanced approaches FDIC-supervised institution:
(i) The definitions of leverage ratio, tangible equity, tier 1 capital, tier 1 risk-based capital, and total risk-based capital as calculated or defined under Appendix A to part 325 or Appendix B to part 325, as applicable, remain in effect for purposes of this subpart H; and
(ii) The term total assets shall have the meaning provided in 12 CFR 325.2(x).
(2) Timing. The calculation of the definitions of common equity tier 1 capital, the common equity tier 1 risk-based capital ratio, the leverage ratio, the supplementary leverage ratio, tangible equity, tier 1 capital, the tier 1 risk-based capital ratio, total assets, total leverage exposure, the total risk-based capital ratio, and total risk-weighted assets under this subpart H is subject to the timing provisions at 12 CFR 324.1(f) and the transitions at 12 CFR part 324, subpart G.
(g) For purposes of subpart H, as of January 1, 2015, total assets means quarterly average total assets as reported in an FDIC-supervised institution's Call Report, minus amounts deducted from tier 1 capital under § 324.22(a), (c), and (d). At its discretion, the FDIC may calculate total assets using an FDIC-supervised institution's period-end assets rather than quarterly average assets.
(a) Effective date of determination of capital category. An FDIC-supervised institution shall be deemed to be within a given capital category for purposes of section 38 of the FDI Act and this subpart H as of the date the FDIC-supervised institution is notified of, or is deemed to have notice of, its capital category, pursuant to paragraph (b) of this section.
(b) Notice of capital category. An FDIC-supervised institution shall be deemed to have been notified of its capital levels and its capital category as of the most recent date:
(1) A Call Report is required to be filed with the FDIC;
(2) A final report of examination is delivered to the FDIC-supervised institution; or
(3) Written notice is provided by the FDIC to the FDIC-supervised institution of its capital category for purposes of section 38 of the FDI Act and this subpart or that the FDIC-supervised institution's capital category has changed as provided in § 324.403(d).
(c) Adjustments to reported capital levels and capital category -
(1) Notice of adjustment by bank or state savings association. An FDIC-supervised institution shall provide the appropriate FDIC regional director with written notice that an adjustment to the FDIC-supervised institution's capital category may have occurred no later than 15 calendar days following the date that any material event has occurred that would cause the FDIC-supervised institution to be placed in a lower capital category from the category assigned to the FDIC-supervised institution for purposes of section 38 of the FDI Act and this subpart H on the basis of the FDIC-supervised institution's most recent Call Report or report of examination.
(2) Determination by the FDIC to change capital category. After receiving notice pursuant to paragraph (c)(1) of this section, the FDIC shall determine whether to change the capital category of the FDIC-supervised institution and shall notify the bank or state savings association of the FDIC's determination.
(a) Capital measures.
(1) For purposes of section 38 of the FDI Act and this subpart H, the relevant capital measures are:
(i) Total Risk-Based Capital Measure: The total risk-based capital ratio;
(ii) Tier 1 Risk-Based Capital Measure: The tier 1 risk-based capital ratio;
(iii) Common Equity Tier 1 Capital Measure: The common equity tier 1 risk-based capital ratio; and
(iv) Leverage Measure:
(A) The leverage ratio; and
(B) With respect to an advanced approaches FDIC-supervised institutions, on January 1, 2018, and thereafter, the supplementary leverage ratio.
(2) For a qualifying community banking organization (as defined under § 324.12), that has elected to use the community bank leverage ratio framework (as defined under § 324.12), the leverage ratio calculated in accordance with § 324.12(b) is used to determine the well capitalized capital category under paragraph (b)(1)(i)(A) through (D) of this section.
(b) Capital categories. For purposes of section 38 of the FDI Act and this subpart, an FDIC-supervised institution shall be deemed to be:
(1)
(i) “Well capitalized” if:
(A) Total Risk-Based Capital Measure: The FDIC-supervised institution has a total risk-based capital ratio of 10.0 percent or greater; and
(B) Tier 1 Risk-Based Capital Measure: The FDIC-supervised institution has a tier 1 risk-based capital ratio of 8.0 percent or greater; and
(C) Common Equity Tier 1 Capital Measure: The FDIC-supervised institution has a common equity tier 1 risk-based capital ratio of 6.5 percent or greater; and
(D) The FDIC-supervised institution has a leverage ratio of 5.0 percent or greater; and
(E) The FDIC-supervised institution is not subject to any written agreement, order, capital directive, or prompt corrective action directive issued by the FDIC pursuant to section 8 of the FDI Act (12 U.S.C. 1818), the International Lending Supervision Act of 1983 (12 U.S.C. 3907), or the Home Owners' Loan Act (12 U.S.C. 1464(t)(6)(A)(ii)), or section 38 of the FDI Act (12 U.S.C. 1831o), or any regulation thereunder, to meet and maintain a specific capital level for any capital measure.
(ii) An FDIC-supervised institution that is a subsidiary of a global systemically important bank holding company will be deemed to be well capitalized if the FDIC-supervised institution satisfies paragraphs (b)(1)(i)(A) through (E) of this section and has a supplementary leverage ratio of 6.0 percent or greater. For purposes of this paragraph (b)(1)(ii), global systemically important bank holding company has the same meaning as in 12 CFR 217.402.
(iii) A qualifying community banking organization, as defined under § 324.12, that has elected to use the community bank leverage ratio framework under § 324.12 shall be considered to have met the capital ratio requirements for the well capitalized capital category in paragraph (b)(1)(i)(A) through (D) of this section.
(2) “Adequately capitalized” if it:
(i) Has a total risk-based capital ratio of 8.0 percent or greater; and
(ii) Has a Tier 1 risk-based capital ratio of 6.0 percent or greater; and
(iii) Has a common equity tier 1 capital ratio of 4.5 percent or greater; and
(iv) Has a leverage ratio of 4.0 percent or greater; and
(v) Does not meet the definition of “well capitalized” in this section.
(vi) Beginning January 1, 2018, an advanced approaches or Category III FDIC-supervised institution will be deemed to be “adequately capitalized” if it satisfies paragraphs (b)(2)(i) through (v) of this section and has a supplementary leverage ratio of 3.0 percent or greater, as calculated in accordance with § 324.10.
(3) “Undercapitalized” if it:
(i) Has a total risk-based capital ratio that is less than 8.0 percent; or
(ii) Has a Tier 1 risk-based capital ratio that is less than 6.0 percent; or
(iii) Has a common equity tier 1 capital ratio that is less than 4.5 percent; or
(iv) Has a leverage ratio that is less than 4.0 percent.
(v) Beginning January 1, 2018, an advanced approaches or Category III FDIC-supervised institution will be deemed to be “undercapitalized” if it has a supplementary leverage ratio of less than 3.0 percent, as calculated in accordance with § 324.10.
(4) “Significantly undercapitalized” if it has:
(i) A total risk-based capital ratio that is less than 6.0 percent; or
(ii) A Tier 1 risk-based capital ratio that is less than 4.0 percent; or
(iii) A common equity tier 1 capital ratio that is less than 3.0 percent; or
(iv) A leverage ratio that is less than 3.0 percent.
(5) “Critically undercapitalized” if the insured depository institution has a ratio of tangible equity to total assets that is equal to or less than 2.0 percent.
(c) Capital categories for insured branches of foreign banks. For purposes of the provisions of section 38 of the FDI Act and this subpart H, an insured branch of a foreign bank shall be deemed to be:
(1) “Well capitalized” if the insured branch:
(i) Maintains the pledge of assets required under § 347.209 of this chapter; and
(ii) Maintains the eligible assets prescribed under § 347.210 of this chapter at 108 percent or more of the preceding quarter's average book value of the insured branch's third-party liabilities; and
(iii) Has not received written notification from:
(A) The OCC to increase its capital equivalency deposit pursuant to 12 CFR 28.15, or to comply with asset maintenance requirements pursuant to 12 CFR 28.20; or
(B) The FDIC to pledge additional assets pursuant to § 347.209 of this chapter or to maintain a higher ratio of eligible assets pursuant to § 347.210 of this chapter.
(2) “Adequately capitalized” if the insured branch:
(i) Maintains the pledge of assets required under § 347.209 of this chapter; and
(ii) Maintains the eligible assets prescribed under § 347.210 of this chapter at 106 percent or more of the preceding quarter's average book value of the insured branch's third-party liabilities; and
(iii) Does not meet the definition of a well capitalized insured branch.
(3) “Undercapitalized” if the insured branch:
(i) Fails to maintain the pledge of assets required under § 347.209 of this chapter; or
(ii) Fails to maintain the eligible assets prescribed under § 347.210 of this chapter at 106 percent or more of the preceding quarter's average book value of the insured branch's third-party liabilities.
(4) “Significantly undercapitalized” if it fails to maintain the eligible assets prescribed under § 347.210 of this chapter at 104 percent or more of the preceding quarter's average book value of the insured branch's third-party liabilities.
(5) “Critically undercapitalized” if it fails to maintain the eligible assets prescribed under § 347.210 of this chapter at 102 percent or more of the preceding quarter's average book value of the insured branch's third-party liabilities.
(d) Reclassifications based on supervisory criteria other than capital. The FDIC may reclassify a well capitalized FDIC-supervised institution as adequately capitalized and may require an adequately capitalized FDIC-supervised institution or an undercapitalized FDIC-supervised institution to comply with certain mandatory or discretionary supervisory actions as if the FDIC-supervised institution were in the next lower capital category (except that the FDIC may not reclassify a significantly undercapitalized FDIC-supervised institution as critically undercapitalized) (each of these actions are hereinafter referred to generally as “reclassifications”) in the following circumstances:
(1) Unsafe or unsound condition. The FDIC has determined, after notice and opportunity for hearing pursuant to § 308.202(a) of this chapter, that the FDIC-supervised institution is in unsafe or unsound condition; or
(2) Unsafe or unsound practice. The FDIC has determined, after notice and opportunity for hearing pursuant to § 308.202(a) of this chapter, that, in the most recent examination of the FDIC-supervised institution, the FDIC-supervised institution received and has not corrected a less-than-satisfactory rating for any of the categories of asset quality, management, earnings, or liquidity.
[81 FR 22173, Apr. 15, 2016, as amended at 79 FR 24541, May 1, 2014; 83 FR 17617, Apr. 23, 2018; 84 FR 61803, Nov. 13, 2019; 85 FR 5303, Jan. 30, 2020; 85 FR 32990, June 1, 2020; 85 FR 74259, Nov. 20, 2020]
(a) Schedule for filing plan -
(1) In general. An FDIC-supervised institution shall file a written capital restoration plan with the appropriate FDIC regional director within 45 days of the date that the FDIC-supervised institution receives notice or is deemed to have notice that the FDIC-supervised institution is undercapitalized, significantly undercapitalized, or critically undercapitalized, unless the FDIC notifies the FDIC-supervised institution in writing that the plan is to be filed within a different period. An adequately capitalized FDIC-supervised institution that has been required pursuant to § 324.403(d) to comply with supervisory actions as if the FDIC-supervised institution were undercapitalized is not required to submit a capital restoration plan solely by virtue of the reclassification.
(2) Additional capital restoration plans. Notwithstanding paragraph (a)(1) of this section, an FDIC-supervised institution that has already submitted and is operating under a capital restoration plan approved under section 38 and this subpart H is not required to submit an additional capital restoration plan based on a revised calculation of its capital measures or a reclassification of the institution under § 324.403 unless the FDIC notifies the FDIC-supervised institution that it must submit a new or revised capital plan. An FDIC-supervised institution that is notified that it must submit a new or revised capital restoration plan shall file the plan in writing with the appropriate FDIC regional director within 45 days of receiving such notice, unless the FDIC notifies it in writing that the plan must be filed within a different period.
(b) Contents of plan. All financial data submitted in connection with a capital restoration plan shall be prepared in accordance with the instructions provided on the Call Report, unless the FDIC instructs otherwise. The capital restoration plan shall include all of the information required to be filed under section 38(e)(2) of the FDI Act. An FDIC-supervised institution that is required to submit a capital restoration plan as a result of its reclassification pursuant to § 324.403(d) shall include a description of the steps the FDIC-supervised institution will take to correct the unsafe or unsound condition or practice. No plan shall be accepted unless it includes any performance guarantee described in section 38(e)(2)(C) of the FDI Act by each company that controls the FDIC-supervised institution.
(c) Review of capital restoration plans. Within 60 days after receiving a capital restoration plan under this subpart, the FDIC shall provide written notice to the FDIC-supervised institution of whether the plan has been approved. The FDIC may extend the time within which notice regarding approval of a plan shall be provided.
(d) Disapproval of capital plan. If a capital restoration plan is not approved by the FDIC, the FDIC-supervised institution shall submit a revised capital restoration plan within the time specified by the FDIC. Upon receiving notice that its capital restoration plan has not been approved, any undercapitalized FDIC-supervised institution (as defined in § 324.403(b)) shall be subject to all of the provisions of section 38 of the FDI Act and this subpart H applicable to significantly undercapitalized institutions. These provisions shall be applicable until such time as a new or revised capital restoration plan submitted by the FDIC-supervised institution has been approved by the FDIC.
(e) Failure to submit capital restoration plan. An FDIC-supervised institution that is undercapitalized (as defined in § 324.403(b)) and that fails to submit a written capital restoration plan within the period provided in this section shall, upon the expiration of that period, be subject to all of the provisions of section 38 and this subpart applicable to significantly undercapitalized institutions.
(f) Failure to implement capital restoration plan. Any undercapitalized FDIC-supervised institution that fails in any material respect to implement a capital restoration plan shall be subject to all of the provisions of section 38 of the FDI Act and this subpart H applicable to significantly undercapitalized institutions.
(g) Amendment of capital restoration plan. An FDIC-supervised institution that has filed an approved capital restoration plan may, after prior written notice to and approval by the FDIC, amend the plan to reflect a change in circumstance. Until such time as a proposed amendment has been approved, the FDIC-supervised institution shall implement the capital restoration plan as approved prior to the proposed amendment.
(h) Performance guarantee by companies that control an FDIC-supervised institution -
(1) Limitation on liability -
(i) Amount limitation. The aggregate liability under the guarantee provided under section 38 and this subpart H for all companies that control a specific FDIC-supervised institution that is required to submit a capital restoration plan under this subpart H shall be limited to the lesser of:
(A) An amount equal to 5.0 percent of the FDIC-supervised institution's total assets at the time the FDIC-supervised institution was notified or deemed to have notice that the FDIC-supervised institution was undercapitalized; or
(B) The amount necessary to restore the relevant capital measures of the FDIC-supervised institution to the levels required for the FDIC-supervised institution to be classified as adequately capitalized, as those capital measures and levels are defined at the time that the FDIC-supervised institution initially fails to comply with a capital restoration plan under this subpart H.
(ii) Limit on duration. The guarantee and limit of liability under section 38 of the FDI Act and this subpart H shall expire after the FDIC notifies the FDIC-supervised institution that it has remained adequately capitalized for each of four consecutive calendar quarters. The expiration or fulfillment by a company of a guarantee of a capital restoration plan shall not limit the liability of the company under any guarantee required or provided in connection with any capital restoration plan filed by the same FDIC-supervised institution after expiration of the first guarantee.
(iii) Collection on guarantee. Each company that controls a given FDIC-supervised institution shall be jointly and severally liable for the guarantee for such FDIC-supervised institution as required under section 38 and this subpart H, and the FDIC may require and collect payment of the full amount of that guarantee from any or all of the companies issuing the guarantee.
(2) Failure to provide guarantee. In the event that an FDIC-supervised institution that is controlled by any company submits a capital restoration plan that does not contain the guarantee required under section 38(e)(2) of the FDI Act, the FDIC-supervised institution shall, upon submission of the plan, be subject to the provisions of section 38 and this subpart H that are applicable to FDIC-supervised institutions that have not submitted an acceptable capital restoration plan.
(3) Failure to perform guarantee. Failure by any company that controls an FDIC-supervised institution to perform fully its guarantee of any capital plan shall constitute a material failure to implement the plan for purposes of section 38(f) of the FDI Act. Upon such failure, the FDIC-supervised institution shall be subject to the provisions of section 38 and this subpart H that are applicable to FDIC-supervised institutions that have failed in a material respect to implement a capital restoration plan.
(a) Mandatory supervisory actions -
(1) Provisions applicable to all FDIC-supervised institutions. All FDIC-supervised institutions are subject to the restrictions contained in section 38(d) of the FDI Act on payment of capital distributions and management fees.
(2) Provisions applicable to undercapitalized, significantly undercapitalized, and critically undercapitalized FDIC-supervised institution. Immediately upon receiving notice or being deemed to have notice, as provided in § 324.402, that the FDIC-supervised institution is undercapitalized, significantly undercapitalized, or critically undercapitalized, it shall become subject to the provisions of section 38 of the FDI Act:
(i) Restricting payment of capital distributions and management fees (section 38(d) of the FDI Act);
(ii) Requiring that the FDIC monitor the condition of the FDIC-supervised institution (section 38(e)(1) of the FDI Act);
(iii) Requiring submission of a capital restoration plan within the schedule established in this subpart (section 38(e)(2) of the FDI Act);
(iv) Restricting the growth of the FDIC-supervised institution's assets (section 38(e)(3) of the FDI Act); and
(v) Requiring prior approval of certain expansion proposals (section 38(e)(4) of the FDI Act).
(3) Additional provisions applicable to significantly undercapitalized, and critically undercapitalized FDIC-supervised institutions. In addition to the provisions of section 38 of the FDI Act described in paragraph (a)(2) of this section, immediately upon receiving notice or being deemed to have notice, as provided in § 324.402, that the FDIC-supervised institution is significantly undercapitalized, or critically undercapitalized, or that the FDIC-supervised institution is subject to the provisions applicable to institutions that are significantly undercapitalized because the FDIC-supervised institution failed to submit or implement in any material respect an acceptable capital restoration plan, the FDIC-supervised institution shall become subject to the provisions of section 38 of the FDI Act that restrict compensation paid to senior executive officers of the institution (section 38(f)(4) of the FDI Act).
(4) Additional provisions applicable to critically undercapitalized institutions.
(i) In addition to the provisions of section 38 of the FDI Act described in paragraphs (a)(2) and (a)(3) of this section, immediately upon receiving notice or being deemed to have notice, as provided in § 324.402, that the insured depository institution is critically undercapitalized, the institution is prohibited from doing any of the following without the FDIC's prior written approval:
(A) Entering into any material transaction other than in the usual course of business, including any investment, expansion, acquisition, sale of assets, or other similar action with respect to which the depository institution is required to provide notice to the appropriate Federal banking agency;
(B) Extending credit for any highly leveraged transaction;
(C) Amending the institution's charter or bylaws, except to the extent necessary to carry out any other requirement of any law, regulation, or order;
(D) Making any material change in accounting methods;
(E) Engaging in any covered transaction (as defined in section 23A(b) of the Federal Reserve Act (12 U.S.C. 371c(b)));
(F) Paying excessive compensation or bonuses;
(G) Paying interest on new or renewed liabilities at a rate that would increase the institution's weighted average cost of funds to a level significantly exceeding the prevailing rates of interest on insured deposits in the institution's normal market areas; and
(H) Making any principal or interest payment on subordinated debt beginning 60 days after becoming critically undercapitalized except that this restriction shall not apply, until July 15, 1996, with respect to any subordinated debt outstanding on July 15, 1991, and not extended or otherwise renegotiated after July 15, 1991.
(ii) In addition, the FDIC may further restrict the activities of any critically undercapitalized institution to carry out the purposes of section 38 of the FDI Act.
(iii) The FDIC-supervised institution must remain in compliance with the plan or is operating under a written agreement with the appropriate Federal banking agency.
(b) Discretionary supervisory actions. In taking any action under section 38 of the FDI Act that is within the FDIC's discretion to take in connection with:
(1) An insured depository institution that is deemed to be undercapitalized, significantly undercapitalized, or critically undercapitalized, or has been reclassified as undercapitalized, or significantly undercapitalized; or
(2) An officer or director of such institution, the FDIC shall follow the procedures for issuing directives under §§ 308.201 and 308.203 of this chapter, unless otherwise provided in section 38 of the FDI Act or this subpart H.